爪极发电机转子磁极间铜焊降低电磁激振力波研究
Reducing Exciting Force Waves of Claw Pole Alternator with Copper Welding Rotor Poles
收稿日期: 2015-10-30 网络出版日期: 2016-06-25
| 基金资助: |
|
Received: 2015-10-30 Online: 2016-06-25
作者简介 About authors
鲍晓华 男 1972年生,教授,研究方向为特种电机与电机优化设计。
李佳庆 男 1989年生,硕士,研究方向为新型电机与特种电机。
爪极发电机作为汽车上用电器的电源系统,其振动噪声问题,特别是电磁振动噪声受到广泛关注。电机定转子间的气隙磁场产生的径向电磁力波作用在定子铁心上,使定子铁心发生振动,向周边辐射电磁噪声。根据电磁场理论,在保证发电机稳定输出的前提下,提出了用铜焊连接转子磁极,以减小磁极的离心变形,达到降低发电机电磁噪声的目的。通过试验验证了本文所提出的削弱电磁振动力波方法的有效性。
关键词:
As the power supply system for automobile electric appliance, claw pole alternator’s vibration and noise problems, especially the electromagnetic vibration and noise began to receive widespread attention. The radial electromagnetic force waves generated by the air gap magnetic field acts on the stator core, and makes stator core vibrate and then radiate noise to the surrounding. Based on the theory of electromagnetic field, the method based on brazing poles to reduce the centrifugal distortion and electromagnetic noise through fastening claw poles is put forward. An experiment platform is designed and the effectiveness of the proposed denoising methods is verified.
Keywords:
本文引用格式
鲍晓华, 李佳庆, 魏琼, 杨帆, 唐奎.
Bao Xiaohua.
1 引言
汽车用爪极发电机是一种在转子上有着特殊磁极结构的三相凸极同步发电机,用来为汽车上的蓄电池充电,并在汽车发动机运转时作为电源为汽车上的用电器供电。爪极发电机的转子磁极采用鸟嘴型结构,从发电机的轴向看去,磁极的一端(极尖)为窄且薄,同一个磁极的另一端(极跟)则是宽且厚。相邻的两个磁极相互交错,从整体上呈现为相互咬合的鸟爪形。爪极发电机转子磁极的鸟嘴型特殊结构使得电机整体的磁路结构变得非常复杂,磁场的分布情况呈现特殊的空间三维特性。人们对乘坐汽车时的感观舒适性要求与日俱增,汽车爪极发电机的NVH性能也就越来越为人所关注。由于汽车发电机的架设位置靠近驾驶室,其发出的噪声对车内舒适性有很大影响。汽车发动机本身的物理特性使得它在运转时的噪声较大,因此爪极发电机的噪声难以被乘用人员察觉。但是在某些特定的工作状态下,爪极发电机的噪声会比较明显,给乘用人员带来不适。城市交通状况决定了汽车在大多数情况下都是在中低速以及起停状态下运行,导致汽车发电机多处于低速以及怠速状态。汽车发电机在此状态下的噪声频段恰好是人耳的敏感频率,人体对此频段噪声反应最大,因此汽车用爪极发电机的噪声问题备受关注。
电磁噪声问题是一个多学科交叉的问题,涉及到电磁学、结构动力学、声学等学科。国内外学者对电机电磁噪声的研究方法普遍采用理论推导法、数值仿真法以及实验法。文献[1]建立了爪极汽车发电机电磁噪声的计算模型,并通过实验论证不同相数的爪极发电机电磁噪声的主要阶数。文献[2]提出异步电机的径向电磁力波进行解析计算,并与三维有限元分析软件的仿真结果进行对比验证,充分论证解析法的简便可靠性。文献[3]针对笼型异步电动机的电磁振动噪声进行研究,建立笼型异步电动机的场路耦合时步有限元模型,通过定子相电流仿真波形和实测波形的谐波对比验证了电磁力波计算方法的有效性。文献[4]研究了一般异步电机电磁噪声的产生机理,并从多个方面考虑,提出了若干降噪的方法。文献[5]针对变频器供电的感应电机,利用PWM控制策略调节电源谐波性能,达到降低噪声的目的。文献[6]分析了三角载波电源在永磁同步电机电磁噪声控制方面的作用。文献[7]研究了永磁电机极槽配合对电磁振动噪声的影响,并以此提出了一种降低永磁电机电磁噪声的方法。文献[8]对定子齿不均匀分布的表贴式永磁电机的齿槽转矩进行了研究,气隙磁场的切向电磁力对电磁噪声也有影响。文献[9,10]利用数值方法计算了永磁电机的气隙磁场,考虑转子偏心对永磁电机电磁振动噪声的影响。文献[11,12]利用三维有限元方法建立了爪极发电机的数学模型,分析了爪极发电机的感应电动势谐波以及气隙磁场谐波的影响,并提出基于爪极发电机的爪极尺寸变化的优化方法,对汽车爪极发电机的输出性能进行了优化提高。文献[13]基于统计能量法预测了爪极发电机的电磁噪声,考虑了电磁激振力对定子模态的影响。当前针对电机的电磁噪声的研究多利用有限元计算,分析对象以永磁电机和感应电机为主,很少有充分考虑爪极发电机的电磁噪声产生机理以及针对性的降噪措施。
本课题根据汽车用爪极发电机爪极转子的特殊性,依据有限元理论,建立了汽车爪极发电机的三维有限元模型。根据电磁场的基本理论,对爪极发电机的电磁振动机理进行分析,采用有限元仿真软件计算了电磁激振力波。从电磁以及物理结构方面着手,提出了一种降低汽车用爪极发电机电磁振动噪声的方法。
2 爪极发电机电磁激振力波计算
发电机的电磁源振动噪声是由发电机的电磁场产生的。电机的定子与转子都会在气隙中产生磁密波。定转子磁密波相互作用会产生磁力波,磁力波径向作用在定子内表面及转子的外表面,造成定子及转子的形变,形变产生振动与噪声。定转子槽配合、绕组分布形式、输入电流的波形失真、气隙磁导波动、转子偏心、相位不平衡等都会造成机械形变和振动。磁动势的空间谐波、时间谐波、齿谐波、偏心谐波、饱和谐波等会产生寄生高次谐波力与转矩。径向力波作用在定子及转子上还会使磁路发生变形。
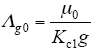
爪极发电机是由转子绕组通直流电励磁的,空载时爪极发电机气隙磁动势仅由转子励磁磁动势产生,此时气隙磁动势为

式中,μ为μ/p磁动势谐波的极对数,此处把电枢周长为2pτ的2极波作为基准波,则基波相当于p次波,令其为主波,则各次谐波的次数相应增加p倍,即谐波的次数等于其极对数,故μ也是磁动势谐波的次数;ω1为基波磁动势的角频率。由于爪极发电机磁极结构有对称性,因此谐波分量不含偶次谐波。经傅里叶分解可知,μ为奇数,μ = (2k + 1)p,k为整数。Fμ为考虑了爪极转子凸极影响的μ次谐波磁动势的幅值。
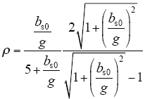
若仅考虑定子侧有齿槽,转子表面光滑时,爪极发电机的气隙磁导可以表示为

式中, 


k次谐波磁导的表达式为

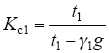
式中,kok为槽开口系数;t1为定子槽距;bs0为定子槽口宽。且

式中,ρ为槽开口辅助系数,且

同理,转子开槽而定子光滑时的气隙磁导为

式中,m为谐波次数;Z2是转子槽数;ω为转子角频率。
谐波磁导幅值为

电机定转子同时开槽时的气隙磁密为

式(10)第一项表示气隙磁导的恒定部分;第二项表示定子谐波磁导;第三项表示转子谐波磁导;第四项表示定转子相互影响下的谐波磁导。
对于爪极发电机,其不仅仅是定、转子开槽。由于爪极转子的特性,应将转子视为开有斜槽。对于爪极发电机来说,由于爪极磁极在定子内圆上的投影为梯形,也就是说爪极转子斜槽是对称斜槽交错分布,如图1所示。
图1

式中,bsk为斜槽的扭斜宽度。对于爪极发电机的转子而言,其齿距就是相邻磁极的极间距。因此,爪极发电机的气隙磁导可以写成

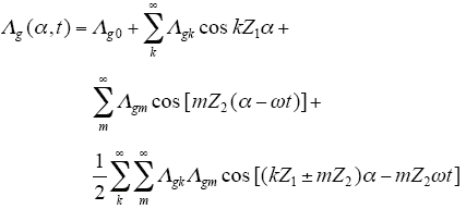
由前述分析可知,爪极发电机的气隙磁密为


式(13)中,第一部分的 



由于电机铁心硅钢片的磁导率远大于气隙空气磁导率,气隙中磁力线几乎是垂直进入定子和转子的铁心中,因此,电机气隙磁密的切向分量远小于气隙磁密的法向分量。对于气隙磁密的法向分量,其计算可以直接用前述的计算式求得。即

由上式可知,爪极发电机气隙磁场产生的径向电磁力波的幅值大小与气隙磁场磁密值的平方成正比。由此可知,电磁场径向电磁力波的基波频率应为磁场基波频率的2倍。
将上式展开,可得爪极发电机的径向电磁力波为

式(15)中,分项①~分项④为一类,其由气隙磁密的基波产生;分项⑤~分项⑧为一类,其由开槽引起的气隙磁场齿谐波产生;分项⑨由气隙磁场基波与齿谐波共同作用产生。各分项的力波频率和阶数见表1。
表1 爪极发电机径向电磁力波频率与阶数分布
Tab.1
| 分项 | 力波频率 | 力波阶数 |
|---|---|---|
| ① | 2μf | 2μp |
| ② | (μ2±μ1)f | (μ2±μ1)p |
| ③ | 2μf | 2μp |
| ④ | 2μf | 2μp |
| ⑤ | 2μf | 2μp±(k2±k1)Z1 |
| ⑥ | (μ2±μ1)f | (μ2±μ1)p±2kZ1 |
| ⑦ | (μ2±μ1)f | (μ2±μ1)p |
| ⑧ | (μ2±μ1)f | (μ2±μ1)p±(k2±k1)Z1 |
| ⑨ | (μ2±μ1)f | (μ2±μ1)p±kZ1 |
3 仿真计算
本文所研究的常规汽车发电机模型的规格为14V/1kW,额定转速为6 000r/min,主要参数见表2。
表2 爪极汽车发电机样机参数
Tab.2
| 参 数 | 数 值 |
|---|---|
| 额定功率因数 | 0.6 |
| 极对数 | 6 |
| 定子槽数 | 36 |
| 定子外径/mm | 115 |
| 定子内径/mm | 90.2 |
| 气隙长度/mm | 0.3 |
| 极轭直径/mm | 45.6 |
| 磁极长度/mm | 27.2 |
在气隙圆周的中心处沿着圆周方向作一条曲线,即可得到气隙磁场沿气隙圆周方向的空间分布。取该线上的一点,可得气隙磁场沿气隙圆周方向的时间分布。
图2所示为爪极发电机定子的空载磁密云图,可以看到,由于爪极发电机转子磁极的特殊形状,发电机定子齿上的磁密产生了类似于斜槽的弱值区。
图2
图2
爪极发电机空载时的定子磁密云图
Fig.2
The cloud diagram of stator magnetic of claw pole alternator with no-load
图3
图3
爪极发电机空载下的气隙磁密波形
Fig.3
The air-gap flux density waveform of claw-pole alternator with no-load
图4
图4
爪极发电机负载下的气隙磁密波形
Fig.4
The air-gap flux density waveform of claw-pole alternator with load
图5
图6
图7
图8
负载时的气隙磁场与空载下相比,基波幅值有所降低,低次谐波分量的幅值相对增大。负载下气隙磁密由于电枢反应,导致气隙磁密波形在最高峰处下降,整体波形也会产生畸变。
得到气隙磁场分布后,按照麦克斯韦应力张量法,即可得到径向电磁力的分布情况。图9所示为空载时的径向电磁力波的空间分布。可以看到,爪极投影覆盖下的定子齿上受到的径向电磁力较大,爪极磁极间空气隙处对应的径向电磁力幅值较小,其分布情况与气隙磁密的空间分布规律类似。
图9
为减小爪极发电机转子极臂的离心颤动,可以采用爪极间焊铜加固的方式。在无刷爪极发电机中爪极发电机的两瓣爪盘就是通过铜块的焊接连接起来。由于铜不是磁性材料,所以可以利用焊接技术将铜焊在转子爪极之间,即将N、S磁极通过铜块连接起来,如图10所示。加铜焊后可以有效抑制爪极的径向离心颤动。采用铜焊时铜块的体积不宜过大,太大的铜块会增加转子质量,并提高成本;也不可过小,铜块太薄会使得焊接作用不明显,甚至有可能导致虚焊,在爪极发电机高速运转时有可能将焊接不牢的铜块甩出,导致不必要的故障及损失。正常的焊接铜块尺寸应是沿着转子周向能覆盖爪极磁极间距、轴向长度为10~15mm,径向厚度为5~8mm。本文采用的铜焊尺寸为径向厚度8mm,轴向长度为12mm。
图10
图11所示为爪极发电机转子爪极间焊铜后的输出电流。可以看到,爪极磁极用铜焊连接后,输出的电流并没有受到影响,由此认为爪极铜焊对于电机的输出性能几乎没有改变。此方法的优点是爪极相邻磁极间用铜焊连接后,爪极的极尖振动形态有了较大的变化,在轴向上的变形变得不均匀。对于用铜块焊接在一起的一对极,极尖远离铜块侧的区域变形量比靠近铜块侧的区域要大得多。
图11
图11
爪极发电机转子爪极间焊铜后的输出电流
Fig.11
The output current of claw-pole alternator with the brazing poles
图12
图13
图13
转子磁极采用铜焊加固后的各阶振型
Fig.13
The vibration types of claw-pole rotor with brazing poles
前四阶的最大变形量显著下降,减小最多的是1阶模态,其变形量下降了58.6%。而转子的固有频率增大后,改变了转子固有频率和电磁力波频率的耦合特性,对于爪极转子高速旋转时的极尖变形有更好的抑制作用。
4 试验验证
整个试验系统由电源系统、驱动部分、传动部分、样机、信号分析仪、振动传感器组成。根据试验系统设计的方案,结合工程实际,对各项设备与器材进行加工组装后,完成的试验系统如图14所示。图中,驱动部分为直流电动机,通过两个直径不同的皮带轮盘实现转换的转速,来带动爪极发电机的旋转;传动部分是由皮带轮通过铰链与爪极发电机的轴伸相连接,应用铰链连接可以充分减小驱动机以及皮带轮的振动对样机测试的影响;电源系统分别供给直流电动机的电源及励磁电流,以及爪极发电机的励磁电流;信号分析仪连接振动传感器,以分析振动信号。整个试验平台由刚性平台支撑。
图14
在本次振动试验中,待测爪极发电机样机处于空载状态。进行振动试验前,需要验证样机为合格品,以保证振动试验中所测得的结果的有效性。
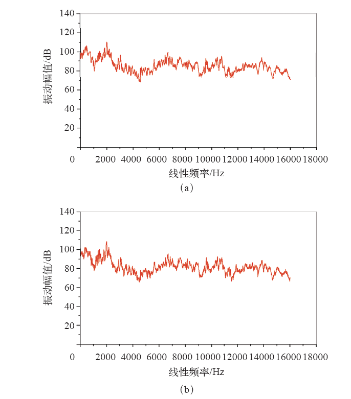
图15
分析振动频谱图可知,普通爪极汽车发电机的主要阶次的振动幅值在91.4~110.3dB之间,分别对应不同主要阶次的振动频率。而高频区域的振动响应趋于平稳,对振动的影响较小。安装夹具对振动响应也有一定的影响,会降低某些高次谐波产生的振动。对铜焊连接的爪极发电机,振动响应试验结果如图16所示。
图16
图16
铜焊连接的爪极发电机振动频谱
Fig.16
Vibration spectrum of claw-pole alternator with brazing poles
综合仿真与实验测试结果可知,采用铜焊连接后,爪极发电机转子低阶振型的固有频率相比普通爪极发电机有明显的提升,因此振动频谱的峰值分别为2 016Hz和2 000Hz,与普通爪极发电机相比,高频区域的振动响应值稍大,但整体频率更高,主要阶次的电机振动幅值也减少,使得总体上产生的电磁振动比普通爪极发电机要小。
5 结束语
本文针对汽车用爪极发电机的电磁振动噪声问题,分析推导了考虑转子爪极特殊形状的气隙磁场与径向电磁力波,分析了爪极发电机电磁振动的产生机理,从抑制转子磁极形变的角度出发,提出了用非磁性材料铜块焊接爪极磁极来降低爪极发电机电磁激振力波的方法,并用实验验证了此方法的可靠性。
参考文献
Noise generation mechanisms in claw pole alternators
[J].
异步电机径向电磁力的分析
[J].
Radial electromagnetic radial force analysis in induction motors
[J].
笼型异步电动机径向电磁力波的有限元计算
[J].建立笼型异步电动机的场路耦合时步有限元模型, 通过定子相电流仿真波形和实测波形的谐波比较验证有效性。基于该模型计算气隙磁通密度, 进而利用经典的Maxwell应力张量法计算径向电磁力。气隙磁通密度和径向电磁力均随空间和时间变化, 利用二维傅里叶分析分别求解它们的谐波;并探讨齿槽和转差率对磁通密度和径向电磁力的影响, 以及磁通密度波和径向电磁力波之间的关系。将径向电磁力波和实测电磁噪声频谱进行了分析和对比, 结果表明径向电磁力波的计算是合理有效的。利用本文方法计算的径向电磁力及其谐波可应用于在设计阶段对电磁噪声的分析。
Finite element calculation of radial electromagnetic force wave in squirrel-cage asynchronous motors
[J].建立笼型异步电动机的场路耦合时步有限元模型, 通过定子相电流仿真波形和实测波形的谐波比较验证有效性。基于该模型计算气隙磁通密度, 进而利用经典的Maxwell应力张量法计算径向电磁力。气隙磁通密度和径向电磁力均随空间和时间变化, 利用二维傅里叶分析分别求解它们的谐波;并探讨齿槽和转差率对磁通密度和径向电磁力的影响, 以及磁通密度波和径向电磁力波之间的关系。将径向电磁力波和实测电磁噪声频谱进行了分析和对比, 结果表明径向电磁力波的计算是合理有效的。利用本文方法计算的径向电磁力及其谐波可应用于在设计阶段对电磁噪声的分析。
变频器供电对永磁电机振动噪声源的影响研究
[J].
Study on source of vibration and acoustic noise of permanent magnet machines by inverter
[J].
Reducing acoustic noise radiatedby inverter-fed induction motors controlled by a new PWM strategy
[J].DOI:10.1109/TIE.2009.2031185 URL [本文引用: 1]
Analysis of triangular periodic carrier frequency modulation on reducing electromagnetic noise of permanent magnet synchronous motor
[J].
DOI:10.1109/TMAG.2012.2195643
URL
[本文引用: 1]
This paper introduces a simple approach to reduce the electromagnetic noise of permanentmagnet synchronousmotor (PMSM) driven by pulse width modulation (PWM) supply. Alleviating the PMSM electromagnetic noise has become an important demand due to demanding requirement on human life environment. The PMSM electromagnetic noise concentrated at multiples of switching frequency results from the concentrative current harmonic. Triangular periodic carrier frequency modulation (PCFM) is introduced to alleviate the PMSM current harmonic and electromagnetic noise in this paper. The principle of triangular PCFM in reducing PMSM current harmonic and electromagnetic noise is analyzed. The impact of modulation frequency ratio on reducing PMSM electromagnetic noise is investigated. Simulations and experiments of PMSM driven by standard PWM and triangular PCFM are implemented. The simulated and experimental results verify the disciplinarian of triangular PCFM in alleviating PMSM current harmonic and electromagnetic noise.
Effect of pole and slot combination on noise and vibration in permanent magnet synchronous motor
[J].DOI:10.1109/TMAG.20 URL [本文引用: 1]
Reducing cogging torque in surface-mounted permanent-magnet motors by nonuniformly distributed teeth method
[J].DOI:10.1109/TMAG.2011.2144612 URL [本文引用: 1]
Two-dimensional field analysis on electromagnetic vibration and noise sources in permanent-magnet direct current commutator motors
[J].DOI:10.1109/TMAG.2010.2103382 URL [本文引用: 1]
Numerical prediction of electromagnetic vibration and noise of permanent-magnet direct current commutator motors with rotor eccentricities and glue effects
[J].DOI:10.1109/TMAG.2011.2178100 URL [本文引用: 1]
Parameter analysis and optimal design for mobile claw-pole alternator
[C].
基于气隙磁场谐波分析的汽车发电机爪极优化选择
[J].
Claw size selection of automobile generator based on harmonic analysis of the air-gap magnetic field
[J].
Method for vibration prediction of claw pole alternator
[C].
/
| 〈 |
|
〉 |