不平衡情况下逆变型分布式电源并网控制策略研究 |
| 陶维青,顾芝瑕,丁明,王乐勤,李嘉茜 |
|
Research on Control Strategy of Grid-Connected Inverter under Unbalanced Voltage Conditions |
| Weiqing Tao,Zhixia Gu,Ming Ding,Leqin Wang,Jiaxi Li |
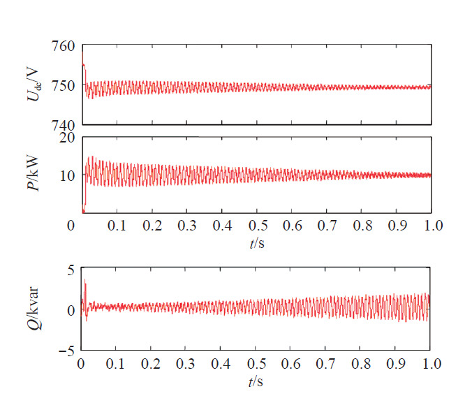
| 图7 参数k、λ分别从0变化到1时仿真结果 |
| Fig.7 Simulation results with k and λ from 0 to 1 |
|