输电线路工频电场的计算与测量研究
Research on Calculation and Measurement of Power Frequency Electric Field for Transmission Line
收稿日期: 2016-01-7 网络出版日期: 2016-05-25
Received: 2016-01-7 Online: 2016-05-25
作者简介 About authors
陈 昊 男 1980年生,博士,教授级高工,从事电力系统分析研究。
朱 超 男 1987年生,博士,工程师,从事电力系统运行研究。
高压输电线路周围的电场强度的准确计算和精确测量,对工业生产和人民生活有着重要意义。输电线路具有极弱的电磁波发射特性和周围场强随距离线路的增加而迅速减小的特征,使得工频电场的接收与测量难度较高。通过对线路周围电场的近场区建模,提出一种电场强度测量方法。借助于电场中导体感生电流的分析计算,完成工频电场强度检测装置的设计及试验测试。实验结果验证了该方法的有效性,为实际工程应用的电场强度测量提供一套便捷的实现方法。
关键词:
Accurate calculation of electric field intensity around the high voltage transmission line is of great significance to industrial production and people's life. Transmission line has a very weak electromagnetic wave transmission characteristics and the surrounding field strength with the increase of the distance, which is difficult to receive and measure the electric field. Modelling near field of the electric field around the transmission line, a measurement method of electric field intensity is presented. By analyzing the induced current on the conductor in the electric field, the power frequency electric field intensity measuring devices is designed and tested. The experimental results verify the efficiency of this method, and provide a simple and practical method to measure electric field intensity in practice.
Keywords:
本文引用格式
陈昊, 朱超, 李义峰, 徐懂理.
Chen Hao.
1 引言
2 工频电场的特征及计算模型
输电线路中电压与电流的频率为工频50Hz,对应的波长λ为6 000km,根据天线理论,发射天线的物理尺寸只有达到或接近(1/4)λ,才能使得电磁波空间发射能力最强,而实际上在一条高压输电线路均远小于此尺度。输电线路向周围的电磁波发射能力极弱,稍远距离的电磁场强度几乎检测不到。对于距输电线路数米或数百米的距离r处而言, 
(1)似稳场。即区内电磁场与场源(导线处)的相位差异小到可以忽略的程度,基本没有空间移动特征,不呈现向空间传送电磁波的现象。
(2)准静态场。即区内电场与磁场的特征与静态场几乎完全相同,可用静态场来求解,电场与磁场基本相互独立。
(3)感应场。即区内磁场随距离呈1/r2的规律,电场以1/r3的规律迅速衰减,电磁辐射能量极小。
线路附近工频电场强度的计算属于电磁场正问题的数值计算与分析,即在相对固定的电磁场的计算区域,依激励源的特性,求其场域中场量随时间、空间分布的规律(场分布),从而得出与电源的距离。宏观的电磁现象的基本规律可以用麦克斯韦方程组表示。通过求解该方程组来解决电场、磁场的计算问题。
对于架空线路来说,产生交变电磁场的源为线路中的电流,属工频正弦激励,此时在线性媒质、正弦激励且稳态条件下,一般形式的麦克斯韦方程组可归结为不显含时间的复相量表示形式。工频环境下麦克斯韦方程组可以写成相量形式

式中,以相量形式表征的各场量和源量均仅为空间坐标的函数,其模值为相应正弦量的有效值。例如,实际的时变电场E(t)可由电场复相量$\dot{E}$在时域表示为

同时有

式中,ex、ez分别为坐标系统中的水平和垂直方向的单位矢量;Ex、Ez为电场复相量$\dot{E}$在三维坐标系中3个坐标轴上的投影。


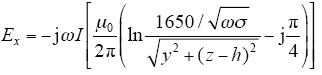
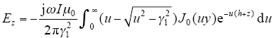
式中,y为电力线对地投影到观测点的距离;I为电力线中的交变电流;h为输电线平均架设高度;z为观测点高度; 
3 工频电场的检测
3.1 工频电场中的导体
线路近场区电场具有准静态场的特征,区别在于按照工频频率缓慢变化,这里借助静电场来完成近场区工频电场的分析。
静电场中的导体需处于静电平衡状态。导体中的电荷受静电场的影响产生静电感应而重新分布,达到平衡,导体内任何一点都要达到电场强度为零。
有鉴于此,处于工频电场中的导体内部的电荷也将受到工频电场的影响达到所谓的静电平衡,在导体表面沿电场线方向进行正负电荷的重新分布而达到内部电场为零,由于工频电场强度随时间变化,电场强度值按cos (ωt)的三角函数规律变化,导致导体表面分布的正负电荷也按此三角函数随时间的变换而缓慢变化。导体中电荷左右移动,产生感生的交变电流。此电流的变化频率反映了电场强度的变化频率,电流的大小反映了电场强度的大小,通过检测工频电场中导体的感生电流可以计算出该导体与场源的位置关系,进而测定出测量点与带电体的距离。
3.2 检测元件的感生电流与场强的关系
采用10mm×10mm×0.2mm的薄铜片作为检测元件,将铜片沿电力线经线方向放置在缓慢变化的工频电场中。铜片将分别在近电力线和远电力线的两侧10mm×0.2mm的面积上受电场影响分布变化的正负电荷,电荷数量随时间进行工频变化,电荷密度分别为σ(t)和-σ(t),其中

因此产生的感生电流为

将此感生电流通过特定的信号处理电路进行拾取和处理,可计算出检测元件位置处的电场强度,进一步根据线路周围电场强度的计算与比对,得出检测点与线路的距离。
4 工频电场检测装置的设计实现
高压工频电场检测装置采用STC12C5A60S2系列单片机,该单片机内部集成了一个8路A–D转换器,由A–D转换器对反映工频电场强度大小的正弦电压信号进行采样。装置功能原理框图如图1所示。
图1
电场传感器即前述的工频电场检测元件将在工频电场感生出的电流信号做电压取样后输入到信号处理模块,由于输电线路发射能力很低下,因此检测元件感应出的电流或电压信号极为微小,因此要进行高倍率放大,同时还要进行工频检波处理,信号处理模块主要完成工频信号的放大和处理,输出到处理器进行采样和分析处理,其中高倍率的放大处理主要采用仪用差分放大电路,如图2所示,通过选取不同电阻的阻值,可完成放大倍数的设计。考虑到检测元件的感生电流经电压取样后的范围仅0~1mV,而STC12C5A60S2单片机的A–D转换的电压范围为0~5V,为提高A–D采样分析精度并经调试测算,本装置系统中采用的放大倍数设定为4 500倍。
图2
5 实验室测试与现场试验
为了测试装置在高压强电场环境下的工作稳定性、准确度以及实际应用效果,分别将研制装置做了实验室测试与现场试验,即:实验室环境条件下检测装置测试值与理论计算值的比较试验;在500kV变电站内实际220kV电场测量值与意大利PMM8053A电磁场测量仪测量值的对比试验。
5.1 检测装置与理论计算值的比较试验
实验室中的实验原理如图3所示,借助于电场发生装置,上下极板采用2.0m×2.0m的镀锌钢板,极板间距1.2m,用于发生电场。将交流电两电极接到两大极板上使极板间产生均匀电场,利用通过变压器调节极板间的电场强度。
图3
装置位于下极板以上54cm处,实验数据见表1。从表中的6组理论计算和实际测量数据可以看出,检测装置与理论计算值基本吻合,精度小于±10%。
表1 实验室测量与计算数据
Tab.1
| 外加电压/kV | 电场强度/(kV/m) | 相对误差(%) | |
|---|---|---|---|
| 计算值 | 测量值 | ||
| 5 | 4.167 | 4.031 | -3.264 |
| 7 | 5.833 | 5.513 | -5.486 |
| 8 | 6.667 | 6.742 | 1.125 |
| 10 | 8.333 | 8.695 | 4.344 |
| 11 | 9.167 | 9.856 | 7.516 |
| 13 | 10.833 | 10.542 | -2.686 |
至此,装置测试结果在实验室环境下已可以满意,固化此时的相关参数、元件型制,完成了样机制作。考虑到电力负荷的波动性[14]和变电站现场电场分布的复杂性,还需要进行进一步的现场测试。
5.2 现场测试
在南京地区某500kV变电站220kV设备区[15]对装置样机进行了现场测试。
试验时检测装置与PMM8053A电磁场测量仪对相同测量点的电场强度先后进行测量和对比,PMM8053A电磁辐射分析仪探头为EHP—50C(在 50Hz、1kV/m 时的相对误差为0.5dB)。表2为某220kV线路测试数据和结果。
表2 某220kV线路周围电场强度测量数据
Tab.2
| 测量点 | 电场强度/(kV/m) | 相对误差(%) | |
|---|---|---|---|
| 本装置 | PMM8053A | ||
| 1 | 2.428 | 2.342 | 3.672 |
| 2 | 4.337 | 4.405 | -1.544 |
| 3 | 3.869 | 3.891 | -0.565 |
| 4 | 5.661 | 5.253 | 7.767 |
| 5 | 5.598 | 5.676 | -1.374 |
| 6 | 7.573 | 7.544 | 0.384 |
| 7 | 4.779 | 4.872 | -1.909 |
| 8 | 3.482 | 3.549 | -1.888 |
| 9 | 6.348 | 6.728 | -5.648 |
| 10 | 5.403 | 5.427 | -0.442 |
| 11 | 5.001 | 4.873 | 2.627 |
| 12 | 3.986 | 4.013 | -0.673 |
从实际的测量结果中可以看出,文中所设计的工频电场检测装置与仪表PMM8053A的测量结果最大相对误差为7.767%,12个测量点中的10个相对误差的绝对值小于5%,可以判定测量基本准确。
图4
图5
6 结论
基于输电线路麦克斯韦电磁场的近场区模型计算,导出了电场强度的理论计算方法和计算公式。根据导体在静电场中的平衡条件、工频电场的感应测量的原理和测量元件的设计,利用此方法完成了工频电场强度测量和近电预警装置设计,及实际线路周围电场强度的测量。实际对比结果表明,该方法和设计思路简单易实现,检测精度较高,便于变电检修工作实际应用,为安全生产作业提供辅助预警和安全保障。
参考文献
输电走廊工频电磁场的测量和解决方案
[J].
Electromagnetic field intensity measurement and solution for unsafe environment along transmission lines
[J].
小心触电
[J].
Caution! risk of electric shock
.[J].
输电线路工频电场分布特性与计算方法辨析
[J].
Calculation methods and distribution characteristics of power frequency electric field of transmission lines
[J].
一种基于差分传导电流原理的工频电场传感器
[J].
Power frequency electric field sensor based on the principle of difference conduction current
[J].
无电极型工频电场传感器的设计
[J].分析了电力系统中工频电场测量的技术手段和应用现状,指出现有手段的存在的问题;利用集成光学技术研制了一种基于铌酸锂晶片铁电畴反转的无电极电场传感器,该传感器内部没有金属部分,具有集成度高、对被测电场影响较小等优点;分析了传感器的设计要点,针对电力设备工频电场测试的实际需求完成传感器的参数设计,并研究相关的工艺流程;针对传感器半波电场太大的特点设计了合适的方案测试传感器的特性;根据国标GB/T12720-1991建立工频电场测试系统,并利用该系统完成传感器的工频电场标定测量实验。实验结果表明,该传感器在较大测量范围内具有较好的线性度,适合于电力系统工频电场的测量。
Design of non-electrode power frequency electric field sensor
[J].分析了电力系统中工频电场测量的技术手段和应用现状,指出现有手段的存在的问题;利用集成光学技术研制了一种基于铌酸锂晶片铁电畴反转的无电极电场传感器,该传感器内部没有金属部分,具有集成度高、对被测电场影响较小等优点;分析了传感器的设计要点,针对电力设备工频电场测试的实际需求完成传感器的参数设计,并研究相关的工艺流程;针对传感器半波电场太大的特点设计了合适的方案测试传感器的特性;根据国标GB/T12720-1991建立工频电场测试系统,并利用该系统完成传感器的工频电场标定测量实验。实验结果表明,该传感器在较大测量范围内具有较好的线性度,适合于电力系统工频电场的测量。
基于Pockels效应的大气电场测量研究
[J].
Study on atmospheric electric field measurement based on pockels effect
[J].
SLF/ELF电磁接收机研究及观测试验
[J].
DOI:10.3969/j.issn.0253-4967.2010.03.015
URL
[本文引用: 1]
大功率、人工源的超低频/极低频电磁波技术已经成为当今国际地球物理学界瞩目的一个新兴研究领域,采用此方法计算获得的地下介质电性结构具有很高的精度和稳定性,特别适用于地震预测等需要精确观测数据的研究。在中国,从20世纪90年代末开始,开展了基于大功率人工源超低频/极低频技术的方法研究,也开展了该方法在地震监测领域的应用研究,然而对于适用于地震监测应用的观测系统的研究进展比较缓慢。文中介绍了专门用于地震监测应用的超低频/极低频电磁接收机的研发,详细说明了仪器的硬件系统组成、主要技术指标及其关键技术。试验观测结果表明该仪器能满足目前0.1~300Hz频段人工源电磁信号观测的需求。
An introduction to the development of SLF/ELF electromagnetic receiver and its experimental observation
.[J].
DOI:10.3969/j.issn.0253-4967.2010.03.015
URL
[本文引用: 1]
大功率、人工源的超低频/极低频电磁波技术已经成为当今国际地球物理学界瞩目的一个新兴研究领域,采用此方法计算获得的地下介质电性结构具有很高的精度和稳定性,特别适用于地震预测等需要精确观测数据的研究。在中国,从20世纪90年代末开始,开展了基于大功率人工源超低频/极低频技术的方法研究,也开展了该方法在地震监测领域的应用研究,然而对于适用于地震监测应用的观测系统的研究进展比较缓慢。文中介绍了专门用于地震监测应用的超低频/极低频电磁接收机的研发,详细说明了仪器的硬件系统组成、主要技术指标及其关键技术。试验观测结果表明该仪器能满足目前0.1~300Hz频段人工源电磁信号观测的需求。
水平导线上交变电流产生的电场强度计算方法
[J].输电线路导线上传输工频电流、谐波电流、电晕电流和载波电流时,这些交变电流在周围空间产生交变电磁场,可能会对附近电气设施构成电磁影响,而电磁影响研究的关键之一是电场强度。研究输电线路导线上交变电流在周围空间产生交变电磁场,首先将“单导线–大地”回路产生的交变电磁场作为基本模型,多根导线产生的交变电磁场即为各单根导线产生交变电磁场的合成。基于此,介绍了水平单导线上交变电流产生的电场强度水平分量的计算方法,进而在索末菲尔德(Sommerfeld)水平偶极子场理论基础上,推导了电场强度的垂直分量,采用第2类1阶贝塞尔函数和1阶斯特鲁夫函数来表达索末菲尔德型积分,这既在理论上统一了电场强度水平分量和垂直分量的表示方式,也为数值计算提供了方法,可供工程计算参考。
An approach to calculate electric field strength resulting from AC currents flowing through horizontal infinite line
[J].输电线路导线上传输工频电流、谐波电流、电晕电流和载波电流时,这些交变电流在周围空间产生交变电磁场,可能会对附近电气设施构成电磁影响,而电磁影响研究的关键之一是电场强度。研究输电线路导线上交变电流在周围空间产生交变电磁场,首先将“单导线–大地”回路产生的交变电磁场作为基本模型,多根导线产生的交变电磁场即为各单根导线产生交变电磁场的合成。基于此,介绍了水平单导线上交变电流产生的电场强度水平分量的计算方法,进而在索末菲尔德(Sommerfeld)水平偶极子场理论基础上,推导了电场强度的垂直分量,采用第2类1阶贝塞尔函数和1阶斯特鲁夫函数来表达索末菲尔德型积分,这既在理论上统一了电场强度水平分量和垂直分量的表示方式,也为数值计算提供了方法,可供工程计算参考。
有限元法分析高压架空线路附近电场分布
[J].
Analysis of the electric field intensity nearby high voltage transmission line by FEM
[J].
500 kV输电线路电场强度测量与计算分析
[J].
Electric field measurement and computational analysis on 500kV transmission lines
[J].
高压工频电场警示仪的研究
[J].
Research of high-voltage power frequency electric field warning instrument
[J].
湿度、温度对工频电场强度的影响
[J].
Effect of humidity and temperature on power electric-field intensity
[J].
基于自回归条件密度模型的短期负荷预测方法
[J].
Short term load forecasting method based on auto-regressive conditional density model
[J].
/
| 〈 |
|
〉 |