不平衡情况下逆变型分布式电源并网控制策略研究 |
| 陶维青,顾芝瑕,丁明,王乐勤,李嘉茜 |
|
Research on Control Strategy of Grid-Connected Inverter under Unbalanced Voltage Conditions |
| Weiqing Tao,Zhixia Gu,Ming Ding,Leqin Wang,Jiaxi Li |
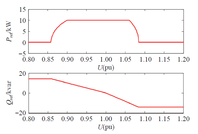
| 图4 功率参考值与电压关系图 |
| Fig.4 Relationship between reference power and voltage |
|