单端反激有源钳位光伏并网微逆变器设计
Design of Active Clamp Grid-Connected Micro-Inverter Based on Single-Ended Flyback Topology
收稿日期: 2016-01-20 网络出版日期: 2016-04-25
基金资助: |
|
Received: 2016-01-20 Online: 2016-04-25
作者简介 About authors

赵 坚 男 1990年生,硕士研究生,研究方向为电力系统及其自动化。

汪海宁 女 1978年生,副教授,硕士生导师,研究方向为新能源发电和电力传动。
本文以反激型并网微逆变器为研究对象,首先简述了单相并网微逆变器的电路构成和原理,详细分析了反激变换器在加入有源钳位电路后电路的工作原理;其次对反激型并网微逆变器的控制系统进行了建模分析,并对主功率电路中的参数进行了设计;最后,通过样机验证了有源钳位电路不仅有效地抑制了反激变换器一次侧主开关管关断时的电压尖峰,能够实现主开关管ZVS,而且不会影响并网发电功能。
关键词:
In this paper, considering the flyback grid-conneted micro-inverter, the structure and principle of the single-phase grid-conneted micro-inverter are described firstly, and the working principle of flyback converter is analyzed in detail when the active clamp circuit is joined. Secondly, the control system modeling of flyback micro-inverter is analyzed and the parameters of the main power circuitare are designed. Finally, through this prototype verify the active clamp circuit not only the voltage spikes are effeetively limited when the main switch of the flyback is turn-off and achieve the zero voltage switch (ZVS), but also does not affect the function of power generation.
Keywords:
本文引用格式
赵坚, 汪海宁, 张晓安.
Zhao Jian.
1 引言
微逆变器具有多种不同拓扑结构,其中反激变换器因结构简单、成本低,具有电气隔离、电压调节范围宽等优点,逐渐被广泛采用[3,4,5]。为提高反激变换器的效率,提出漏感能量回收技术,但由于过多地使用电感、电容器件,使系统整体设计变得复杂[6]。文献[7]提出在反激变换器中引入剩余电流保护(Residual Current Devices,RCD)电路来吸收漏感能量,但会影响系统的整体效率。有源钳位技术在文献[8,9]中被提出,用来吸收存储漏感能量。文献[10]指出有源钳位技术在控制方式上可以分为非互补型和互补型。其中,互补型控制方式是指主开关管和辅助开关管互补导通,两开关管开通、关断间只留适当的死区;非互补型控制方式是指主开关管和辅助开关管并非互补导通,辅助开关管只在主开关管开通前一小段时间内导通一定时间,使钳位电容上储存的漏感能量得到释放;并对两者在反激变换器中的应用进行对比研究。在文献[11,12]中,有源钳位电路只实现了一次侧主开关管零电压开关(Zero Voltage Switch,ZVS),并未对开关管关断瞬间电压尖峰进行抑制。文献[13]对交错式反激微逆变器进行建模分析,给出反激变压器的简要设计,未给出主功率电路其他部分设计方法。
为此,本文在连续导通工作模式下对反激变换器进行分析和研究,引入有源钳位电路,对控制系统进行建模分析,并对主功率电路关键参数进行设计,以三维图揭示了钳位电容、漏感与开关频率之间的关系,为钳位电路的参数选取提供了理论依据。最后实验证明,加入有源钳位电路后,不仅能实现一次侧主开关的ZVS,能对主开关管关断瞬间的电压尖峰进行抑制,而且并网电流基本上能很好地跟踪电网电压,提高工作效率。
2 微逆变器系统结构
反激式光伏并网微逆变系统结构如图1 所示。由图可知,光伏组件作为直流侧的输入为反激式变换器提供稳定的直流电,通过反激式高频变压器后变换成正弦馒头波电流,经过SCR换相桥和EMC滤波电路后变成光滑的正弦波电流并入公用电网。
图1
该系统结构可分为三部分:前级为光伏组件,为微逆变器提供稳定的直流侧电压;中间级可分为有源钳位电路和反激式高频变压器,其中有源钳位电路由漏感Lk、钳位电容Cc和N沟道的辅助MOSFET组成,主MOSFET同样选用N沟道;高频变压器匝比为1∶N,具有电气隔离和升压作用,可为后级提供可控而稳定的电流源;后级由SCR换相桥和EMC滤波电路组成,其中EMC滤波电路由C和L组成,主要用来对并入电网的电流进行高频滤波,提高并网电流的电能质量。
3 有源钳位电路分析
当反激高频变压器一次侧主开关管关断时,由于变压器中漏感的存在,会在关断瞬间产生极大的电压尖峰,增加主开关管所能承受的电压应力,严重时会导致主功率开关管击穿损坏;此时的漏感能量若不能回收再利用,会影响微逆变器的整体效率。为解决上述问题,本文引入了有源钳位电路。其基本工作过程为:在Sw关断瞬间,主MOS管上产生的电压尖峰由钳位电容吸收并存储;当Sw开通前,漏感与钳位电容发生谐振,使钳位电容中的能量通过反激高频变压器传递到二次侧,并实现主MOS管的ZVS,使微逆变器效率提高。
有源钳位反激变换器的关键波形如图2所示,PWM1a、PWM1b分别为主、辅助开关管Sw、Sa的驱动波,iLk、iSa、iVD分别为漏感电流、辅助开关管的谐振电流、反激输出电流,Vds、VCc分别为主开关漏源极电压、钳位电容两端电压。
图2
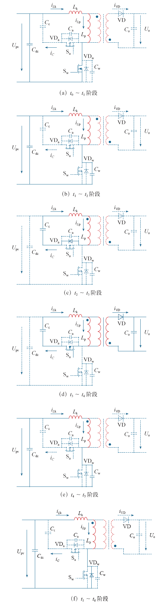
一个开关周期内,电路可以分为6个工作状态,各阶段等效电路如图3所示。
图3
图3
有源钳位反激变换器各模态等效电路
Fig.3
Equivalent circuit during each mode of active clamp flyback converter
(1)t0~t1阶段:t0时刻Sw开通、Sa关断,一次电流线性上升,在励磁电感与漏感上存储能量。
(2)t1~t2阶段:t1时刻,Sw截止,Lp、Lk和Cw三者发生谐振,利用励磁电流给Cw充电,由于励磁电感较大,故主MOS管电压可以近似为线性上升,直到t2时刻上升到Upv+VCc,此时辅助MOS管反向并联二极管VDa导通。
(3)t2~t3阶段:t2时刻VDa导通,辅助MOS管Sa可以在零电压的情况下实现导通。由于Cc远大于Sw的并联电容,在这段时间内Lp、Lk与Cc发生谐振,给Cc充电。随着钳位电容两端电压Vc升高,反激变压器二次感应电压也开始缓慢上升,当超过瞬时电网电压时,二次侧二极管VD导通。
(4)t3~t4阶段:t3时刻VD导通,变压器一次电压钳位于(Ug|sinθ|)/N,Lk与Cc两者谐振,使iLk由正向负变化,二次输出电流is由于Lk的影响以正弦规律变化。在iLk反向之前Sa导通,即能实现ZVS。
(5)t4~t5阶段:t4时刻Sa关断,使Cc从反激变压器一次侧电路中断开,同时Lk与Cw发生谐振,而变压器一次电压仍被大电网钳制,当流经Lk的电流等于流经Lp的电流时,二次电流减少至零,二极管VD反向截止。
(6)t5~t6阶段:t5时刻Lk与Cw谐振,谐振电容Cw开始放电,Ca开始充电,当Cw放电到零时,二极管VDw导通,为Sw的零电压导通提供条件。Sw重新开通后,输入电压再次加到反激变压器一次侧,完成一个开关周期。从t6时刻开始重复上述过程。
4 反激式并网微逆变器设计
4.1 反激式并网微逆变器控制系统分析
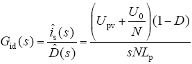
由于微逆变器在高频模式下运行时,逆变器输出电压和电流及占空比之间为非线性关系,为实现对微逆变器进行控制,需要对微逆变器进行系统建模。对图1中反激变换器运用状态空间法和小扰动法进行建模分析可知,占空比与输出电流之间的传递函数为
式中,Lp为反激变压器临界励磁电感;Upv为光伏组件的输入电压值。
系统在稳态运行下的占空比为
式中,Uo为逆变器输出电压;N为变压器匝比。
基于有源钳位反激微逆变器的并网控制结构如图4所示。其控制策略主要含有电压外环、锁相环和电流内环三个部分。电压外环通过A/D采样光伏组件的电压和电流,经过MPPT控制和PI控制器得到给定并网电流基准值iref;锁相环PLL通过DSP的捕获寄存器对电网电压过零点进行检测,获得电网电压频率,产生与电网电压同频同相的单位正弦电流参考信号,同时也给SCR换相桥提供工频驱动信号;电流内环是整个控制系统的核心部分,控制并网电流准确地跟踪电流给定,优化系统动稳态性能,通过电流环对反激变压器一次侧开关管进行控制,得到输出电流信号is。Gc(s)为PI控制器传递函数,Gid(s)为微逆变器的传递函数,H(s)为电流检测电路的传递函数。
图4
图4
有源钳位反激并网微型逆变器控制结构图
Fig.4
Control chart of the active clamp flyback micro-inverter
4.2 主功率电路参数设计
4.2.1 反激高频变压器设计
反激变压器作为微逆变器中最为关键的器件之一。由文献[14]可知,反激变压器的临界励磁电感为

式中,Urms为电网电压有效值;fs为开关频率;Ipv为光伏组件的输出电流。
根据伏秒定理可知

式中,Upvmin为光伏组件的最低输入电压;Dmax为反激变换器的最大运行占空比;Uoutmax为反激变换器二次侧最大输出电压。
反激变压器的磁心选用铁氧体材料,该材料在高频模式下具有阻抗高、频率范围宽和转换损耗低等特点。在设计时需考虑开关频率对材料的影响、最大磁通密度Bmax和磁心损耗Pl。
磁心损耗为

式中,a、c、d为选用磁心材料的损耗因子。选择不同的材料,则磁心损耗不同。
设计时采用面积乘(WaAc)的方法,即

式中,J、ΔB、Pomax分别代表绕组电流密度估计值、磁心激励Bmax和最大输出功率。
联立式(2)、式(3)和式(4)可知,反激变压器的一次侧匝数为
则二次侧匝数可由Ns = NNp计算得到。
4.2.2 主开关管设计
当主功率开关管Sw关断时,开关管上所承受的最大电压为输入电压与二次侧折算到一次侧的电压的总和,可表示为

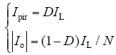
假设反激变压器的一次电流等效值为IL,那么在一个周期内,一次侧的平均电流Ipir和输出平均电流Io可分别表示为

由上式可得,主开关管上流过的电流最大值为
4.2.3 整流二极管VD设计
当一次侧主开关管Sw开通时,整流二极管上能承受的最大反向电压为

此时流过二极管上的电流最大值为

4.2.4 SCR换相桥设计
换相桥上承受的最大电压为网侧电压的峰值,可表示为

此时流过的电流最大值与整流二极管相同。
4.2.5 钳位电路设计
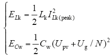
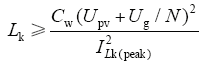
为实现有源钳位功能,需要对钳位电路中的漏感和钳位电容进行设计。漏感在辅助管关断时能够存储谐振电容Cw所释放的能量,故漏感上的能量ELk必须比谐振电容上存储的能量ECw大,即


根据式(10)和式(11)可得,反激高频变压器漏感Lk为

式中,ILk(peak)为一次侧漏感的峰值电流。
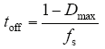
谐振网络由Cc和Lk组成,其谐振频率应足够低,使谐振周期的一半大于主MOS管关断时间,即


联立式(13)和式(14)可得,钳位电容为

根据式(15)可得漏感、钳位电容和开关频率之间关系如图5所示。
图5
在开关频率取定值情况下,由图5可以看出,漏感取值越大,钳位电容就越小;钳位电容取值越大,漏感就越小;故漏感和钳位电容的选取应根据实际情况折衷考虑。
5 实验验证
为此搭建了一路以有源钳位反激电路为前级、晶闸管逆变桥为后级的110W并网微逆变器实验样机。具体实验参数如下表所示。
表 有源钳位反激微逆变器主要参数
Tab.
主要实验参数 | 参数值 |
---|---|
开关频率fs /kHz | 100 |
变压器匝比N | 7 |
光伏电池输入电压/V | 25~45 |
激磁电感Lp /μH | 55 |
漏感Lk /μH | 0.6 |
钳位电容Cc /μF | 2 |
电网频率fg /Hz | 50 |
电网电压Ug /V | 110 |
微逆变器系统采用TI公司低功耗芯片TMS320F28027作为控制器;反激高频变压器磁心选用飞磁RM14-3C90材料,该磁心材料在频率100kHz时损耗因子a = 0.036,c = 1.64,d = 2.68,在同频率条件下能让磁心损耗达到最优;反激变压器主、辅助开关管分别选用IPP111N15N3G和IPD530N15N3G;二次侧整流二极管选用碳化硅二极管C2D05120A;逆变全桥电路选择晶闸管S8016N。
测试系统主要由一台PC、一个直流稳压电源、实验平台、功率负载和数字示波器组成,还需要与单向电网直接并联,如图6所示。
图6
图7
6 结束语
本文首先在连续导通模式下,为提高系统整体效率,引入有源钳位反激电路,分析有源钳位工作过程。其次,对反激式并网微逆变器的控制系统进行了建模,同时给出主功率电路中参数的设计方法,以三维图揭示了钳位电容、漏感与开关频率之间的关系,为钳位电路的参数选取提供了理论依据。最后,通过实验证明,所设计的主功率电路在加入有源钳位电路后并网电流基本上能很好地跟踪电网电压,正常工作时可实现主功率开关管的零电压开通,降低关断时电压尖峰,实现主开关管ZVS,减少电路中开关损耗,提高微逆变器整体效率。
参考文献
Analysis and implementation of a single-stage flyback PV microinverter with soft switching
[J].
DOI:10.1109/TIE.2013.2263778
URL
This paper presents a novel zero-voltage switching (ZVS) approach to a grid-connected single-stage flyback inverter. The soft-switching of the primary switch is achieved by allowing negative current from the grid side through bidirectional switches placed on the secondary side of the transformer. Basically, the negative current discharges the metal-oxide-semiconductor field-effect transistor's output capacitor, thereby allowing turn ON of the primary switch under zero voltage. To optimize the amount of reactive current required to achieve ZVS, a variable-frequency control scheme is implemented over the line cycle. In addition, the bidirectional switches on the secondary side of the transformer have ZVS during the turn-ON times. Therefore, the switching losses of the bidirectional switches are negligible. A 250-W prototype has been implemented to validate the proposed scheme. Experimental results confirm the feasibility and superior performance of the converter compared with the conventional flyback inverter.
Power inverter topologies for photovoltaic modules—a review
[C].
Flyback type inverter for small scall photovoltaic power system
[C].
光伏微型逆变器研究综述
[J].DOI:10.7667/j.issn.1674-3415.2012.21.026 URL [本文引用: 1]
Review of research on photovoltaic micro-inverter
[J].DOI:10.7667/j.issn.1674-3415.2012.21.026 URL [本文引用: 1]
A soft-switching DC/DC converter with high voltage gain
[J].DOI:10.1109/TPEL.2009.2039879 URL [本文引用: 1]
一种反激型光伏并网微逆变器的研究
[J].
Research on a flyback type photovoltaic grid-connected micro-inverter
[J].
Modeling of an active clamp discontinuous conduction mode flyback converter under variation of operating conditions
[C].
Utilization of an active-clamp circuit to achieve soft switching in flyback converters
[J].DOI:10.1109/TPEL.63 URL [本文引用: 1]
A high efficiency flyback converter with new active clamp technique
[C].
Active clamp flyback inverter considering leakage inductance of transformer for photovoltaic AC modules
[C].
交错反激微功率光伏并网逆变器的设计
[J].
Design of photovoltaic grid-connected interleaved flyback inverter
[J].
反激型光伏微型逆变器不同工作模式的分析与比较
[J].
The analysis and comparison in different mode of flyback micro-inverter for PV module
[J].
交错反激式光伏并网微逆变器的控制器实现
[J].针对光伏并网微逆变器的特点,研究了结构简单且具有隔离作用的交错反激变换器。通过建立简化的反激变换器电路模型,分析了交错反激变换器的控制特点,以最大功率跟踪(MPPT)控制得到的电流为基准,对反激变压器的一次侧进行平均电流控制,实现半波正弦电流输出;针对交错反激变换器可能出现负载不平衡的现象,增加了负载平衡控制环;建立了光伏电池的数学模型,推导出输入解耦电容与光伏电池板利用率的关系,通过选择合适的输入电容容量,有效地提高了系统运行效率。最后通过Matlab/Simulink仿真和样机实验验证了控制的有效性,得到了较好的输出波形。
Controller design of grid-connected micro-inverter based on interleaved flyback structure
[J].针对光伏并网微逆变器的特点,研究了结构简单且具有隔离作用的交错反激变换器。通过建立简化的反激变换器电路模型,分析了交错反激变换器的控制特点,以最大功率跟踪(MPPT)控制得到的电流为基准,对反激变压器的一次侧进行平均电流控制,实现半波正弦电流输出;针对交错反激变换器可能出现负载不平衡的现象,增加了负载平衡控制环;建立了光伏电池的数学模型,推导出输入解耦电容与光伏电池板利用率的关系,通过选择合适的输入电容容量,有效地提高了系统运行效率。最后通过Matlab/Simulink仿真和样机实验验证了控制的有效性,得到了较好的输出波形。
具备高压解耦电路的新型无电解电容微逆变器研究
[J].提出了一种新颖的单相无电解电容光伏并网微逆变器。该微逆变器主电路拓扑由光伏器件输出侧功率解耦电路和反激式逆变器构成。解耦电路将光伏器件输出能量储存在高电压电容中,以减小解耦电容容量,实现小容量薄膜电容替代大容量电解电容。反激式变换器以薄膜电容为主要电源,避免光伏器件工作受逆变干扰,简化了微逆变器控制策略。同时,详细分析微逆变器电路的工作原理,并阐述电路主要参数的设计依据。最后,搭建一台100W并网微逆变器样机,实验结果验证了所提出微逆变器及控制策略的有效性。
A novel electrolytic capacitor-less micro-inverter with high voltage gain power decoupling circuit
[J].提出了一种新颖的单相无电解电容光伏并网微逆变器。该微逆变器主电路拓扑由光伏器件输出侧功率解耦电路和反激式逆变器构成。解耦电路将光伏器件输出能量储存在高电压电容中,以减小解耦电容容量,实现小容量薄膜电容替代大容量电解电容。反激式变换器以薄膜电容为主要电源,避免光伏器件工作受逆变干扰,简化了微逆变器控制策略。同时,详细分析微逆变器电路的工作原理,并阐述电路主要参数的设计依据。最后,搭建一台100W并网微逆变器样机,实验结果验证了所提出微逆变器及控制策略的有效性。
有源钳位反激式光伏并网逆变器的研究
[D].
/
〈 |
|
〉 |
