微电网中虚拟同步发电机的荷电状态控制策略
合肥工业大学电气与自动化工程学院 合肥 230009
State of Charge Control Strategy of VSG in Microgrid
Hefei University of Technology Hefei 230009 China
收稿日期: 2016-01-6 网络出版日期: 2016-04-25
基金资助: |
|
Received: 2016-01-6 Online: 2016-04-25
作者简介 About authors

郭礼治 男 1989年生,硕士研究生,研究方向为新能源发电技术。

张 兴 男 1963年生,教授,博士生导师,研究方向为电力电子电力传动、新能源发电技术等。
微电网中虚拟同步机(VSG)需要搭配储能模块满足持续的供电需求,如何对储能模块的荷电状态(SOC)进行控制就非常重要。针对该问题,本文在传统VSG控制的基础上,增加了基于比例积分(PI)调节器的SOC控制环节,并在建立小信号模型的基础上,通过极点配置的方式设计了调节器参数,使得系统具有良好的动态性能,最后通过仿真验证了该控制策略的正确性和可行性。
关键词:
Virtual synchronous generator (VSG) in microgrid requires storage module to meet the needs of continuous power supply demand. It is vital to control the state of charge (SOC) of the storage module. To solve this problem, based on the traditional VSG control, SOC control section is added on the basis of proportional integral (PI) controller, and regulator parameter is established through pole assignment on the basis of small signal model, which makes the system a good dynamic performance. At last, the correctness and feasibility of the control strategy is verified by simulation.
Keywords:
本文引用格式
郭礼治, 张兴, 胡超, 刘芳.
Guo Lizhi.
1 引言
随着能源和环境问题越来越突出,基于如光伏、风能等各种清洁能源的分布式发电(Distributed Generation,DG)得到了广泛的发展。然而传统的DG大多具有间歇性、不稳定性等特点,随着电网渗透率的不断提升,给电网的稳定运行带来一系列问题。近年来一种由分布式电源、储能系统、负荷和保护装置汇集而成的微电网[1]已经成为DG与电网连接的有效模式。通过增加储能装置,使得微电网具有了能量缓冲的能力,不再是传统DG的单向功率源。通过设计合适的控制策略,微电网可以作为电力系统中一个具有独立运行能力的子模块,孤岛状态下,微电网可以作为电源为内部负荷供电,并网状态下,微电网又可以参与电力系统调度,增加电力系统运行的可靠性。
以燃煤同步发电机为主要供电单元的电力系统运营目前已经非常成熟,而在一些输电线路难以达到的场合,如孤立海岛等,采用柴油同步发电机作为电源也非常普遍。如果能将同步发电机的感应电动势、转子惯性、阻尼绕组等特性,以及相应的机组调频调压环节,通过控制算法引入电力电子变流器,就能使其具有类似同步发电机的功能,从而抑制电网频率波动,改善供电系统性能[2,3]。近年来许多学者纷纷提出了各自的虚拟同步机的相关算法。文献[4]分别从电流源模型和电压源模型设计了虚拟同步机(Virtual Synchronous Generator,VSG)控制器。其中电流源型VSG通过计算等效同步电机模型与电网之间的功率交换量,并作为指令功率跟随;而电压源型VSG则是直接模拟等效同步电机的输出电压。相比而言,电压源型VSG可以更好地模拟同步发电机的物理特性,既可以独立带负荷也可以并网运行,应用场合更加广泛。
微电网中的VSG作为一个可控电源,需要搭配储能单元(ESU),常用的是用铅酸或锂电的蓄电池组。微电网的能量管理系统(EMS)主要涉及两个方面,一是基于单个电池组层面的电池管理系统(BMS),用以均衡电池组内部各电池的SOC。另一个是基于微电网层面的变流器管理系统(CMS),用以协调各台VSG配套蓄电池组的SOC。本文仅考虑后者。目前基于VSG的微电网中关于CMS研究的文献不多,文献[5]提出了一种基于虚拟机技术的光伏微电网控制策略,通过改变等效惯性时间常数,可以控制储能单元的交换功率。文献[6]通过建立VSG的等效二阶传递函数模型,得到了惯性、阻尼等参数设计与SOC变化之间的定量关系,给储能容量的配置提供了理论依据。此外,虽然基于VSG的微电网母线为交流电压,但由于交直流微电网在SOC控制策略上的一定的共通性,一些直流微网的文献也具有参考意义。文献[7]中直流变换器通过检测自身SOC值,动态改变下垂系数,可以提高SOC控制的响应速度。
本文针对并网状态下电压源型VSG的SOC控制方法进行了深入研究。首先分析了VSG中储能单元、虚拟同步机算法及逆变器闭环控制的数学模型,并通过小信号分析给出了采用比例积分调节器的SOC控制的参数选择,能够有效地使得系统对SOC指令实现无静差跟随。最后通过仿真验证了本文提出的控制策略的良好性能。
2 系统数学模型
本文提出的微电网结构如图1所示。每个VSG单元均包含储能单元、三相变流器以及LC滤波器。VSG算法通过检测输出功率,并生成指令电压。储能单元需要根据运行工况及电网状态动态改变自身SOC,提高电力系统频率的稳定性。
图1
2.1 储能单元模型
蓄电池是一个具有复杂结构的电化学单元,其等效电路模型也居于多种形式。为简化控制算法,易于扩展,本文采用Rint模型作为单个电池单元形式,其基本电路为戴维南电路等效结构,为受控电压源与输出阻抗的串联形式,电池组数学模型则可用单个模型电池等效串并联获得,如图2所示。
图2
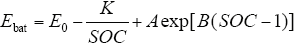
电池模型中输出阻抗为纯阻性电阻Rbat,受控电压源电压Ebat与电池SOC之间存在非线性关系,如图3所示。

图3
式中,E0为电池空载电压;ibat为电池输出电流;R为电池等效内阻;Ebat为电池输出电压;K、A、B为电池模拟参数,需要通过实验测试获得。SOC采用下式进行估计,即

式中,SOC0为初始荷电状态;Qbat为电池容量;ibat为输出电流。
2.2 VSG模型
借鉴同步电机的转子运动方程、调频方程和励磁调节方程,分别为



式中,Pref、Qref分别为同步电机的有功和无功给定;P、Q分别为VSG的实际有功和无功输出;J为虚拟惯性;ω0为空载角频率;P0为空载功率;E0为空载电动势;kω为频率调节系数;kq为无功调节系数;Δω = ω0 - ω为转差频率。
式(4)中,P0为电网正常状态下VSG输送的功率,若VSG无能量馈入端通常直接给零。然而上式中缺乏储能控制环节,无法实现储能单元的可控充放电。因此本文增加了基于比例积分调节器的SOC控制模块,通过动态调整P0,VSG可以实现SOC的指令值跟随,其控制方程为

式中,SOCref为SOC指令值;kp和ki分别为SOC控制的比例系数和积分系数。综合式(3)~式(6),并考虑到θ = ∫ω,即可得到逆变器的电压指令Eref∠θ。图4给出了基于上述思想的VSG并网控制策略。
图4
2.3 逆变器控制
在获得指令电压后,双闭环控制[9]下VSG的输出电压矢量表达形式为

式中,E、I分别为VSG端口电压和端口电流矢量,电压增益G(s)反映了输出电压对指令电压的跟随特性,基频范围内多表现为幅值增益为1、相角增益为0的传递函数;输出阻抗Z(s)则具有阻抗的量纲,基频处多呈感性。从而可以得到逆变器的输出等效模型,如图5所示。
图5
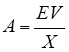
式中,E为VSG端口线电压有效值;V为电网线电压有效值;Δθ为VSG与电网间相位差;X为线路阻抗与逆变器输出阻抗之和,认为是纯感性,可得逆变器输出有功与相位差之间的近似关系为

3 基于PI调节器的SOC控制策略分析
通过上述分析得到整个VSG系统的数学结构模型,可以建立系统的SOC控制框图,如图6所示,由于SOC仅取决于P的变化,故可忽略无功控制过程,认为E为恒定值。
图6
可以得到系统闭环特征方程为
其中
为进一步分析参数对系统控制性能的影响,通过变化调节器及VSG的虚拟惯性及调频系数等观察控制系统根轨迹,如图7所示。结果发现,SOC调节器参数主要影响两个主导极点,增大比例系数主导极点逐渐靠近实轴,系统呈现过阻尼二阶系统特性,阻尼逐渐增加。增大积分系数则主导极点逐渐偏离实轴,系统呈现欠阻尼二阶系统特性,且阻尼逐渐减小。虚拟惯性J和调频系数kω主要影响其余两个非主导极点,主导极点则基本不受影响。
图7
对于高阶系统,其动态性能及稳定性主要取决于主导极点,通过选择合适的参数将主导极点配置为s1,2 = -1±j ,阻尼比为0.707;将非主导极点配置为s3,4 = -30±j40 ,阻尼比为0.8。图8为该参数下 SOC指令的单位阶跃响应。
图8
图8
指定参数下SOC指令的单位阶跃响应
Fig.8
The unit step response of the SOC reference with the specified parameters
4 仿真分析
为了验证算法有效性,根据图1搭建单机VSG并网的仿真平台,具体参数见下表。
表 基于储能变流器的VSG参数
Tab.
参数名称 | 数值 | 参数名称 | 数值 |
---|---|---|---|
额定功率/kW | 20 | 滤波电感L/mH | 0.9 |
额定线电压/V | 380 | 滤波电容C/μF | 10 |
频率/Hz | 50 | 虚拟惯性J/kg·m2 | 1.1 |
采样频率/kHz | 16 | 调频系数kω | 8 000 |
开关频率/kHz | 16 | SOC比例系数kp | 10 000 |
储能容量/A·s | 600 | SOC比例系数ki | 12 500 |
初始状态下SOC为50%,0.1s时SOC指令阶跃10%,图9a、9b分别为某一具体参数下SOC调节器及VSG虚拟惯性阻尼参数变化下系统的响应波形,从上到下依次为SOC、输出功率P以及VSG频率ω。通过比较发现,kp、ki主要影响SOC控制效果,J、kω则主要影响VSG输出功率P和输出频率ω。总的来说,较大的kp、ki有利于提高系统响应速度,降低SOC调节时间,但VSG越容易出现过载,ω越偏离额定频率ω0。J、kω对SOC控制的效果基本没有影响,但J越大、kω越小VSG输出功率越容易发生振荡,这主要是由于非主导极点偏离实轴导致。
图9
图9
不同参数下SOC指令阶跃时VSG波形
Fig.9
Output waves of VSG in different parameters in the case of SOC reference step
5 结束语
本文针对微网中VSG的SOC控制问题,提出了一种基于PI调节器的控制算法。通过分析VSG和SOC控制算法得到系统的小信号模型,并从极点配置的角度设计了调节器的参数,使得系统能够同时具备稳定性和良好的动态性能,最后通过仿真验证了本文提出算法的有效性。
参考文献
可再生能源分散接入用先进并网逆变器研究综述
[J].并网逆变器是分散式可再生能源接入配电网的重要接口,随着分布式可再生能源渗透率的不断提高,并网逆变器在传统配电网中的地位越发突出。为了高效完成可再生能源分散式并网,并有效降低并网逆变器对电网的冲击,一些在装置上、结构上和功能上更加先进的并网逆变器成为了迫切的需求。针对现有的一些先进并网逆变器进行比较、分析和研究,从装置级、功能级和控制级的角度对现有先进并网逆变器进行综述。给出一些在结构上能更加灵活地将可再生能源分散接入配电网的硬件电路。研究一些适用于可再生能源分散接入的,使并网逆变器能虚拟同步发电机完成自治运行、电能质量治理、系统阻抗检测、网络阻抗重塑(?)控制等辅助控制功能。同时还对并网逆变器的并网同步算法和电流跟踪控制策略进行了探讨。最后,提出一个适合于可再生能源分散并网的先进并网逆变器框架。
An overview on advanced grid-connected inverters used for decentralized renewable energy resources
[J].并网逆变器是分散式可再生能源接入配电网的重要接口,随着分布式可再生能源渗透率的不断提高,并网逆变器在传统配电网中的地位越发突出。为了高效完成可再生能源分散式并网,并有效降低并网逆变器对电网的冲击,一些在装置上、结构上和功能上更加先进的并网逆变器成为了迫切的需求。针对现有的一些先进并网逆变器进行比较、分析和研究,从装置级、功能级和控制级的角度对现有先进并网逆变器进行综述。给出一些在结构上能更加灵活地将可再生能源分散接入配电网的硬件电路。研究一些适用于可再生能源分散接入的,使并网逆变器能虚拟同步发电机完成自治运行、电能质量治理、系统阻抗检测、网络阻抗重塑(?)控制等辅助控制功能。同时还对并网逆变器的并网同步算法和电流跟踪控制策略进行了探讨。最后,提出一个适合于可再生能源分散并网的先进并网逆变器框架。
An optimal virtual inertia controller to support frequency regulation in autonomous diesel power systems with high penetration of renewables
[C].
Synchronverters: inverters that mimic synchronous generators
[J].
DOI:10.1109/TIE.2010.2048839
URL
[本文引用: 1]
In this paper, the idea of operating an inverter to mimic a synchronous generator (SG) is motivated and developed. We call the inverters that are operated in this way synchronverters. Using synchronverters, the well-established theory/algorithms used to control SGs can still be used in power systems where a significant proportion of the generating capacity is inverter-based. We describe the dynamics, implementation, and operation of synchronverters. The real and reactive power delivered by synchronverters connected in parallel and operated as generators can be automatically shared using the well-known frequency- and voltage-drooping mechanisms. Synchronverters can be easily operated also in island mode, and hence, they provide an ideal solution for microgrids or smart grids. Both simulation and experimental results are given to verify the idea.
分布式发电中的虚拟同步发电机技术
[J].
Review of virtual synchronous generator technology in distributed generation
[J].
A smart photovoltaic generation system integrated with lithiumion
[C].
State-of-charge balance using adaptive droopcontrol for distributed energy storage systems in DC microgrid applications
[J].
DOI:10.1109/TIE.2013.2279374
URL
[本文引用: 1]
This paper presents the coordinated control of distributed energy storage systems in dc microgrids. In order to balance the state-of-charge (SoC) of each energy storage unit (ESU), an SoC-based adaptive droop control method is proposed. In this decentralized control method, the droop coefficient is inversely proportional to the nth order of SoC. By using a SoC-based droop method, the ESUs with higher SoC deliver more power, whereas the ones with lower SoC deliver less power. Therefore, the energy stored in the ESU with higher SoC decreases faster than that with lower SoC. The SoC difference between each ESU gradually becomes smaller, and finally, the load power is equally shared between the distributed ESUs. Meanwhile, the load sharing speed can be adjusted by changing the exponent of SoC in the adaptive droop control. The model of the SoC-based adaptive droop control system is established, and the system stability is thereby analyzed by using this model. Simulation and experimental results from a 2 x 2.2 kW parallel converter system are presented in order to validate the proposed approach.
虚拟同步发电机的模型及储能单元优化配置
[J].
Mathematical model and strategic energy storage selection of virtual synchronous generators
[J].
A generic battery model for the dynamic simulation of hybrid electric vehicles
[C].
改进型微源下垂控制策略研究
[J].传统无互联线微源“功率-电压-电流”三环下垂控制方法在微网系统中受到广泛关注,但其功率分配效果受线路阻感比的影响较为严重,文章分析了两种现有解决方案:利用参数调节使微源等效输出阻抗为感性的方法,其调节能力有限,优化效果不佳;利用虚拟阻抗串联改变微源输出阻抗的方法能大范围调节微源等效输出阻抗,但孤岛模式下微源输出端电压会出现明显跌落。为此本文在已有控制方法基础上,提出一种改进微源虚拟阻抗下垂控制策略,将虚拟阻抗等效为虚拟同步发电机电抗,利用虚拟阻抗压降实现微源输出电压的下垂特性,减小了微源的电压跌落。该策略无Q-V下垂控制外环,控制简单。最后通过仿真以及微源并联实验,对改进前后控制方法的性能进行了对比,证明了所提出方法的有效性。
Research on improved microsource droop control method
[J].传统无互联线微源“功率-电压-电流”三环下垂控制方法在微网系统中受到广泛关注,但其功率分配效果受线路阻感比的影响较为严重,文章分析了两种现有解决方案:利用参数调节使微源等效输出阻抗为感性的方法,其调节能力有限,优化效果不佳;利用虚拟阻抗串联改变微源输出阻抗的方法能大范围调节微源等效输出阻抗,但孤岛模式下微源输出端电压会出现明显跌落。为此本文在已有控制方法基础上,提出一种改进微源虚拟阻抗下垂控制策略,将虚拟阻抗等效为虚拟同步发电机电抗,利用虚拟阻抗压降实现微源输出电压的下垂特性,减小了微源的电压跌落。该策略无Q-V下垂控制外环,控制简单。最后通过仿真以及微源并联实验,对改进前后控制方法的性能进行了对比,证明了所提出方法的有效性。
/
〈 |
|
〉 |
