基于RS和LS-SVM的回转窑主传动电流预测研究
北京信息科技大学自动化学院 北京 100192
Prediction of Rotary Kiln Based on LS-SVM andRS Drive Current
Beijing Information Science & Technology University Beijing 100192 China
收稿日期: 2017-06-19 网络出版日期: 2017-11-25
基金资助: |
|
Received: 2017-06-19 Online: 2017-11-25
作者简介 About authors

何孟凡 男 1991年生,硕士研究生,主要研究方向为检测技术与自动化装置。

艾 红 女 1962年生,教授,硕士生导师,主要研究方向为故障检测与诊断。
水泥回转窑熟料制作过程中主传动电机电流不稳定、波动范围大,文章结合粗糙集、最小二乘支持向量机原理对水泥回转窑主传动电流进行预测。首先介绍粗糙集、最小二乘支持向量机的原理,通过搜集影响水泥回转窑主传动电流变化的数据建立信息决策表并对其进行预处理,使用粗糙集对样本数据进行约简,包括属性约简、属性值约简,利用 LS-SVM理论对约简后的数据进行处理及预测,并将其他数据用于训练测试,验证测试结果。融合后的方法克服了LS-SVM对冗余信息和关键信息识别的局限性,补偿RS理论对输入数据信息缺乏抗干扰能力的缺点,通过实验研究证明该方法有较强的泛化能力,且预测准确率高。
关键词:
Based on rough set, the least squares support vector machine (SVM) were used to predict the main drive of cement rotary kiln current, aiming at the unsteady and changing characteristics of cement kiln clinker production process. Firstly, the concept of rough set and least squares support vector machine is introduced, the current data is collected through database to establish the information table and preprocess it,the rough data is used to reduce the original data, the LS-SVM theory is used to classify and reduce the data. This fusion method overcomes the shortcoming of LS-SVM's recognition of redundant information and key information, and makes up the shortcomings of RS theory on the anti-jamming ability of input information. It is proved that this method has strong generalization ability and accurate prediction High rate.
Keywords:
本文引用格式
何孟凡, 艾红.
He Mengfan.
1 引言
为保证水泥回转窑正常生产保持回转窑主传动电流在合适的范围,许多研究人员认真采取了不同的方法,采用系统辨识的方法对窑主传动电流以及其他参数进行分析,从而判断回转窑生产过程中的异常状况;通过对窑主传动电流信号的频域分析,得出传动机构中出现故障的方法,但该类算法容易出现“过拟合”问题;Vapnik根据统计学习基础和结构风险最小化原理总结出了支持向量机(SVM)方法[3],该方法兼顾统计方法的经验风险和推广能力,主要用途就是对非线性函数的模拟仿真[4];然而标准SVM算法出现了鲁棒性、稀疏性和大规模运算等问题,为解决这些难题,Suykens提出了最小二乘支持向量机(LS-SVM),该方法在目标函数中增加了误差平方和项,采用等式约束[5],并且将误差平方和与损失函数补充训练集的不足,顺利地将求解二次凸规划问题等价成计算线性方程组的数学问题[6],大大地提高了求解优化问题的速度和收敛精度。
文中结合粗糙集对有用信息识别的快速有效性,降低信息空间维数,LS-SVM抗干扰性强的特点,对模型参数进行优化验证,并应用该模型于水泥回转窑主传动电流的预测研究,结果验证该模型真实有效,对影响回转窑设备正常运行因素进行分析,证实预测结果的准确性。
2 粗糙集
粗糙集(RS)算法是由来自波兰华沙理工大学的Pawalk教授于1982年首次提出并用于解决模糊性和精确性知识的数学工具;主要思路是在维持分类精度准确的前提下,通过知识表达系统的属性约简,进行方法提取,得到决定的方法和分类规则。
定义1 一个近似空间(或知识库),K = (U,R),

定义2 为介绍知识(空间)的相似程度,粗糙集理论引用精确度的概念,分别定义R的上近似和下近似的两个子集为


差别矩阵定义

表2 重排后的决策表
Tab.2
U | a | b | c | d |
---|---|---|---|---|
x1 | 2 | 2 | 0 | 1 |
x2 | 1 | 2 | 0 | 0 |
x3 | 1 | 2 | 0 | 1 |
x4 | 0 | 0 | 0 | 0 |
x5 | 0 | 2 | 1 | 1 |
文章运用差别矩阵的属性约简直观、简洁的长处,使用差别矩阵导出差别函数,而后计算函数析取范式,计算结果范式中的析取项即为系统约简。矩阵算法处理数据的流程如图1所示。
图1
3 最小二乘支持向量机
支持向量机是基于核函数的机器学习方法之一,通过非线性映射将输入参数矢量映射到特征空间,在该空间构造最优预测函数。在构造决策函数时,结合结构风险最小化原则,运用该空间核函数替换特征空间中的矢量运算;支持向量机的目标是构建分类超平面使之成为决策曲面,将正、反例的隔离距离最大化[11];最小二乘支持向量机LS-SVM是支持向量机SVM的扩展,是采用二次损失函数的表现形式。
SVM是结构风险最小理论的实现,因其较好的泛化能力用来解决许多领域中的高维非线性问题;支持向量机的分类方法如图2所示。
图2
其过程可概括如下:首先选取一个非线性映射ϕ(xn)把n维样本向量(x1,y1),(x2,y2),…,(xm,ym)∈Rn×R从原空间映射到l(l>>n)维空间,然后在该高维特征空间中构造最优线性决策函数y(x) = ωϕ(x) + b = (ω,ϕ) + b,应用核函数替换特征空间的向量点击运算,将求解优化问题转为求解凸二次规划问题。
LS-SVM是对标准支持向量机的扩展,损失函数采纳该理论的线性系统,将预测问题等价成计算线性方程组。
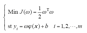
设样本为n维的,该区域m组样本表示范围为(x1,y1),(x2,y2),…,(xm,ym)∈Rn×R,选取非线性映射ϕ(x)将样本从原空间Rn映射到l(l>>n)维特征空间,而后在该特征空间构造决策函数,数学关系形式为

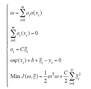
式中,ω为权值矢量;ϕ(x)为非线性映射,生产和输入向量x同维的向量;b为偏差。从而将一个非线性函数简化成为空间维度较高的线性估计函数,运用结构风险最小化的原则,确定参数ω、b,就是最小化,即

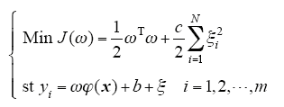
式中,||ω||2为复杂度参数;C为正规化参数,控制超出误差样本的惩罚程度;Remp为误差控制函数。最小二乘支持向量机目标优化问题等价于二次规划问题,其数学形式如下

在LSSVM回归模型容许的拟合误差范围内,引入松弛系数ξ,带有松弛系数的同等最优化问题表示为

式中,J(ω,ξ)为误差控制函数;ξ为松弛系数,用于描述允许拟合误差的水平;ωTω为控制模型的复杂度;C为正规化参数,用于控制训练错误率与泛化能力的一个折中系数,可以理解为对超出样本数据的一个管制程度。
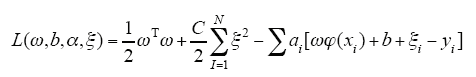
利用Lagrange乘数法求解式(6)的优化问题,将其转化为一个等价的二次规划问题,定义Lagrange函数

式中,ai(i = 1,2,…,m)为Lagrange乘子。
在数学中,库恩-塔克条件(KKT最优化条件)是在满足一些有规则的条件下,非线性布局具有最优化解的必要和充分条件。该条件是一个广义化拉格朗日乘数的成果。
根据KKT优化条件得到

则有

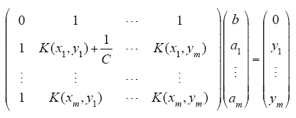
定义核函数K(xi,yj) = ϕ(xi)·ϕ(xj)是对称函数,由式(11)可以将该寻优问题简化为求解线性方程

求解该线性方程组即可得到Lagrange乘子α和偏差b,由此得到LS-SVM的模型为

式(13)即为需要的LS-SVM模型,式中函数f(X)完全由乘子ai决定;核函数K(xi,yj) = ϕ(xi)·ϕ(xj)是满足Mercer条件函数对应空间的点积。
4 LS-SVM参数
为了确定最佳调整参数,控制对分样本惩罚参数和核函数参数,使用交叉验证方法。具体步骤为:首先给定两个调整参数较大的取值范围,C分为K份,σ2分为L份,产生KL份参数组合,在LS-SVM模型中对组合进行训练以获得最优调整参数,假设数据集中n个样本,每个样本分别作测试数据进行测试,剩余样本为训练数据,统计n样本模型验证集的分类准确率,将其平均数作为该分类器模型的参数性能指标,获得最优调整参数,然后重复训练,获得最优调整参数的范围,进一步优化参数直到取到最优值,以该方法为模型确定最佳参数C和g。
5 回转窑主传动电流预测诊断模型
实验选取水泥回转窑影响窑主传动电流的参数作为输入,以水泥制造厂的回转窑主传动电流数据为输出进行预测研究,首先利用处理过的回转窑相关设备生产数据,结合使用RS和LS-SVM的方法对窑主传动电流进行故障预测研究。流程图如图3所示。
图3
操作步骤为:
(1)对样本数据预处理,包括离散化和归一化处理。
(2)建立样本的决策信息表。
(3)对决策系统进行约简,通过属性约简对回转窑参数样本进行条件属性约简。
(4)选取测试集训练的最小二乘支持向量机网络模型参数,利用LS-SVM方法进行测试,实验对比选取适合的核函数,将约简后的主传动电流属性样本数据用来训练构造的分类器模型。
(5)编程实现实验仿真预测,验证该模型方法的正确性。
6 实验结果分析
实验将最小二乘支持向量机回归方法应用于水泥回转窑主传动电流预测控制,首先对回转窑运行数据整理提取特征值,利用粗糙集进行属性约简。数据集分测试集和训练集两类,训练集用于确定模型的最优参数,从而建立准确度较高的回归模型,测试集用来测试模型的真实有效性。
实验采用5 000t/d的水泥回转窑主电机生产运行数据,根据对电流负荷数据“近大远小”的相关性影响的分析[12],经过属性约简选取如下参数所示变量作为待选输入变量,每个输入样本含有回转窑主电机功率、一次风压、填充率、回转窑皮厚度、日期类型值和前一天相同预测位置的窑主传动电流,输出为预测点的电流。
实验测试选取的用于分析影响回转窑主传动电流变化的5个参数,见表3。A1为窑主电机功率,A2表示回转窑一次风压,A3为回转窑物料填充率,A4为回转窑皮厚度,A5为日期参数权重,周日A5为0.3,周一为0.7,周二~周五为0.8,周六为0.4,选取40组样本5个特性指标进行测试。
表3 样本数据表
Tab.3
序号 | A1 | A2 | A3 | A4 | A5 |
---|---|---|---|---|---|
1 | 587.03 | 20.2 | 6.1 | 0.22 | 0.4 |
2 | 596.62 | 20.5 | 4.9 | 0.24 | 0.3 |
3 | 591.71 | 19.2 | 6.4 | 0.49 | 0.7 |
4 | 590.99 | 18.7 | 6.1 | 0.39 | 0.8 |
5 | 598.34 | 18.6 | 6.9 | 0.31 | 0.8 |
6 | 585.72 | 21.7 | 8.4 | 0.36 | 0.8 |
7 | 595.14 | 21.2 | 8 | 0.34 | 0.8 |
8 | 615.07 | 22.4 | 5.9 | 0.43 | 0.4 |
9 | 607.61 | 22.8 | 5.6 | 0.34 | 0.3 |
10 | 611.36 | 21.5 | 7.3 | 0.31 | 0.7 |
11 | 601.52 | 20.7 | 7.1 | 0.29 | 0.8 |
12 | 601.08 | 20.2 | 7.6 | 0.36 | 0.8 |
13 | 610.62 | 19.4 | 7.8 | 0.41 | 0.8 |
14 | 615.58 | 19.8 | 7.4 | 0.42 | 0.8 |
水泥回转窑在高速重载运转状态下传动消耗功率包括:抑制回转窑运动时消耗功率,回转窑轴承部件的摩擦消耗功率,部件与部件之间的表面摩擦消耗功率和传动装置的有效功率;克服窑本体运动时消耗功率占窑传动功率70%~75%,而该消耗功率与窑内物料填充率、中心角和窑速成比例关系,其中回转窑窑速和投料量的关系见表4。
表4 回转窑正常运行情况参数表
Tab.4
窑速/(r/min) | 喂料量/(t/h) | 中心角2θ/(°) | 负荷率(%) |
---|---|---|---|
1.5 | 180 | 80 | 6.52 |
2 | 200 | 85 | 7.75 |
2.5 | 250 | 90 | 9.09 |
3 | 290 | 95 | 10.7 |
3.5 | 330 | 100 | 12.1 |
3.7 | 350 | 105 | 13.75 |
3.95 | 370 | 110 | 15.63 |
将训练集用于训练验证得到最优LS-SVM模型参数,利用不同正则化参数和核函数参数进行测试时,其相对平均误差不同,但均在5%以内,利用交叉验证法搜索确认最优参数速度快准确度高,最优正则化参数和核函数参数分别为C = 18,g = 3.629 9,建立的模型在测试集上的结果如图4所示。
图4
图4
传动电流预测与实际电流曲线对比
Fig.4
The drive current forecast id compared with the actual
为保证测试的准确率,实验选定多个样本进行测试,由预测结果图显示,该算法预测精度高,预测模型的平均绝对误差在期望范围之内。该方法用于预测设备主传动电流的变化是可行的,但偶尔两天测试值的误差比较大,可能是因为设备维修、断路器跳闸等因素引起电流波动较大,仅凭数据很难反映出这一变化。
7 结论
针对水泥回转窑主传动电机电流不稳定的问题,文章基于粗糙集和最小二乘支持向量机两种理论算法对回转窑主传动电流的回归预测,实质是将粗糙集属性约简应用于水泥回转窑样本数据中,建立样本数据表,简化分析,加强最小二乘支持向量机对小样本模型较好的学习搜索能力,适应性能,通过搜索确认最优参数,得到最好的验证模型。仿真测试很好地说明该方法的优越性能,而且可更全面地提取信号特征,计算简单方便,具有现实意义。
参考文献
基于优化最小二乘支持向量机的小样本预测研究
[J].
A small sample prediction study based on optimization least squares support vector machine
[J].
基于梯度信息的最小二乘支持向量回转机
[J].
Least square support vector rotating machine based on gradient information
[J].
一种基于FCOWA-ER的SVM多分类方法
[J].
A FCOWA-ER based SVM multi-classification method
[J].
基于最小二乘支持向量机的自适应逆扰动消除控制系统
[J].
研究一种基于最小二乘支持向量机的自适应逆扰动消除控制器的设计问题, 给出了基于最小二乘支持向量
机的建模和逆建模方法, 以及贝叶斯证据框架下高斯核支持向量机估计算法的参数选择方法. 仿真结果验证了该方
法的有效性.
Adaptive inverse disturbance canceling control system based on least squares support vector machines
[J].
研究一种基于最小二乘支持向量机的自适应逆扰动消除控制器的设计问题, 给出了基于最小二乘支持向量
机的建模和逆建模方法, 以及贝叶斯证据框架下高斯核支持向量机估计算法的参数选择方法. 仿真结果验证了该方
法的有效性.
Identification, prediction and detection of the process fault in a cement rotary kiln by locally linear neuro-fuzzy technique
[J].DOI:10.1016/j.jprocont.2010.10.009 URL [本文引用: 1]
Abnormal condition detection in a cement rotary kiln with system identification methods
[J].
DOI:10.1681/ASN.2007101101
URL
PMID:18495962
[本文引用: 1]
Ischemia- or toxin-induced acute kidney injury is generally thought to affect the cells of the proximal tubule, but it has been difficult to define the involvement of other tubular segments because of the widespread damage caused by ischemia/reperfusion or toxin-induced injury in experimental models. For evaluation of whether thick ascending limb (TAL)-specific epithelial injury results in acute kidney injury, a novel transgenic mouse model that expresses the herpes simplex virus 1 thymidine kinase gene under the direction of the TAL-specific Tamm-Horsfall protein promoter was generated. After administration of gancyclovir, these mice demonstrated apoptosis only in TAL cells, with little evidence of neutrophil infiltration. Compared with control mice, blood urea nitrogen and creatinine levels were at least five-fold higher in the transgenic mice, which also developed oliguria and impaired urinary concentrating ability. These findings suggest that acute injury targeted only to the TAL is sufficient to cause severe acute kidney injury in mice with features similar to those observed in humans.
变精度粗糙集的属性核和最小属性约简算法
[J].
Attribute kernel and minimum attribute reduction algorithm of variable precision rough sets
[J].
水泥回转窑自动控制系统中的控制算法研究
[J].
DOI:10.1016/j.foodchem.2019.125927
URL
PMID:31835232
[本文引用: 1]
Two filamentous fungi (Actinomucor elegans and Umbelopsis isabellina), were tested for their ability to enrich white grape pomace simultaneously with both γ-linolenic acid (GLA) and carotenoids through solid-state fermentation (SSF) processes. U. isabellina presented higher ability to produce GLA-rich lipids (composed mainly of neutral fractions) than A. elegans (the 6-th day of SSF: 378.85 mg/100 g of pomace -U. isabellina and 193.36 mg/100 g of pomace- A. elegans). The amounts of β-carotene and lutein for both SSFs gradually increased until the end of the fermentation processes. The effect of fermentation time on the phenolic content and antioxidant activity of grape pomace was also studied. The SSF with A. elegans increased significantly total phenolic and flavonoid contents and DPPH scavenging activity of grape popmace. These bioprocessed grape pomaces with significant amounts of carotenoids and GLA-rich lipids (>94% nutritionally-valuable polyunsaturated fatty acids at the sn-2 position) could be very attractive for food industry.
Research on control algorithm in cement kiln automatic control system
[J].
DOI:10.1016/j.foodchem.2019.125927
URL
PMID:31835232
[本文引用: 1]
Two filamentous fungi (Actinomucor elegans and Umbelopsis isabellina), were tested for their ability to enrich white grape pomace simultaneously with both γ-linolenic acid (GLA) and carotenoids through solid-state fermentation (SSF) processes. U. isabellina presented higher ability to produce GLA-rich lipids (composed mainly of neutral fractions) than A. elegans (the 6-th day of SSF: 378.85 mg/100 g of pomace -U. isabellina and 193.36 mg/100 g of pomace- A. elegans). The amounts of β-carotene and lutein for both SSFs gradually increased until the end of the fermentation processes. The effect of fermentation time on the phenolic content and antioxidant activity of grape pomace was also studied. The SSF with A. elegans increased significantly total phenolic and flavonoid contents and DPPH scavenging activity of grape popmace. These bioprocessed grape pomaces with significant amounts of carotenoids and GLA-rich lipids (>94% nutritionally-valuable polyunsaturated fatty acids at the sn-2 position) could be very attractive for food industry.
用于仿真与控制的水泥回转窑动态模型
[J].
DOI:10.1093/nar/20.19.5131
URL
PMID:1383940
[本文引用: 1]
The chemical synthesis of backbone deuterium labelled [r(CGCGAAU*U*CGCG)]2 (U* = [5'-2H]U) is described. An efficient purification procedure was developed using a polymeric reverse phase (PRP) HPLC column at 60 degrees C. This procedure provided pure RNA dodecamer in the multi-milligram quantities (39% overall yield) necessary for dynamics studies using solid-state deuterium NMR. The purification method has been effectively applied to other RNA sequences and will assist biophysical studies which require relatively large quantities of RNA oligomers.
Dynamic model of cement kiln for simulation and control
[J].
DOI:10.1093/nar/20.19.5131
URL
PMID:1383940
[本文引用: 1]
The chemical synthesis of backbone deuterium labelled [r(CGCGAAU*U*CGCG)]2 (U* = [5'-2H]U) is described. An efficient purification procedure was developed using a polymeric reverse phase (PRP) HPLC column at 60 degrees C. This procedure provided pure RNA dodecamer in the multi-milligram quantities (39% overall yield) necessary for dynamics studies using solid-state deuterium NMR. The purification method has been effectively applied to other RNA sequences and will assist biophysical studies which require relatively large quantities of RNA oligomers.
粗糙集理论数据处理方法及其研究
[J].
Rough set theory data processing method and its research
[J].
回转窑烧成带状态混合智能识别方法
[J].
DOI:10.3724/SP.J.1004.2012.01153
URL
[本文引用: 1]
针对氧化铝回转窑过程复杂、长期依赖人工看火操作而造成的生产过程不稳定、 产品质量一致性差、能源消耗大等问题,提出了基于烧成带火焰图像特征与关键过程数据融合的烧成带状态自动识别方法, 该方法由烧成带火焰图像的分割、特征提取、 关键过程数据的融合以及二叉树支持向量机分类器模型组成.工业实验表明, 该方法能够较准确地识别烧成带状态,为基于产品质量指标优化的窑温控制器提供决策依据.
Rotary kiln firing zone mixed state intelligent identification method
[J].
DOI:10.3724/SP.J.1004.2012.01153
URL
[本文引用: 1]
针对氧化铝回转窑过程复杂、长期依赖人工看火操作而造成的生产过程不稳定、 产品质量一致性差、能源消耗大等问题,提出了基于烧成带火焰图像特征与关键过程数据融合的烧成带状态自动识别方法, 该方法由烧成带火焰图像的分割、特征提取、 关键过程数据的融合以及二叉树支持向量机分类器模型组成.工业实验表明, 该方法能够较准确地识别烧成带状态,为基于产品质量指标优化的窑温控制器提供决策依据.
贝叶斯框架支持向量机的模拟电路故障论断
[J].
Fault diagnosis for analog circuits using SVM within bayesian framework
[J].
一种应用于故障诊断中的高效推理算法
[J].
A university inference algorithm applied to fault diagnosis
[J].
/
〈 |
|
〉 |
