高频高压大功率变压器优化设计方法研究
许继变压器有限公司 许昌 461000
Study of the Optimum Design Method of High Frequency and High Voltage Power Transformer
Xuji Transformer Co.,Ltd. Xuchang 461000 China
收稿日期: 2015-11-25 网络出版日期: 2016-06-25
| 基金资助: |
|
Received: 2015-11-25 Online: 2016-06-25
作者简介 About authors
胡细保 男 1977年生,工程师,主要从事变压器的开发设计工作。
郗 亮 女 1982年生,工程师,主要从事变压器的开发设计工作。
分析了高频高压大功率变压器的特点和基本设计方程。针对大功率高频高压变压器的特点,提出一种基于变压器绝缘结构的大功率高频高压变压器的优化设计方法。该方法对高频特性(趋肤效应和邻近效应)、高压特性(绝缘结构)、铁心形状和尺寸、散热特性和最优效率等进行了综合优化。
关键词:
The characteristics and basic design equations of high frequency and high voltage high power transformer are analyzed in the paper. Considering the characteristics of high power high-frequency high voltage transformer, the optimization design method of high frequency high-voltage transformer based on transformer insulation structure is proposed. The high frequency characteristics (skin effect and proximity effect), high voltage characteristics (insulation), core shape and size, thermal characteristics and optimum efficiency of transformer are optimized completely in this design method.
Keywords:
本文引用格式
胡细保, 郗亮, 谭智勇, 李久菊.
Hu Xibao.
1 引言
高频高压大功率变压器不同于常规开关电源变压器(低压)、高压脉冲变压器和工频高压变压器。常规开关电源变压器的功率一般为几瓦至几百瓦,电压等级一般为几伏至几百伏。高压脉冲变压器一般输入为单向脉冲,输出为单向高压脉冲,即类似于单极性开关电源变压器,而工频高压变压器工作频率为50Hz。
本文分析了高频高压大功率变压器的特点和基本设计方程,基于变压器的绝缘需求(并考虑散热油道)对变压器铁心的几何尺寸和变压器绕组(包括绝缘结构)进行了优化。该优化设计方法充分考虑了变压器的高压特性和高频特性,依据变压器的最小损耗公式对变压器的绕组铜耗和铁心损耗进行了分配,达到变压器效率、绝缘和散热方面的最优设计目的。
2 高频高压大功率变压器的特点
大功率高频高压变压器不但要关注变压器的高频特性,还应关注变压器的高压特性(如绝缘问题)。显然,如果照搬常规开关电源变压器的设计方法,即基于磁心面积乘积公式进行设计,将需要反复调整铁心窗口利用系数。如果按照高压脉冲变压器的设计方法设计,则将会导致变压器的材料利用率偏低,进而导致效率偏低。并且高频高压变压器与高压脉冲变压器的工作机制不同,它不但是工作在磁心双极性磁化状态,而且是工作在持续高频高压功率流之下。按照高压脉冲变压器设计方法设计的高频高压变压器将会产生过热问题。如果按照工频高压变压器的设计方法设计,将不能凸显高频高压变压器的高频特性。这一方面会影响高频高压变压器的效率;另一方面会使设计出的高频高压变压器体积庞大。高频变压器的设计目标之一是提高变压器的功率密度,即相比工频变压器在同样输出功率的前提下大幅缩小变压器的体积。
一般情况下,随着变压器工作频率的提高,变压器体积将随之减小。此时,如果变压器的效率没有提高,则变压器损耗不变,这将导致变压器的内部温升过高,高频高压变压器的散热问题变得更加突出。解决上述问题的途径有两种:一是提高高频变压器的效率;二是设计利于散热的变压器结构。
以往常规开关电源变压器的设计者在分布参数方面主要追求漏感小,这在低压系统中确实必要。但是在高频高压变压器中,由于变压器的电压/电流比很大,二次绕组的分布电容折算到一次侧时按电压/电流比的平方增大,因此高频高压变压器的电容效应突出。所以在绕制高频高压变压器时可以适当放宽对绕组绕制紧密程度的限制,这也有利于变压器的绝缘和散热设计。
另外,本文变压器磁心选用超微晶(纳米晶)材质。超微晶磁心是带绕型磁心,它的规格只受磁心带宽的限制(因为磁心带宽与生产超微晶的铁水喷嘴宽度设计水平有关),与磁心带垂直方向的高度随磁心带层数的增加而增加。至于磁心窗口尺寸则随绕制模具的变化而灵活可变。因此基于超微晶磁心设计变压器时,可以充分利用磁心窗口和磁心截面积可灵活变化的特点。
综合以上因素,本文从变压器的损耗出发,提出一种基于变压器绝缘结构的大功率高频高压变压器的优化设计方法。该方法既顾及到高频开关电源变压器的高频特性又考虑到高压变压器的高压特性,并对变压器的铁心形状、绕组绝缘结构、散热特性和最优效率等进行了综合优化。
3 高频高压大功率变压器基本设计方程
3.1 基本设计方程[4]
(1)电压方程。根据法拉第电磁感应定律,变压器绕组两端的电压u与铁心的磁通密度B的变化率呈正比。即

式中,N表示变压器的绕组匝数;Am表示变压器磁心的有效截面积,如果计及铁心材料的填充系数可定义为Am = kf Ac,其中Ac表示变压器磁心的几何截面积。
对方程式(1)进行磁通密度从零到最大磁通密度Bm两点的积分,得

式中,<u>表示绕组两端电压在时间τ内的平均值。
定义系数k为绕组两端电压有效值Vrms与平均值<u>的比值,即

将式(2)代入式(3),得

方程式(4)即为用于变压器设计的经典电压方程。其中,f = 1/T表示电压u的频率,T表示电压u的周期;K表示波形系数,由系数k、τ和T确定。很明显,如果u是正弦波形,则K = 4.44;如果是方波波形,则K = 4.0。
(2)功率方程。将方程式(4)代入变压器的每个绕组,则具有n个绕组的变压器的所有绕组的电压、电流乘积UI之和为

令ku为变压器铁心窗口利用系数,即所有绕组导体有效导电面积之和Wc与铁心整个窗口面积Wa之比。即

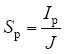
设定变压器每一个绕组导线的电流密度为Ji,则Ji = Ii/Awi。其中,Awi为第i绕组导线的截面积。
一般情况下,将绕组导线的裸导体面积作为绕组导线的截面积。但是如果计及在交变磁场下由涡流引起的导体中的趋肤效应和导体之间的邻近效应,则导体的电阻将增大或导体的有效截面积将减小。设ks为趋肤效应系数,即表征由于趋肤效应导致的导体电阻增大(或导体有效截面积减小)的系数。同理,kx为邻近效应系数。则


设kb为所有绕组裸导体面积之和与铁心整个窗口面积Wa的比值,则

将式(9)代入式(6),得

假设每个绕组导体中的电流密度J相同,将式(5)和式(6)合并,得

定义Ap为变压器铁心的截面积和窗口面积的乘积(简称磁心面积乘积),即Ap = AcWa,则

由式(11)可见,Ap表征了变压器铁心几何尺寸与由其构成的变压器视在功率之间的关系。
(3)绕组损耗。变压器绕组的铜耗可表示为

式中,ρw和lav分别表示绕组导体的电阻率和每匝绕组的平均长度。则绕组的体积为Vw = lav·Wa,绕组导体的有效导电体积为Vwku,则

(4)铁心损耗。磁性材料的损耗参数一般由W/kg给定,即

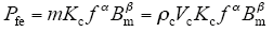
式中,m表示铁心质量(kg),且m = ρcVc,ρc和Vc分别表示铁心材料的密度和体积;Kc、α和β分别是铁心材料手册给定的损耗常数。
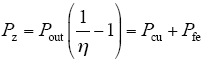
(5)热方程。变压器的总损耗等于绕组铜耗和铁心损耗之和,需要通过变压器的表面散发。散热方程为

式中,Pz表示变压器总损耗;ΔT和At表示变压器的温升和表面积;h为散热系数。另外,hAt的倒数为热阻Rθ,即

大功率高频高压变压器一般采用油冷,因此热阻应分两方面考虑:一方面是变压器铁心最热点到油箱的热阻;另一方面是变压器油箱到环境的的热阻。变压器铁心最热点到油箱的散热过程的核算,主要是保证在变压器开始运行阶段变压器铁心不过热,而变压器油箱到环境的散热过程的核算,主要是保证变压器稳定运行后(热平衡状态下)保证变压器温升符合要求。
值得注意的是,变压器铁心最热点到油箱的散热主要由油对流散热完成,变压器油箱到环境的散热除了对流散热外,还有辐射散热。具体设计跟变压器的几何结构、绝缘材料导热性质有关,一般采用经验公式估算和实验验证双重设计方法。
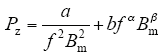
(6)最大效率方程。将式(11)代入式(13),消去电流密度J,得

由式(14)得

则总损耗Pz为

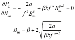
若使变压器的效率最大,必须从两方面考虑:
1)给定频率f,将方程式(19)对磁通密度Bm求偏导并使其等于0,得

当满足式(21)时,变压器损耗最小,即变压器效率最高。即

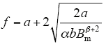
如果根据式(20)求出的Bm>Bsat(饱和磁通密度),则Bm应取略小于Bsat的值,此时变压器损耗只能接近最小损耗。如果根据式(20)求出的Bm<Bsat,此时变压器损耗即可设计到最小损耗值。
2)给定磁通密度Bm,将方程式(19)对频率f求偏导并使其等于0,则

最小损耗方程为

在实际变压器设计中,通常先假设Bm = Bsat = B0,依据式(22)求得f = f0。如果待研制变压器的工作频率fw>f0,则在频率fw条件下依据式(20)求得Bm。如果待研制变压器的工作频率fw<f0,则更换变压器铁心的磁性材料。
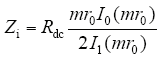
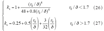
(7)趋肤效应和邻近效应。趋肤效应是流过绝缘导线的高频电流产生交变磁场,交变磁场在该导体中引起涡流,涡流引起自身导体电流分布趋于导体表面的现象。根据文献[5],一个半径为r0的圆导体的内阻抗为

式中,I0和I1为第一类修改Bessel函数。圆导线的交流电阻为Zi的实部,内感抗为Zi的虚部。m = (1+j)/δ,j为复数运算子,j = $\sqrt{-1}$;δ为趋肤效应穿透深度,且

式中,μ为导体的磁导率。
将式(24)作适当简化,则式(7)所表示的趋肤效应系数ks可表示为

由上式可见,当r0/δ = 1时,载流导线的趋肤效应可忽略不计。
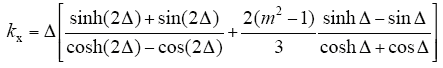
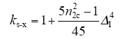
邻近效应是流过绝缘导线的高频电流产生交变磁场,交变磁场在相邻导体中感应出涡流进而导致电流密度增加的现象。对于m层导体,根据参考文献[6]可得邻近效应系数kx为

式中,Δ = dp/δ,dp为铜箔厚度,当导体为圆导线时,dp = 0.886(2r0)。
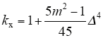
式(28)化简[7]后得

由上式可见,邻近效应不但跟绕组导线的粗细尺寸有关,而且跟绕组导线的层数有关。
3.2 高压绝缘[8]
(1)变压器的骨架。骨架在变压器中起支撑线圈、铁心、电路绝缘和外电路进行电路连接的作用,同时承担各绕组与铁心之间的绝缘任务。
(2)绝缘组成。变压器的绝缘系统主要由三部分组成,分别是线圈间绝缘(包括匝间、层间、线包间和绕组间的绝缘),绕组与铁心间的绝缘,整体绝缘。
(3)绝缘材料。绝缘材料主要分纸类、塑料薄膜类、板材类、塑料制品类和浸渍填充类。在大功率高频高压变压器中,匝间、层间、线包间和绕组间的绝缘材料一般采用电缆纸和纸板的组合结构,骨架采用电胶木和环氧板的组合结构,整体绝缘采用变压器油进行真空浸渍填充。另外,在选择变压器绝缘材料时,要特别注意各类绝缘材料的绝缘(耐温)等级配合问题。
(4)绝缘设计。变压器的绝缘结构,由内到外主要有内层绝缘、绕组层间绝缘、绕组间的绝缘、线包外层绝缘、端空、浸渍等。
对于大功率高频高压变压器,由于其高频高压特性,除了进行上述绝缘设计外,还需特殊处理:
1)由于变压器内电场强度高,不能用普通绝缘漆浸渍,否则将增加整体绝缘劣化速度。一般采用真空注油工艺。
2)变压器的绝缘结构要充分考虑油路畅通,以利于变压器散热,防止局部过热现象。
3)由于高压线圈电压高,因此高压线圈需要分线包绕制和绝缘处理。
4)由于一、二次电压差大,因此要防止一、二次侧的爬电,特别是端空位置。
5)由于超微晶的易碎性,需要对铁心进行包扎密封处理,防止铁心碎片散落到变压器油中,导致油路中产生小桥击穿现象。另外要对铁心支架进行适当压力缓冲处理,以防在安装运输过程中导致铁心损坏。
4 基于变压器绝缘结构的大功率高频高压变压器的优化设计方法
(1)变压器的基本设计条件。变压器的基本设计条件主要包括电路形式(是单极性还是双极性)、工作频率f、开关管导通时间(占空比)、一次电压Up、二次电压Us、二次电流Is、整流电路形式、是否采用隔离电位、漏感和分布电容的大小、工作环境等。
设变压器效率为η,则变压器的一次电流Ip为

式中,Pout表示变压器的输出功率,且

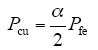
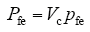
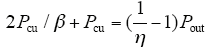
(2)损耗分配。根据变压器的效率计算变压器的总损耗Pz,并且总损耗等于变压器的铜耗Pcu和铁耗Pfe之和。即

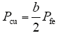
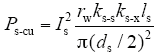
根据式(21)分配铜耗Pcu和铁耗Pfe。即Pcu = Pfeb/2。变压器的铜耗等于变压器一次绕组铜耗Pp-cu与二次绕组铜耗Ps-cu之和,即

(3)一次绕组计算。根据式(25)计算趋肤效应穿透深度δ,结合式(26)和式(29)确定一次绕组铜箔厚度dp。一般条件下,一、二次绕组应采用厚度(或直径)小于2倍趋肤效应穿透深度[7]的铜箔(或圆导线)。
确定电流密度J,一般电流密度J取2~3A/mm2。根据一次电流Ip、一次绕组铜箔厚度dp和电流密度J,可得


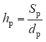
式中,Sp和hp分别为变压器一次绕组铜箔截面积和高度。
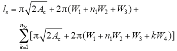
设定代表一次绕组长度为lp,则

设定代表变压器一次绕组匝数为n1,由式(26)和式(29)得


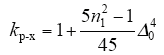
式中,kp-s和kp-x分别为一次绕组的趋肤效应系数和邻近效应系数,r0 = dp/1.772,Δ0 = dp/δ。
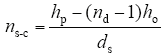
(4)变压器磁心计算。根据变压器铁心损耗Pfe和铁心材料的损耗参数pfe = ρcKc f αBmβ(pfe为磁心材料单位体积的铁损)计算变压器所需磁心材料的体积Vc为

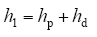
根据变压器二次电压Us确定变压器绕组端绝缘的高度hd。则铁心窗口高度h1为

设定磁心截面积Ac,则变压器磁心的有效截面积Am为Am = kf Ac。
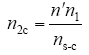
(5)二次绕组计算。计算匝比n得

注意:按上式计算匝比时,要留有适当的余量,如要考虑变压器的漏感压降和整流硅堆的管压降等。
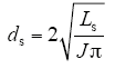
计算二次绕组导线直径ds为

根据式(26)、式(29)和趋肤效应穿透深度,确定二次绕组导线直径,并选择线规。
设定变压器二次绕组长度为ls,则



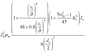
式中,ks-s和ks-x分别为二次绕组的趋肤效应系数和邻近效应系数,r1 = ds/2,Δ1 = ds/δ,n2c为二次绕组层数。
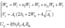
(6)绝缘设计。变压器的绝缘设计要以电场强度和绝缘材料的抗电性能为依据,并且必须充分考虑所设计的绝缘结构利于散热。根据相邻带电导体之间的电位差和绝缘材料的抗电性能,确定一次绕组到铁心的绝缘距离W1,一次绕组每层厚度(包括绝缘距离)W2,变压器一、二次侧绝缘距离W3,二次绕组(高压)线包段数nd和段间油道高度ho,二次绕组每层厚度(包括层间绝缘)W4,二次绕组最外层到地(铁心或油箱)的绝缘距离W5。在二次绕组跟一次绕组同高的条件下,可得二次绕组每层匝数ns-c为

同时二次绕组层数n2c为

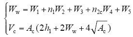
设定铁心窗口宽度为Ww。考虑式(39)可在一定体积的磁心材料和高压绝缘结构的条件下,变压器的几何结构方程组(一般超微晶铁心材料的截面积为方形)可表述如下

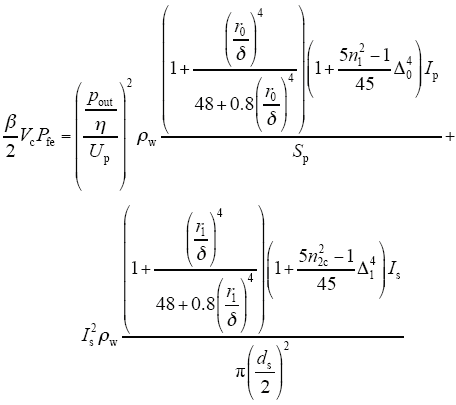
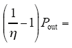
(7)优化方程。将式(30)代入式(36),将式(36)、式(43)、式(37)、式(38)、式(44)、式(45)代入方程式(33)得


其中


由式(39)可得变压器的铁耗为

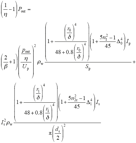
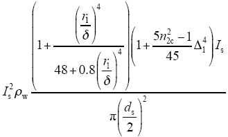
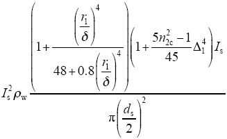
将方程式(49)和式(52)代入式(21)得

另外

式中,Bm为厂家提供(或自测)的磁性材料参数表中pfe对应的磁通密度值。
由式(21)和式(32)得

将式(49)代入式(55)得

将方程式(53)、式(54)、式(56)和变压器的结构方程组式(48)联立得






方程组式(57)中有五个方程五个未知数Ac、Ww、Vc、n1和η,方程易解。该方程组基于变压器的最小损耗公式对变压器的绝缘结构和铁心形状尺寸进行了优化,并且充分考虑了变压器的高频特性。
另外,根据需要可进行相应的分布参数核算和温升计算。
本优化方法的核心优化模块逻辑结构,如下图所示。它的特点是充分考虑了变压器的高压特性和高频特性,基于变压器的绝缘需求(并考虑散热油道)对变压器铁心的几何尺寸和变压器绕组(包括绝缘结构)进行了优化。优化出发点是依据变压器的最小损耗公式对变压器的绕组铜耗和铁心损耗进行了分配,达到变压器效率、绝缘和散热方面的最优设计目的。
图1
5 结束语
基于本文提出的优化设计方法在进行变压器设计时可以显著减少迭代步骤,容易寻找最优解。本设计方法是假定一次绕组每匝只有一层铜箔(即并联根数为1)的情况,这符合高频高压变压器的一般结构特点。因为高压变压器的绝缘距离本来就大,为了不进一步增加漏感,所以设计时尽量减少绕组径向厚度而增加绕组轴向高度。当然本设计方法也可用于多根并联的情况,由于高频高压变压器一般不会超过三根并联,所以只要增加三次迭代计算即可(即分别设定一次绕组是1层铜箔、2层铜箔并联或3层铜箔并联)。
参考文献
Optimized transformer design:inclusive of high-frequency effects
[J].DOI:10.1109/TPEL.63 URL [本文引用: 1]
Fields and waves in communications electronics
[M].
Effects of eddy currents in transformer windings
[J].
Soft ferrites properties and applications
[M].
/
| 〈 |
|
〉 |