电网风电接纳能力建模及影响因素分析
1.
2.
Research on the Model and Influences of Power Grid’s Ability of Admitting Wind Power
1.
2.
收稿日期: 2016-01-4 网络出版日期: 2016-07-25
Received: 2016-01-4 Online: 2016-07-25
作者简介 About authors
丁 明 男 1956年生,教授,博士生导师,主要研究方向为电力系统规划及其可靠性、新能源技术及其应用。
刘新宇 男 1994年生,硕士研究生,研究方向为风电并网与机组组合。
风电出力的特殊性和电网调峰能力的不足导致了弃风问题的出现,合理调度和改善电源结构是解决风电接纳问题的有效途径。本文建立了包含传统水火电机组、风电、储能系统(ESS)以及外送通道在内的机组组合模型,将火电机组发电成本和弃风惩罚费用纳入目标函数,综合考虑了各种运行约束条件,得到兼顾发电成本和风电接纳的优化方案。以某省级电网为例,详细讨论了解耦供热机组“以热定电”运行方式、储能、外送通道和灵活性机组对风电年度上网电量的影响,结果表明,解耦供热机组“以热定电”运行方式、配置储能、增加外送和灵活机组均能提高电网对风电的接纳能力。
关键词:
The specificity of wind power and lack of peak regulation led to the problem of abandoned wind, Reasonable dispatch and ameliorate the power structure is an effective way to solve the problem of wind power’s acceptance. The paper established the unit commitment contains traditional thermalpower and hydropower power, wind power, energy storage system (ESS), and delivery channels, thermal power generation cost and abandoned wind penalty costs are included in the objective function, considering the variety of operationalconstraints, to get the optimization taking into account the cost of power generation and acceptance of wind power. Based on an actual provincial power grid, discussed influences of wind power’s the annual electricity with decoupling the constraint of “power determined by heat” , energy storage system, delivery channels and flexible generating units, the results show that decoupling the constraint of “power determined by heat” , energy storage system, delivery channels and flexible generating units can all improve power grid’s ability of admitting wind power.
Keywords:
本文引用格式
丁明, 刘新宇, 朱乾龙, 石文辉.
Ding Ming.
1 引言
近年来,我国风力发电在快速发展的同时其消纳问题也日益突出[1],大量弃风现象造成了严重的经济损失和资源浪费,从而制约了风电的健康可持续发展。如何提高电网的风电接纳能力,减少弃风现象成为我国风电与电力行业所关注的焦点。
导致风电并网问题的主要原因在于输电能力和电源结构两个方面。从输电能力上看,空间上我国风电资源分布与地区能源需求呈逆向分布[2],我国风电主要集中在“三北”地区,并网容量占全国并网总量的87%[3,4],而“三北”地区远离我国负荷中心,风电就地消纳能力较弱,风电需大规模、远距离外送,输电能力不足。从电源结构上看,首先,“三北”地区都有很长时间的供热期,由于供热机组“以热定电”的运行方式,导致供热期期间火电强迫出力较高,风电出力空间不足,容易产生弃风现象;其次,风电本身具有波动性、不可控性和反调峰性等特性[5,6,7,8],这使得风电出力难以与负荷需求相匹配,必须要由常规电源为其提供备用和调峰,才能保证其对负荷安全可靠的供电[9],当常规电源的调峰能力不足时就会产生弃风现象。
本文拟重点从合理调度和改善电源结构的角度讨论风电接纳问题,国内外已经开展了相关工作。在调度策略上,文献[4]基于滚动时序仿真法,以风电接纳最大为目标,忽略常规机组经济性,得到了风电的年度发电计划;文献[10]通过优化常规火电机组出力,设定风电全额接纳,讨论了电网的动态经济调度;文献[11,12,13]主要考虑火电机组的运行费用,风电机组则主要体现在功率平衡约束中,得到了经济上最优的风电接纳量;文献[14]考虑了可调节水电机组的削峰作用,同时将缓解系统调峰压力的途径转移到外送通道上,研究外送通道对风电接纳的影响。在改善电源结构方面,文献[15]通过在可再生能源侧配置蓄电池储能电站来平抑可再生能源出力的波动性,取得了较好效果;文献[16,17,18]建立了包含储能系统在内的机组组合模型并进行了算例计算,讨论了储能电站对系统调峰和火电机组运行成本的影响;文献[19,20]介绍了几种热电厂参与调峰的可行方案,其中文献[20]针对储热建立了电力系统电热综合调度模型,分析了储热解耦供热机组“以热定电”运行方式的可行性;文献[21]提出了使用燃气–蒸汽联合循环机组替代传统燃煤机组以增加调峰速度的方法,分析了燃气–蒸汽联合循环机组的综合效益;文献[22]建立了包含灵活机组与风电的机组组合模型,描述了灵活运行机组的各种运行模式。
本文构建了包含风电、储能及外送通道的机组组合模型,通过使用弃风惩罚系数制定合理的年度发电计划,并分析解耦供热机组“以热定电”运行方式、配置储能、外送通道和灵活性机组的方法对风电并网电量的影响;以某风电富集的省级电力系统为例,给出相关的结论和建议。
2 含风电的机组组合模型
2.1 模型概述
因此,在考虑风电并网的机组组合问题时,不能简单地认定风电的接入价值是一个单调递增的函数。本文在模型的目标函数中综合考虑火电机组成本及风电接纳电量,通过调整弃风惩罚系数的方法确保获得兼顾经济性和风电最大化接纳的机组组合方式。
2.2 目标函数
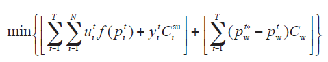
以弃风惩罚费用和火电总运行成本之和最小为目标函数

其中

式中,T为仿真总时长;N为火电机组台数;uit为火电机组i在t时的状态系数,0表示停机,1表示运行;f(pit)为机组i在t时段的发电费用函数;ai、bi、ci为火电机组i的燃料费用参数;pit为火电机组i在t时刻的出力;yit为火电机组i的起动系数,是1表示机组i在t时段执行起动操作,否则为0;Cisu为机组i的起动费用;pwt*为风电预测功率;pwt为风电实际并网功率;Cw为弃风经济惩罚系数。
2.3 约束条件
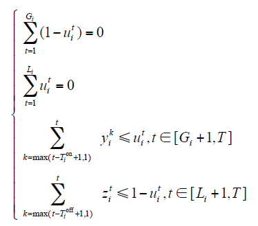
(1)机组运行逻辑约束

式中,zit为机组i的停机系数,是1表示机组i在t时段执行停机操作,否则为0。
(2)火电机组出力约束

式中,pimin和pimax为火电机组i的最小出力和最大出力。
(3)火电机组爬坡约束

式中,RUi和RDi为火电机组i的上爬坡速率和下爬坡速率;SUi和SDi为火电机组i的开机速率和停机速率。
(4)火电机组最小起停时间约束
采用混合整数线性形式表达的机组最小起停机时间约束[25]

式中,Gi为火电机组i初始时刻仍需连续运行的时段数;Li为火电机组i初始时刻仍需连续停机的时段数;Tion和Tioff为火电机组i的最小开机时间和最小停机时间。
(5)风电出力约束

(6)库容式水电机组出力约束

式中,phmin和phmax为水电机组h的最小出力和最大出力;pht是水电机组h在t时刻的出力。
(7)库容式水电机组电量约束

式中,QHmin和QHmax为库容式水电机组在时段T内的最低电量和最大发电量。
(8)ESS充放电功率限制

式中,pinv为ESS储能允许的最大充放电功率;pct和pdt分别为ESS在时段t的充电和放电功率。
(9)ESS电量约束



式中,α和β分别为充放电效率;Ec,t和Ed,t分别是t时段内ESS的充放电量;Eini为ESS系统的初始电量;Emin和Emax分别为ESS储能允许的最小电量和最大电量;Et为ESS储能在t时刻的电量值。
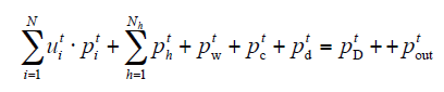
(10)系统功率平衡约束
电力系统负荷由火电、水电、风电以及储能系统共同承担

式中,pDt为t时刻的系统负荷;ptout为t时刻的外送通道功率。
(11)旋转备用约束
旋转备用约束由火电和水电共同承担,考虑风电的预测误差带来的备用容量

式中,Rt为系统t时段的负荷备用;ε%为风电的预测误差。
至此,由目标函数(1)、目标函数(2)和约束式(3)〜式(15)构成了包含风电、传统水火电机组以及储能和外送通道的机组组合模型。该模型为非线性模型,且规模较大,用常规方法较难获得最优解,本文将模型线性化[25],转化为混合整数线性规划(MILP)问题。在对模型进行了上述处理后,文章采用Java语言搭建模型,调用优化软件CPLEX进行求解。
3 实际算例及分析
3.1 系统介绍
以中国风电富集的某省级电网为例,对该省2015年的风电接纳情况进行分析。该省总装机容量为22 629MW,平均负荷为9 785MW。供热期为10月15日到次年的4月14日,共182天,各类机组的装机比重与调峰能力见表1。
表1 各类机组装机比重与调峰特性
Tab.1
| 机组类型 | 装机比重(%) | 平均调峰能力(%) | |
|---|---|---|---|
| 供热期 | 非供热期 | ||
| 凝汽式火电机组 | 18.5 | 40 | 40 |
| 抽汽式火电机组 | 55.5 | 15 | 40 |
| 库容式水电机组 | 3 | 100 | 100 |
| 风电机组 | 23 | 0 | 0 |
由表1可见,该省以火力发电为主,风电渗透率较高,灵活调节机组所占比重很小,供热机组所占比重较大,供热期持续时间很长,且在供热期供热机组的调峰能力受限,调峰问题十分突出,极有可能出现弃风现象。
考虑到计算速度要求,本文选用3d作为一个仿真阶段,同时为了实现不同仿真阶段之间的衔接,在相邻的仿真阶段之间将本时段火电机组出力、已起停时间及储能系统的充放功率和电量作为下一时段的初始值。
系统常规备用取网内最大一台火电机组的装机容量,即600MW,风电出力的预测误差取30%;水电发电量为可调节库容式水电厂的日均计划发电量,丰水期为4 318MW·h,枯水期为1 320MW·h,不考虑弃水。
3.2 结果分析
3.2.1 当前电网的风电接纳情况
以目标函数中风电接纳能力最大、经济性最优及不同惩罚系数三类方案做对比,所得风电接纳量和系统经济性指标见表2。
表2 不同方案下的风电接纳和系统经济情况
Tab.2
| 惩罚系数 /(¥/MW·h) | 风电接纳量 /(MW·h) | 弃风量 /(MW·h) | 运行费用 /¥ | 火电机组 起停次数 |
|---|---|---|---|---|
| 500 | 12 551 308 | 3 831 039 | 829 776 838 | 1 255 |
| 1 000 | 12 553 074 | 3 829 273 | 829 826 808 | 1 263 |
| 3 000 | 12 553 835 | 3 828 512 | 829 806 969 | 1 271 |
| 5 000 | 12 554 107 | 3 828 240 | 829 827 216 | 1 250 |
| 10 000 | 12 554 107 | 3 828 240 | 829 947 841 | 1 266 |
| 100 000 | 12 554 203 | 3 828 144 | 830 060 929 | 2 304 |
| 只考虑风电接纳 | 12 554 217 | 3 828 130 | 880 690 912 | 9 495 |
| 只考虑经济性 | 12 537 054 | 3 845 293 | 829 757 802 | 1 145 |
由表2可知,经济性最优的风电接纳电量比风电最大接纳电量少了17 163MW·h;而在只考虑风电接纳的情况下,由于未考虑传统机组的成本,造成火电机组运行费用及起停次数的大幅增加;在使用弃风惩罚系数后,随着惩罚系数的增加,弃风电电量逐渐减少,当弃风惩罚系数取5 000¥/(MW·h)时,弃风电量仅比只考虑风电接纳的方案少了110MW·h,保证了风电的最大接纳;而进一步增加弃风惩罚系数,风电接纳电量增加缓慢,同时系统的经济性有所降低。因此本文采用弃风惩罚系数为5 000¥/(MW·h)的年度机组组合方案,以下算例均以此方案为基础进行讨论分析。
图1
图1
供热期随机某周的风电并网及弃风情况
Fig.1
Wind power accepted and abandoned situation of a random week of heating period
图2
图2
非供热期随机某周的风电并网及弃风情况
Fig.2
Wind power accepted and abandoned situation of a random week of non-heating period
表3 全年风电接纳情况
Tab.3
| 参 数 | 数 值 |
|---|---|
| 风电接纳电量/(MW·h) | 12 554 107 |
| 弃风率(%) | 23.37 |
| 风电限电小时数/h | 3 223 |
| 风电利用小时数/h | 1 499 |
| 平均并网功率/MW | 1 432 |
| 供热期限电小时占比(%) | 96.9 |
| 非供热期限电小时占比(%) | 3.1 |
| 供热期限电量占比(%) | 99.5 |
| 非供热期限电量占比(%) | 0.5 |
图3
图3
供热期随机1d风电出力空间
Fig.3
Wind power’s accepted space of a random day of heating period
进一步分析供热期弃风现象产生的原因,将某日风电预测出力视为负值负荷,从负荷中减去,得等效负荷如图4所示。
图4
图4
供热期随机1d等效负荷及风电出力曲线
Fig.4
Equivalent load and wind power curve of a random day of heating period
通过观察图4可得,风电预测出力在谷荷处大发,呈明显的“反调峰”特性,增加了对传统机组调峰速度的要求。同时也使得谷荷时产生大量弃风,而峰荷处的风电并网情况良好。因此解决谷荷弃风问题可以有效增加风电并网电量。
3.2.2 考虑外送通道时风电的接纳情况
该省总装机容量为22 629MW,最大负荷为12 256MW,仅占总装机的54.16%,可见该省电网在满足本地区负荷的同时,仍拥有很强的外送能力。本文选择满负荷平送的外送运行方式,在不同的外送功率下分析风电的接纳情况,见表4。
表4 不同外送容量下的风电接纳情况
Tab.4
| 外送功率 /MW | 风电接纳电量 /(MW·h) | 弃风率 (%) | 运行费用 /¥ | 起停 次数 |
|---|---|---|---|---|
| 0 | 12 554 107 | 23.37 | 829 827 216 | 1 250 |
| 500 | 13 800 505 | 15.76 | 864 942 351 | 1 300 |
| 1 000 | 14 791 669 | 9.7 | 902 680 737 | 1 370 |
| 1 500 | 15 502 890 | 5.37 | 943 170 983 | 1 416 |
从表4可以看出,外送通道提高了负荷水平,将部分弃风电量转移到其他省份消纳,改善了风电的并网情况。一般而言,外送容量越大,风电的出力空间越大,风电的并网情况也就越好。同时,风电更多的并网也导致了火电机组更加频繁的起停,而且随着外送容量的增加,火电机组的发电量也逐渐提高,导致系统总发电成本的上升。
3.2.3 考虑解耦供热机组“以热定电”运行方式时 风电的接纳情况
表5 供热机组调峰能力不同时风电接纳情况
Tab.5
| 供热机组平均调峰能力(%) | 风电接纳电量/(MW·h) | 弃风率(%) |
|---|---|---|
| 15 | 12 554 107 | 23.37 |
| 20 | 13 324 188 | 18.67 |
| 25 | 13 906 539 | 15.11 |
| 30 | 14 244 877 | 13.05 |
| 35 | 14 505 343 | 11.45 |
由表5可得,改善供热期供热机组的调峰深度可以降低火电机组的强迫出力,提高风电出力空间,进一步加强电网的风电接纳能力,降低弃风率。
在传统电网中,由于供热期供热机组受限于“以热定电”的运行方式,导致供热机组的调峰能力很难改善,而现阶段可以通过添加储热、电热炉等装置,在一定程度上增加供热机组的调峰能力,使得解耦“以热定电”的运行方式成为可能[19]。
3.2.4 考虑配置灵活机组时风电的接纳情况
表6 不同方案下风电接纳情况
Tab.6
| 原始方案 | 替代方案 | |||
|---|---|---|---|---|
| 风电接纳量 /(MW·h) | 弃风率 (%) | 风电接纳量 /(MW·h) | 弃风率 (%) | |
| 原始风电容量 | 12 554 107 | 23.37 | 12 560 345 | 23.33 |
| 1.2倍风电容量 | 14 177 358 | 27.88 | 14 356 833 | 26.97 |
| 1.4倍风电容量 | 15 706 634 | 31.52 | 15 914 795 | 30.61 |
由表6可以看到,替代方案下的风电接纳情况要好于原始方案,而且随着风电装机容量的不断增加,灵活性机组对减少弃风所起到的作用愈发明显。这是因为风电的总装机容量越大,其出力的波动性与反调峰特性对系统的影响越显著,对爬坡速度的要求也就越高。随着风电的迅速发展,配置爬坡速度更快的灵活性机组可以提高系统的负荷跟踪能力,有效地改善风电并网情况。
3.2.5 考虑ESS时风电的接纳情况
储能系统的双向调节可以改善系统的风电接纳能力。假设单个储能系统单位时间内的充放电功率上限为100MW;最大电量为300MW·h,最小电量为15MW·h;转换损耗系数为13%,初始电量值为50MW·h。
为研究储能系统对风电消纳的促进作用,讨论系统中安装0~4个储能系统情景下的风电接纳情况,结果见表7。
表7 配置储能系统后风电接纳情况
Tab.7
| 储能 个数 | 风电接纳电量 /(MW·h) | 弃风率 (%) | 运行费用 /¥ | 起停 次数 |
|---|---|---|---|---|
| 0 | 12 554 107 | 23.37 | 829 827 216 | 1 250 |
| 1 | 12 589 101 | 23.15 | 829 308 189 | 1 245 |
| 2 | 12 621 569 | 22.96 | 828 957 076 | 1 243 |
| 3 | 12 651 452 | 22.77 | 828 757 694 | 1 238 |
| 4 | 12 677 964 | 22.61 | 828 489 510 | 1 227 |
通过对比不同情景下的风电并网结果可知,随着储能系统的接入以及规模的扩大,风电机组的弃风率呈现下降趋势。以安装4个储能系统的场景进行分析。典型日风电及储能出力情况如图5所示。
图5
从图5可以看到,ESS在负荷较低、风电较大的1~7时段进行充电,在负荷较大、风电较小的10~19时段进行放电,将风电并网困难的谷荷处风电“转移”到峰荷处进行消纳,从而减小了谷荷处的弃风;同时ESS在谷荷时段充电,峰荷时段放电,降低了负荷的峰谷差,减少了火电机组的起停次数,降低了总运行费用。
4 结论
本文给出了制定合理年度计划的机组组合模型。并详细分析了解耦供热机组“以热定电”的运行方式、配置储能、外送通道和灵活性机组对风电并网情况的影响,计算结果表明:解耦供热机组“以热定电”的运行方式以及添加外送通道都可以增加风电的消纳空间,从而提高风电的并网电量;储能系统可以通过“转移”风电出力而有效改善谷荷弃风现象,而且随着风电装机容量的进一步增加,配置调峰更快的灵活性机组也能够提高电网的风电接纳能力。机组组合的求解速度也是目前电力行业较为关注的地方,考虑模型的优化加速应是下一步的工作。
参考文献
包含大容量储热的电-热联合系统
[J].
Combined electricity-heat operation system containing large capacity thermal energy storage
[J].
考虑调峰和电网输送约束的省级系统风电消纳能力分析
[J].随着风电并网容量的增加,调峰和电网输送能力已成为电力系统消纳风电的瓶颈。为直观表达省级系统消纳风电的能力,指导风电发展规划以及未来调度运行工作,结合中国电力系统运行特性,研究了综合考虑调峰约束和电网输送能力约束的风电电量消纳预测方法,并根据中国北方风电富集省份现有的电网条件、电源结构、实际运行方式等信息,对多种场景下两相邻省份水平年风电电量消纳情况进行了详细预测分析,最后根据电力系统实际运行情况,提出了提高风电消纳能力的措施和建议。
Analysis on provincial system available capability of accommodating wind power considering peak load dispatch and transmission constraints
[J].随着风电并网容量的增加,调峰和电网输送能力已成为电力系统消纳风电的瓶颈。为直观表达省级系统消纳风电的能力,指导风电发展规划以及未来调度运行工作,结合中国电力系统运行特性,研究了综合考虑调峰约束和电网输送能力约束的风电电量消纳预测方法,并根据中国北方风电富集省份现有的电网条件、电源结构、实际运行方式等信息,对多种场景下两相邻省份水平年风电电量消纳情况进行了详细预测分析,最后根据电力系统实际运行情况,提出了提高风电消纳能力的措施和建议。
基于时序仿真的风电年度计划制定方法
[J].
DOI:10.7500/AEPS20130703002
URL
[本文引用: 2]
国内风电发展迅猛,但“三北”地区电力系统调峰能力有限,造成风电“弃风”现象严重。现有 风电年度计划方法只能将风电电量预测结果纳入年度计划,与风电运行受阻的实际情况偏差较大, 年度计划难以执行。文中提出一种基于时序仿真的风电年度计划方法,综合考虑风电出力特性、负 荷特性、机组调峰特性、电网送出能力等因素,逐时段优化全网含风电的电力平衡,建立了用于研究 省级电网年度风电计划的优化模型。以某省级电网为例,对比分析了时序仿真法和典型日分析法 的风电平衡能力及其节能减排效益,研究了不同开机方式对风电平衡能力的影响。结果表明,采用 滚动3d优化风电平衡模型符合电网调度实际情况,计算速度快,且能够提高年度风电上网电量, 为年度计划制定提供了参考。
An annual wind power planning method based on time sequential simulations
[J].
DOI:10.7500/AEPS20130703002
URL
[本文引用: 2]
国内风电发展迅猛,但“三北”地区电力系统调峰能力有限,造成风电“弃风”现象严重。现有 风电年度计划方法只能将风电电量预测结果纳入年度计划,与风电运行受阻的实际情况偏差较大, 年度计划难以执行。文中提出一种基于时序仿真的风电年度计划方法,综合考虑风电出力特性、负 荷特性、机组调峰特性、电网送出能力等因素,逐时段优化全网含风电的电力平衡,建立了用于研究 省级电网年度风电计划的优化模型。以某省级电网为例,对比分析了时序仿真法和典型日分析法 的风电平衡能力及其节能减排效益,研究了不同开机方式对风电平衡能力的影响。结果表明,采用 滚动3d优化风电平衡模型符合电网调度实际情况,计算速度快,且能够提高年度风电上网电量, 为年度计划制定提供了参考。
风电功率预测技术的应用现状及运行建议
[J].
Existing applications of wind power forecasting technology and relevant suggestions
[J].
风电场发电容量可信度研究
[J].
Research on the capacity credit of wind energy resources
[J].
Wind resource assessment of an area using short term data correlated to a long term data set
[J].DOI:10.1016/j.solener.2004.01.004 URL [本文引用: 1]
Steady state power system issues when planning large wind farms
[C].
风电并网后西北电网调峰能力的计算方法
[J].随着西北地区风电并网规模的增大,结合西北水电资源丰富、调节性能好的特点,考虑负荷特性、电源特性等,提出了水电与风电协调运行的思路,给出了水电、火电为风电调峰的调峰能力计算方法。该方法先根据水电与风电协调运行的原理推导水电可平衡的风电出力,再利用电力系统运行模拟计算程序计算火电可为风电提供的调峰能力。该方法对水电资源丰富地区风电接入后电网调峰能力的研究有借鉴意义。
A computing method for peak load regulation ability of northwest China power grid connected with large-scale wind farms
[J].随着西北地区风电并网规模的增大,结合西北水电资源丰富、调节性能好的特点,考虑负荷特性、电源特性等,提出了水电与风电协调运行的思路,给出了水电、火电为风电调峰的调峰能力计算方法。该方法先根据水电与风电协调运行的原理推导水电可平衡的风电出力,再利用电力系统运行模拟计算程序计算火电可为风电提供的调峰能力。该方法对水电资源丰富地区风电接入后电网调峰能力的研究有借鉴意义。
含风电场的电力系统动态经济调度
[J].研究了含风电场电力系统动态经济调度的影响因素,在风电功率全额上网的基础上,通过优化常规火电机组出力,实现动态经济调度。优化模型中引入了正、负旋转备用约束,以应对风电功率预测误差给系统调度带来的影响;在目标函数中计及了常规火电机组的阀点效应带来的能耗成本。针对优化模型的不可微和多峰值特性,采用光滑化处理技术,并提出粒子群内点混合优化策略。实例验证表明,所提出的动态经济调度模型合理,算法具有很好的实用价值。
Dynamic economic dispatch in wind power integrated system
[J].研究了含风电场电力系统动态经济调度的影响因素,在风电功率全额上网的基础上,通过优化常规火电机组出力,实现动态经济调度。优化模型中引入了正、负旋转备用约束,以应对风电功率预测误差给系统调度带来的影响;在目标函数中计及了常规火电机组的阀点效应带来的能耗成本。针对优化模型的不可微和多峰值特性,采用光滑化处理技术,并提出粒子群内点混合优化策略。实例验证表明,所提出的动态经济调度模型合理,算法具有很好的实用价值。
Wind power day-ahead uncertainty management through stochastic unit commitment policies
[C].
Optimal wind-thermal generating unit commitment
[J].
DOI:10.1016/j.dib.2018.03.015
URL
PMID:29896502
[本文引用: 1]
This paper presents the data all needed for nine case studies of hydropower unit commitment, which determines the optimal operating zones and generating discharges of units after the quarter-hourly releases and water heads are derived by the operation of cascaded hydropower reservoirs. The power output function and feasible operating zones of units are provided, and optimization solvers are used to acquire the results in detail for the case studies, including the quarter-hourly generating discharges, power generations, as well as operating zones of individual units. Performance indices, including the spillage, energy production, and the low-efficiency generating rate, are summarized for all case studies and can be readily used for comparison between algorithms in future.
低碳经济下风火互济系统日前发电计划模式分析
[J].风电是最具竞争力的低碳能源之一,是推动低碳经济发展的重要力量。考虑风电机组出力特点,关注风电低碳效益的发挥,研究了风电机组与火电机组协调运行的问题。通过引入CO2 价格指标,建立了风火互济系统运行的综合最优模型。从风能利用原则、日前发电计划优化目标、风电参与日前调度的方式3个方面提出了含风电的5种典型日前发电计划模型。在典型风火互济系统中对各模式进行了比较,并深入讨论了CO2 价格、不同风电接入水平对模型的影响。结果表明,优先调度风电但允许少量弃风将显著提高中国风火互济系统整体效益,该模式优于全额接纳风电的模式;通过引入CO2价格机制,以经济和环保并重的计划模式优于传统的以发电经济性为目标的模式;当CO2 价格达到一定水平,风电机组与常规机组平等参与日前发电计划可实现真正意义上的系统运行经济性与环保性的综合最优。
Day-ahead dispatch model forwind-thermal power system in low-carbon economy
[J].风电是最具竞争力的低碳能源之一,是推动低碳经济发展的重要力量。考虑风电机组出力特点,关注风电低碳效益的发挥,研究了风电机组与火电机组协调运行的问题。通过引入CO2 价格指标,建立了风火互济系统运行的综合最优模型。从风能利用原则、日前发电计划优化目标、风电参与日前调度的方式3个方面提出了含风电的5种典型日前发电计划模型。在典型风火互济系统中对各模式进行了比较,并深入讨论了CO2 价格、不同风电接入水平对模型的影响。结果表明,优先调度风电但允许少量弃风将显著提高中国风火互济系统整体效益,该模式优于全额接纳风电的模式;通过引入CO2价格机制,以经济和环保并重的计划模式优于传统的以发电经济性为目标的模式;当CO2 价格达到一定水平,风电机组与常规机组平等参与日前发电计划可实现真正意义上的系统运行经济性与环保性的综合最优。
考虑风电外送的省级系统调峰分析模型
[J].风电的间歇性和反调峰性使得风电富集省面临系统调峰和能源消纳的问题,建设大功率外送通道是解决能源消纳问题有效的途径。应对外送通道建设后对系统调峰及风能消纳的影响,建立了考虑风电外送的省级系统调峰分析模型。计及风电的出力预测,将风电出力看作负的负荷,与原始负荷形成等效负荷,考虑水电机组的削峰作用和外送通道的辅助调峰作用,提出了全省常规机组的出力安排模型,并以此为基础进行调峰分析。以我国某风电大省为算例进行了模拟分析,结果表明外送通道的建设减少了系统弃风,扩大了风电的消纳范围,且促进了送端与受端的调峰互补,是风电基地持续、健康发展的根本出路。
A model to analyze peak load regulation of provincial power system considering sending-out of wind power
[J].风电的间歇性和反调峰性使得风电富集省面临系统调峰和能源消纳的问题,建设大功率外送通道是解决能源消纳问题有效的途径。应对外送通道建设后对系统调峰及风能消纳的影响,建立了考虑风电外送的省级系统调峰分析模型。计及风电的出力预测,将风电出力看作负的负荷,与原始负荷形成等效负荷,考虑水电机组的削峰作用和外送通道的辅助调峰作用,提出了全省常规机组的出力安排模型,并以此为基础进行调峰分析。以我国某风电大省为算例进行了模拟分析,结果表明外送通道的建设减少了系统弃风,扩大了风电的消纳范围,且促进了送端与受端的调峰互补,是风电基地持续、健康发展的根本出路。
用于平抑可再生能源功率波动的储能电站建模及评价
[J].
Modeling of BESS for smoothing renewable energy output fluctuations
[J].
储能系统对含风电的机组组合问题影响分析
[J].This paper presents a simulation method that can assess the impact of energy storage system(ESS) on the unit commitment(UC) problem with volatile wind power. In order to achieve the higher system flexibility and reduce the impact of volatility of wind power, ESS is incorporated into the UC problem with wind power. The UC problem with wind power and ESS is formulated as the mixed-integer convex program, which is optimized by branch and bound combined with interior point method. During the branch and bound process, best first search and depth first search are combined to expedite the computation. Numerical simulations on a ten-unit system show that the introduction of ESS is effective to reduce the impact of volatility of wind power on the UC problem.
Impact of energy storage system on the unit commitment problem with volatile wind power
[J].This paper presents a simulation method that can assess the impact of energy storage system(ESS) on the unit commitment(UC) problem with volatile wind power. In order to achieve the higher system flexibility and reduce the impact of volatility of wind power, ESS is incorporated into the UC problem with wind power. The UC problem with wind power and ESS is formulated as the mixed-integer convex program, which is optimized by branch and bound combined with interior point method. During the branch and bound process, best first search and depth first search are combined to expedite the computation. Numerical simulations on a ten-unit system show that the introduction of ESS is effective to reduce the impact of volatility of wind power on the UC problem.
含储能系统和大型风电场并网电力系统机组组合研究
[J].
Study on unit combination of synchronized power system containing energy storage system and large-scaled wind farm
[J].
复合能源分布式发电系统的机组组合问题
[J].针对分布式发电的特点,提出了一种新的含多种复合能源的分布式发电系统发电成本最低的机组组合模型,并提出了一种针对分布式发电系统的调度策略,用改进的遗传算法求取在此策略下机组组合的发电费用,约束条件中不仅包含了常规机组组合问题的约束,还考虑了分布式发电系统的特殊约束,算例证明此模型和算法是可行的。
Unit commitment problem in distributed generation system with multiple energy sources
[J].针对分布式发电的特点,提出了一种新的含多种复合能源的分布式发电系统发电成本最低的机组组合模型,并提出了一种针对分布式发电系统的调度策略,用改进的遗传算法求取在此策略下机组组合的发电费用,约束条件中不仅包含了常规机组组合问题的约束,还考虑了分布式发电系统的特殊约束,算例证明此模型和算法是可行的。
热电厂参与风电调峰的方法评述及展望
[J].
Review and perspective of integrating wind power into CHP power system for peak regulation
[J].
含储热的电力系统电热综合调度模型
[J].
Combined heat and power dispatch model for power system with heat accumulator
[J].
天然气电厂的综合效益及评估
[J].
Comprehensive benefits of gas power plants and its evaluation
[J].
考虑灵活运行机组的随机机组组合模型
[J].提出一种随机机组组合模型。为兼顾节能环保,该模型除考虑常规火电机组之外,还考虑了灵活运行机组和风电机组。灵活运行机组具有多种运行模式,将每种模式虚拟为一台单独的发电机,通过设置相应的参数和约束条件实现模式之间的转换,易于与传统机组组合模型相结合。在常规机组组合模型中加入投运风险约束,通过该约束不同的变形形式可以分别考虑负荷波动、发电机组故障和风电场输出功率波动等多种随机因素。2个简单系统的算例分析显示了所述模型在处理灵活运行机组以及考虑随机因素方面的有效性。 4个不同规模的算例分析显示,模型的计算时间能够满足工程计算的需要,具有一定的实际应用前景。
Stochastic unit commitment method with flexible generating units
[J].提出一种随机机组组合模型。为兼顾节能环保,该模型除考虑常规火电机组之外,还考虑了灵活运行机组和风电机组。灵活运行机组具有多种运行模式,将每种模式虚拟为一台单独的发电机,通过设置相应的参数和约束条件实现模式之间的转换,易于与传统机组组合模型相结合。在常规机组组合模型中加入投运风险约束,通过该约束不同的变形形式可以分别考虑负荷波动、发电机组故障和风电场输出功率波动等多种随机因素。2个简单系统的算例分析显示了所述模型在处理灵活运行机组以及考虑随机因素方面的有效性。 4个不同规模的算例分析显示,模型的计算时间能够满足工程计算的需要,具有一定的实际应用前景。
基于极限场景集的风电机组安全调度决策模型
[J].
A security-constrainted dispatching model for wind generation units based on extreme scenario set optimization
[J].
考虑风电和负荷不确定性的机组组合研究
[J].DOI:10.7667/j.issn.1674-3415.2014.03.010 URL [本文引用: 1]
Study of unit commitment considering the uncertainty of wind farm and load
[J].DOI:10.7667/j.issn.1674-3415.2014.03.010 URL [本文引用: 1]
一种含四类0-1变量的机组组合混合整数线性规划模型
[J].
A mixed-integer linear programming model using four sets of binary variables for the unit commitment problem
[J].
长时间尺度风电出力时间序列建模新方法研究
[J].DOI:10.7667/j.issn.1674-3415.2013.01.002 URL [本文引用: 1]
A new method to simulate wind power time series of large time scale
[J].DOI:10.7667/j.issn.1674-3415.2013.01.002 URL [本文引用: 1]
/
| 〈 |
|
〉 |