无线携能通信系统能量获取研究
合肥工业大学 电气与自动化工程学院 合肥 230009
Study on Energy Harvesting in Simultaneous Wireless Information and Power Transmission Network
Hefei University of Technology Hefei 230009 China
收稿日期: 2016-01-4 网络出版日期: 2016-07-25
基金资助: |
|
Received: 2016-01-4 Online: 2016-07-25
作者简介 About authors

刘 倩 女 1990年生,硕士研究生,研究方向为电力系统与通信。

孙 鸣 男 1957年生,教授,研究方向为电力系统及其自动化。
本文首先概述了无线携能通信技术的重要意义及发展前景,进而构建了无线携能通信系统的重要架构,并针对该系统中能量获取的问题,提出一种最大化获取能量的方法并针对此方法建立数学模型,由于该模型是非凸优化的且在数学上很难直接求解,因此将利用半定松弛方法将其转化为可解的凸优化问题。最后将此方法运用Matlab仿真实现,验证多输入单输出(MISO)系统的优越性,并得出接收端所获取的能量随发送端天线数量的增加而增大的结论。
关键词:
This paper firstly introduces the meaning and prospects of simultaneous wireless information and power transmission network (SWIPT). And then designs the model of SWIPT system. For problem of optimizing harvested energy, we point out a method of optimizing harvested energy and build the related model. Due to this model is a non-convex problem and is hard to be solved, we transforms it into a solvable convex problem by semi-definite program (SDP). Finally, we use the Matlab software to simulate and verify that MISO system has a better performance. In addition, we conclude that with the increasing number of antennas, the energy receiver can harvest more energy.
Keywords:
本文引用格式
刘倩, 孙鸣, 陈健.
Liu Qian.
1 引言
随着社会经济技术水平的飞速发展,用户对移动通信网络的需求日益提高,无线网络中的设备对能量的需求越来越大,仅仅依靠储能有限的电池供电制约了其使用时间与应用范围[1]。与此同时,传统化石能源的日益稀缺以及其利用的低效、高污染特性,使得人们对清洁、绿色及高效的新能源的需求愈加迫切。近年来发展的射频信号(RF)既可以作为能量传输的媒介也可以作为信息传输的媒介,其特殊的物理特性使得将无线能量传输技术与无线通信系统结合变为可能,因而一项新兴技术——无线携能通信(SWIPT)应运而生。无线携能通信技术保证了能量可以在一定距离内方便快捷地传输至终端,消除了传统有线供电方式和电池供电的不便。其核心思想在于实现信息与能量同步传输,在现有无线通信技术的基础上,传输信息的同时获取能量,实现通信频带与能量资源的高效利用[2]。
无线携能通信因其独特的优势可以广泛应用于物联网及各类移动终端,在实现信息交换的同时传送能量,延长待机时间;其非接触传输的特点使得该技术有望应用于矿井、峡谷等恶劣环境中,实现电力供应的远程遥控,解决架设线路的不便以及用电设备老化等不安全因素;在生物医学领域,无线携能通信有望应用于心脏起搏器等各种人造器官,实现体外非接触式供电及对体内电子设备的监控,使患者摆脱使用电池的持续性与可靠性问题;除此之外,在电动汽车,家用设备等方面,可以实现无线充电与遥控,提高生活的便捷性与智能化。
在无线携能通信的研究中,最早由Varshney于2008年提出了信息与能量同步传输的携能通信的概念,并针对点对点单天线加性高斯白噪声(additive white gaussion noise)信道,提出了信息速率与能量传输效率之间的最优权衡方案[3]。Liu Liang,Zhang Rui等学者针对存在时变同频干扰的窄带平坦衰落信道提出点对点无线通信问题。假设接收器没有固定的电池等供能,通过接收到的信号采集能量,在单天线接收端设计了一个最优工作模式的切换方案,实现信息与能量的最优传输[4]。文献[5]针对点对点单输入单输出(SISO)系统,研究了一种基于最小化传输时间的最优功率分配方案。文献[6]研究了含有能量接收端和中继器的三节点高斯中继信道中最大化传输量的问题,并提出了最优功率的高效算法。文献[7,8]中假设接收端可以从无线电波中提取能量,实现信息流和能量同时从接收信号中获取。文献[3,7]分别研究了SISO平衰落信道和频率选择衰落信道中信息和能量的最优权衡。由于当前的技术较难实现信息和能量的同步提取,文献[8]提出了接收端分开提取信息和能量的两种方式,分别为时隙切换和功率分流。
上述文献中并未提及针对多输入单输出(MISO)系统的能量优化方案,本文重点考虑具有一个多天线输入端和两个单天线接收端(分别为信息接收端和能量接收端)的MISO系统。首先设计波束矩阵,建立发送端和接收端的信号模型;再基于满足信道传输数据速率和发送功率条件,搭建能量接收端所能获取能量的优化模型。此能量优化模型是一个数学上很难直接求解的非凸优化问题,因此需要通过半定松弛(SDR)技术将非凸优化问题转化为可直接求解的凸优化问题。最后由Matlab中的CVX工具包进行仿真[9],探讨接收端所获能量与发送端天线数目的关系,得出仿真结果并验证本文所提算法的有效性。
2 系统描述及模型建立
2.1 系统描述
无线携能通信作为一种新型的能量传输方式,整合通信技术与能量传输技术,依靠无线电波为载体在收发两端实现信息与能量的传递。
图1所示为一个MISO系统,此系统左侧的发送端通过磁控管、行波管等微波功率源,将直流电转化为微波能量,经发射天线聚焦后由功率放大器广播到自由空间,电磁波在传递信息的同时携带能量,右侧的接收端经整流天线将电磁波转化为直流功率用于供电。接收端通常采用相应的功率分配设计方案,将接收到的信号一部分传递到信息接收端用于信息解码,另一部分传递到能量接收端进行能量收集并存储,从而实现信息与能量的同步传输。由于信息接收端和能量接收端对功率大小的要求不同,特将能量接收端放置于更接近基站的位置。
图1
针对图1所示的MISO系统,首先设计波束成型矩阵,再进行优化模型的建立,最后进行仿真验证。本文假定传输端有M个天线,能量接收端和信息接收端只有1个天线。KI和KE分别表示信息接收端和能量接收端的数量。
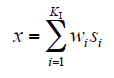
发送端发送独立的数据流si到KI个不同的信息接收端,假定si为均值为0方差为1的循环对称复高斯随机变量,即si〜CN(0,1)。发送端的波束成型矢量为wi ∈$\mathbb{C}^{1\times M}$。发送端发送的信号可表示为
在接收端,第i个信息接收器和第j个能量接收器接收的信号为
式中,hi ∈ $\mathbb{C}^{1\times M}$和gi ∈ $\mathbb{C}^{1\times M}$分别表示从发送端到信息接收端和能量接收端的信道矩阵。zi〜CN(0,σ2I,i),zj〜CN(0,σ2E,j)分别表示第i个信息接收器和第j个能量接收器上的加性高斯白噪声[10]。本文假定σ2I,i = σ2E,j = σ2。
虽然信息接收端会受到其他非预期的信息和能量信号的干扰,但能量信号波束携带的是伪随机信号而不是信息信号,因此,信息接收端可以通过额外的技术将能量信号波束的干扰消除。则第i个信息接收端的信干噪比(SINR)可表示为
式中σ2是接收信号中的噪声功率。
针对第i个信息接收端,MISO系统的信道容量为
第j个能量接收端从接收到的信号中获取的能量为
式中,η为将接收能量转化为可存储的电能的转换效率。
2.2 模型建立
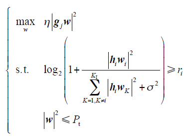
在建立系统波束矩阵模型之后,将针对无线携能通信中能量获取的优化问题进行建模分析,本文在保证信息接收端的传输速率和发送端的功率约束条件下,使得能量接收端获得的能量值最大化,此数学模型可表示为
式中,ri为信息接收端传输速率的门限值;Pt表示传输端最大传输功率的约束值。
由于式(7)所示的数学模型是一个非凸的二次约束二次规划问题(QCQP),较难直接求解,可通过半定松弛(SDR)方式将其转化为可直接求解的半定规划问题(SDP)。转化过的SDP问题如下所示。
式中,Wi = wiHwi,Hi = hiHhi。
3 系统仿真
为了验证无线携能通信中MISO系统的性能,本文使用Matlab及其平台中的CVX对单蜂窝双用户的系统进行仿真。传输端数量为1且具有数量为M的天线,信息和能量接收端天线数为1。设定信道随机循环次数为500次,传输功率约束值Pt为1W,能量转化效率η为0.5。为了避免接收端接收无效信号,传输端和接收端之间的距离设定为3km。发送端到信息接收端和能量接收端的信道可分别表示为
式中,$\hat{h_{i}}$和$\hat{g_{j}}$为分别针对信息接收端和能量接收端的随机产生的零均值循环对称复高斯变量;Rt为传输协方差矩阵;Ri和Re为针对信息和能量接收端的空间协方差矩阵。
其余仿真参数设置基于LTE标准,见下表。
表 仿真参数
Tab.
参 数 | 数 值 |
---|---|
移动蜂窝数 | 1 |
每个蜂窝的用户数量 | 2 |
传输端的天线数量 | 8/6/4/2 |
信息接收端的天线数量 | 1 |
能量接收端的天线数量 | 1 |
天线间隔 | λ/2 |
阵列天线增益/dBi | 15 |
下行载波频率/GHz | 2 |
噪声功率谱密度/dBm/Hz | -174 |
接收端噪声量/dB | 5 |
路径损耗模型/(l in km) | 128.1+37.6log10(l) |
子信道带宽/kHz | 15 |
角偏移的标准偏差/(°) | 2 |
对数正态阴影的标准偏差/dB | 8 |
本文将分两部分进行仿真验证,首先是比较MISO系统和传统的SISO以证明在传输端使用多天线技术的优越性。如图2所示,使用MISO系统时,取发送端天线数为8,获取的能量最大可达8.16MW,而对于SISO系统,获取能量最大只有0.41MW,远低于MISO系统所能获取的能量。随着传输速率的增加,MISO和SISO系统获取的能量均呈下降趋势,MISO系统下降至3.59MW,SISO系统下降至0.01MW,可见MISO系统的下降速度低于SISO系统。从仿真结果可以看出,相比于SISO系统,MISO系统可以获取更多能量,其性能及稳定性较好。
图2
图3所示为比较当发送端天线数M不同时,接收端获取能量大小。仿真结果表明,当M分别为8、6、4和2时,接收端所能获取的最大能量为6.17MW、4.07MW、2.29MW和1.20MW。当传输速率增大到10bit/s·Hz,接收端所能获取的能量均有所下降,分别下降了51.6%、69.8%、85.4%和97.2%,下降速率随天线数的M的增大而减小。由此可以得出,传输端天线数越多,接收端可获得的能量越多,随传输速率增大而下降的速度也越慢,性能更好。
图3
由于系统的性能与Pt、η和接收端容量等参数设置有关,因此设计最优的MISO 系统也因考虑到这些参数的配置。
通过仿真结果,可证明在发送端使用多天线的技术相比于单天线确实有其优越性。
4 结论
本文针对绿色无线携能通信系统提出了最优能量获取方案。该方案在满足信息接收端传输速率和发送端功率约束的基础上,最大化能量接收端所能获取的能量。由于该问题的求解是非凸函数,本文使用SDR技术将其转为可直接求解的SDP问题,并使用Matlab中的CVX工具包进行仿真。通过比较MISO与SISO系统以及改变MISO系统天线数量,得出了在相同约束条件下,多天线系统确实有优于单天线系统的性能,且随着天线数的增加其性能越优。
参考文献
无线携能通信系统中基于能量获取比例公平的波束成形设计
[J].
Beamforming design based on energy harvesting proportional fairness in a simultaneous wireless information and power transfer system
[J].
Transporting information and energy simultaneously
[C].
Wireless information transfer with opportunistic energy harvesting
[C].
Transmission with energy harvesting nodes in fading wireless channels
[C].
Throughput maximization for the gaussian relay channel with energy harvesting constraints
[J].
DOI:10.1109/JSAC.2013.130811
URL
[本文引用: 1]
This paper considers the use of energy harvesters, instead of conventional time-invariant energy sources, in wireless cooperative communication. For the purpose of exposition, we study the classic three-node Gaussian relay channel with decode-and-forward (DF) relaying, in which the source and relay nodes transmit with power drawn from energy-harvesting (EH) sources. Assuming a deterministic EH model under which the energy arrival time and the harvested amount are known prior to transmission, the throughput maximization problem over a finite horizon of N transmission blocks is investigated. In particular, two types of data traffic with different delay constraints are considered: delay-constrained (DC) traffic (for which only one-block decoding delay is allowed at the destination) and no-delay-constrained (NDC) traffic (for which arbitrary decoding delay up to N blocks is allowed). For the DC case, we show that the joint source and relay power allocation over time is necessary to achieve the maximum throughput, and propose an efficient algorithm to compute the optimal power profiles. For the NDC case, although the throughput maximization problem is non-convex, we prove the optimality of a separation principle for the source and relay power allocation problems, based upon which a two-stage power allocation algorithm is developed to obtain the optimal source and relay power profiles separately. Furthermore, we compare the DC and NDC cases, and obtain the sufficient and necessary conditions under which the NDC case performs strictly better than the DC case. It is shown that NDC transmission is able to exploit a new form of diversity arising from the independent source and relay energy availability over time in cooperative communication, termed "energy diversity", even with time-invariant channels.
Shannon meets tesla: wireless information and power transfer
[C].
MIMO broadcasting for simultaneous wireless information and power transfer
[J].
DOI:10.1109/TWC.2013.031813.120224
URL
[本文引用: 2]
Wireless power transfer (WPT) is a promising new solution to provide convenient and perpetual energy supplies to wireless networks. In practice, WPT is implementable by various technologies such as inductive coupling, magnetic resonate coupling, and electromagnetic (EM) radiation, for short-/mid-/long-range applications, respectively. In this paper, we consider the EM or radio signal enabled WPT in particular. Since radio signals can carry energy as well as information at the same time, a unified study on simultaneous wireless information and power transfer (SWIPT) is pursued. Specifically, this paper studies a multiple-input multiple-output (MIMO) wireless broadcast system consisting of three nodes, where one receiver harvests energy and another receiver decodes information separately from the signals sent by a common transmitter, and all the transmitter and receivers may be equipped with multiple antennas. Two scenarios are examined, in which the information receiver and energy receiver are separated and see different MIMO channels from the transmitter, or co-located and see the identical MIMO channel from the transmitter. For the case of separated receivers, we derive the optimal transmission strategy to achieve different tradeoffs for maximal information rate versus energy transfer, which are characterized by the boundary of a so-called rate-energy (R-E) region. For the case of co-located receivers, we show an outer bound for the achievable R-E region due to the potential limitation that practical energy harvesting receivers are not yet able to decode information directly. Under this constraint, we investigate two practical designs for the co-located receiver case, namely time switching and power splitting, and characterize their achievable R-E regions in comparison to the outer bound.
Convex optimization
[M].
Downlink resource allocation in cooperative wireless networks
[D].
/
〈 |
|
〉 |
