基于小波包对数能量熵与BP神经网络的孤岛检测方法
合肥工业大学电气与自动化工程学院 合肥 230009
Based on Wavelet Packet Log Energy Entropy and BP Neural Network Islanding Detection Method
Hefei University of Technology Hefei 230009 China
收稿日期: 2016-01-5 网络出版日期: 2016-06-25
| 基金资助: |
|
Received: 2016-01-5 Online: 2016-06-25
作者简介 About authors
王 涛 男 1990年生,硕士,研究方向为运动控制系统。
张 兴 男 1963年生,教授,博士生导师,研究方向为电力电子及电力传动。
针对传统被动式孤岛检测法存在检测时间长、盲区(NDZ)大,而主动式孤岛检测法影响电能质量的缺点,提出一种新的基于小波包对数能量熵(WPLEE)与BP神经网络的孤岛检测方法。该方法首先采集公共耦合点(PCC)处的电压信号,再将该电压信号分别进行小波包变换,然后通过对数能量熵进行算法处理来获取适合于孤岛检测的特征向量,该特征向量通过BP神经网络进行模式识别来判断系统是否发生孤岛现象,特别在逆变器输出功率和本地负载功率匹配时。实验和仿真结果表明,该方法均能准确、有效地判断出是否存在孤岛状态,同时与传统的被动式孤岛检测方法相比检测速度快,检测盲区小,不会对电能质量产生不良影响。
关键词:
The detecting time is long and non-detection zone (NDZ) is large for traditional passive islanding detection methods, while active methods have some negative effects on power quality. A novel islanding detection method is proposed based on wavelet packet log energy entropy (WPLEE) and BP neural network. Firstly, the voltage of point of common coupling (PCC) are gathered, and then WPLEE is adopted to analyze the voltage signal. Secondly, by log energy entropy to get adapted to the characteristics of islanding detection algorithm processing variable. Lastly, BP neural network used these characteristic variable to pattern recognition and determine whether there is an island phenomenon,especially in the case of the inverter output power and load power matching. The simulation and experiment results show that this method is faster than the traditional passive methods in islanding detection, and the non-detection zone is smaller and there isn’t a negative impact on power quality.
Keywords:
本文引用格式
王涛, 张兴, 杜成孝.
Wang Tao.
1 引言
孤岛检测是指主电网停止供电时,光伏发电系统能及时地检测出主电网失电的状态,及时地切断分布式发电系统工作,使得设备和人员的安全得到有效的保障。
目前基于发电系统的孤岛检测方法分为被动式和主动式两类。主动式检测方法是向发电系统注入扰动,虽然能加快检测时间和减小孤岛检测盲区,但是影响发电系统的电能质量;被动式检测方法对系统的电能质量没有影响,但检测时间和检测盲区较大。
对于光伏发电系统,孤岛产生前后,公共耦合点(Point of Common Coupling,PCC)电压会发生变化,通过信号提取、分析和处理等手段,提取在孤岛和非孤岛条件下有用的信息用于孤岛和非孤岛模式识别,由于小波变换在时域和频域具有很好的局部化特性,为信号提取提供了极大便利。文献[1,2,3,4,5]将小波变换技术用于孤岛检测技术,但单独采用小波变换技术需要通过设置阈值来判断孤岛和非孤岛状态,阈值的设置不当可能会带来漏检和误判。为了解决阈值设定难的问题,文献[6,7]采用小波变换技术及神经网络技术用于孤岛检测,但模式识别结果并不理想,孤岛检测平均率只有85%左右。为了提高模式识别率,文献[8]选用逆变器输出电流和公共耦合点电压信号的小波系数绝对值的平均值以及对应的差值作为特征量,改善了在不同负载条件下,孤岛和非孤岛两种状态下特征量的差异性,但选取的特征量存在非独立变量,不能丰富全面地提供小波信号处理信号的信息,容易造成漏检和误判。
基于上述方法的不足,本文提出小波包和对数能量熵结合的方法来提取特征量,由于小波变换只是对信号的低频部分做进一步分解,而对信号的高频部分未做进一步分解,所以不能很好地分解和表示,而小波包变换对信号的低频和高频进行分解,还能根据分析的特征自适应地选择相应的频带与信号的频谱相匹配,既无冗余,也没有遗漏,提高了时频的分辨率[9]。
小波包对数能量熵是小波包变换和熵的结合,与物理熵一样,信息熵是对系统不确定性程度的描述,若将一个信号源当作物理系统可能输出的信号越多,系统的不稳定性和随机性越大,对应的熵值越大,熵在故障检测的应用研究取得了一定的研究成果,为本文的研究开启了新的思路。
本文结合小波包对数能量熵与BP神经网络实现光伏发电系统的孤岛检测,具体做法是提取PCC的电压信号各频段的对数能量熵之后,建立基于小波包对数能量熵的三层BP神经网络分类器,仿真和实验结果表明,该方法具有孤岛检测精度高,检测速度快,盲区小,对电能质量无影响等优点。
2 小波包对数能量熵的提取
2.1 小波包算法
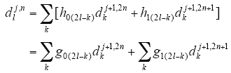
小波包变换包括小波包的分解和重构,其中小波包分解算法是由{dlj,n}求{dkj+1,2n}和{dkj+1,2n+1},其推导公式为[9]

式中,dlj,n、dkj+1,2n、dkj+1,2n+1为小波包分解系数;h0(2l-k)、h1(2l-k)分别为小波包分解的低通、高通滤波器系数。
小波包系数重构算法是由{dkj+1,2n}和{dkj+1,2n+1}求{dlj,n},即

式中,g0(2l-k)、g1(2l-k)分别为小波包重构的低通、高通滤波器系数。
2.2 小波包对数能量熵提取
选取PCC的电压作为特征量,为减小神经网络的输入信号数值,避免其净输入的绝对值过大使神经元输出饱和,继而影响网络学习的收敛速度,本文将小波包系数和熵结合得到的小波包对数能量熵作为BP神经网络的输入特征量,同时为了减小神经网络的输入信号的个数,在保证BP神经网络能有效地识别孤岛和非孤岛的条件下,选取对识别效果影响较大的特征量。通过对获取的孤岛和非孤岛条件下的三尺度小波包对数能量熵,选取H30~H35六个特征量作为神经网络的输入特征量。
2.3 BP神经网络的设计
经小波包变换和能量熵结合得到的特征向量,在不同负载条件下会发生显著变化,很难通过设定阈值来判定孤岛发生与否,需借助强有力的模式识别工具。人工神经网络具有较强的模式识别能力,目前,在人工神经网络的实际应用中,绝大部分的神经网络模型都采用BP神经网络及其变化形式。它也是前向网络的核心部分,体现了人工神经网络的精华。因此本文采用BP神经网络作为模式识别的分类器。
从结构上来说,BP神经网络是一种分层型的典型多层网络,具有输入层、隐含层和输出层,层与层之间一般采用全连接方式。
一般地,BP神经网络输入层节点数等于要训练的样本向量维数,输出层节点数为分类网络中的类别数。本文选取的特征向量空间有6个信号,所以输入层节点数设为6个;输出只对孤岛工作状态进行分类,即孤岛状态与非孤岛状态,所以输出层节点数设定为1个。
BP隐层节点的选取[10]:BP神经网络的隐层节点对BP网络的预测精度有较大的影响,节点太少,不能很好的学习,需要增加训练的次数,训练的精度也受影响;节点太多,训练的时间增加,网络容易过拟合,最佳隐含层节点的选取可参考如下公式,即
式中,n为输入层节点数;l为隐层节点数;a为0~10之间的自然数。本文选取式(2)作为最佳隐层节点的参考公式,通过多次的训练和测试验证,当隐层节点为12时具有较好的训练和识别效果。
3 孤岛检测仿真建模实例
图1
图2
(1)正常工作状态开关S1一直不动作,如图2a所示,PCC电压、逆变器输出电流、本地负载电流、电网电流保持不变,逆变器未出现误动作。
(2)逆变器输出功率和本地负载消耗功率不匹配条件下,开关S1在0.1s断开,电网电流为0,如图2b所示,经过20ms,PCC电压、逆变器输出电流、本地负载电流降为0,孤岛保护动作。
(3)逆变器输出功率和本地负载消耗功率匹配条件下,开关S1在0.1s断开即孤岛产生,如图2c所示,经过20ms,PCC电压、逆变器输出电流、本地负载电流降为0,孤岛保护动作。
4 实验结果及分析
为了进一步说明该方法的有效性,采用阳光电源生产的SG1K5TL型光伏逆变器以及群菱ACLT-3803H型防孤岛实验检测装置作为电子负载,根据仿真实验搭建了相关实验平台对该方法进行实验验证。
图3所示为逆变器输出功率和本地负载功率不匹配条件下孤岛发生的波形。由图可见,孤岛状态发生后经过35ms孤岛保护动作,PCC电压、逆变器电流以及负载电流降为0。
图3
图4
以上实验结果说明,当逆变器输出功率与负载匹配和不匹配时,本文提出的方法能快速、准确地检测出孤岛,并成功实施保护,克服了传统被动式孤岛检测法在负载匹配时存在检测盲区的缺点。
5 结束语
本文提出将小波包对数能量熵与BP神经网络用于孤岛检测,通过对PCC电压信号进行小波包分解,再对电压细节信号进行对数能量熵处理,从而得到输入BP网络的特征向量,最后运用BP网络对孤岛现象进行模式识别。仿真和实验结果表明,该方法均能准确、有效地判断出是否存在孤岛状态。
参考文献
A new islanding detection approach using wavelet packet transform for wind-based distributed generation
[C].
Wavelet-based islanding detection algorithm for single-phase photovoltaic (PV) distributed generation systems
[C].
Wavelet-based islanding detection in grid-connected PV systems
[J].DOI:10.1109/TIE.2008.928097 URL [本文引用: 1]
A novel islanding detection method of distributed generator based on wavelet transform
[C].
Neuro-wavelet based islanding detection technique
[C].
A robust wavelet-ann based technique for islanding detection
[C].
基于小波变换与神经网络的孤岛检测技术
[J].
DOI:10.13334/j.0258-8013.pcsee.2014.04.004
URL
[本文引用: 1]
为保障安全与电力用户供电质量,基于并网逆变器的分布式发电(distributed generation DG)系统要求具备孤岛检测功能。针对被动式孤岛检测法检测盲区(non-detection zone,NDZ)大、检测时间长以及主动式孤岛检测法影响分布式发电系统供电质量的缺点,提出了一种新的被动式孤岛检测方法。该方法利用小波变换从公共耦合点(point of common coupling,PCC)处的电压信号及逆变器输出电流信号中提取特征量,再通过BP神经网络进行模式识别来判断是否出现孤岛现象。仿真与实验结果表明,该方法比传统的被动式孤岛检测方法检测速度快,检测盲区小。同时,由于所提供的孤岛检测法没有向控制信号中加入扰动量,因而不会对电能质量产生不良影响,克服了主动式孤岛检测方法的不足,并具有很高的准确性与可靠性。
Islanding detection based on wavelet transform and neural network
[J].
DOI:10.13334/j.0258-8013.pcsee.2014.04.004
URL
[本文引用: 1]
为保障安全与电力用户供电质量,基于并网逆变器的分布式发电(distributed generation DG)系统要求具备孤岛检测功能。针对被动式孤岛检测法检测盲区(non-detection zone,NDZ)大、检测时间长以及主动式孤岛检测法影响分布式发电系统供电质量的缺点,提出了一种新的被动式孤岛检测方法。该方法利用小波变换从公共耦合点(point of common coupling,PCC)处的电压信号及逆变器输出电流信号中提取特征量,再通过BP神经网络进行模式识别来判断是否出现孤岛现象。仿真与实验结果表明,该方法比传统的被动式孤岛检测方法检测速度快,检测盲区小。同时,由于所提供的孤岛检测法没有向控制信号中加入扰动量,因而不会对电能质量产生不良影响,克服了主动式孤岛检测方法的不足,并具有很高的准确性与可靠性。
/
| 〈 |
|
〉 |