基于改进余弦窗的加窗插值FFT谐波分析
合肥工业大学电气与自动化工程学院 合肥 230009
Harmonic Analysis Based on an Enhanced Cosine-Window Interpolation FFT Algorithm
Hefei University of Technology Hefei 230009 China
收稿日期: 2016-01-6 网络出版日期: 2016-04-25
| 基金资助: |
|
Received: 2016-01-6 Online: 2016-04-25
作者简介 About authors
李志刚 男 1976年生,博士研究生,研究方向为集成电路设计与测试。
汪 涛 男 1992年生,博士研究生,研究方向为现代电气测量。
采用快速傅里叶变换(FFT)进行电力谐波分析时,很难做到整周期截断和同步采样,导致频谱泄漏,无法精确得到电力谐波各参数。对采样信号进行加窗截断,用双谱锋线插值算法修正检测结果,可改善因非同步采样导致的频谱泄漏,提高检测精度。本文提出一种改进的余弦窗,分析其频谱特性,运用多项式拟合推导出简单实用的插值修正公式,减少运算量。仿真结果表明,加改进余弦窗双谱线插值FFT算法检测精度高,有效抑制了频谱泄漏。
关键词:
There are difficulties in performing integral cycle truncation and synchronized sampling for fast Fourier algorithm in power harmonic analysis, thus result in frequency leakage, and the exact harmonic parameters can not be detected. The sampling signal is truncated by using cosine-window, then double-spectrum-line interpolation algorithm is used to correct the result, and compensate the spectral leakage caused by non-synchronized sampling to obtain high measurement accuracy. An enhanced cosine-window is proposed and its spectral characteristics are analyzed. The applicable correction formulas are obtained by fitting of polynomials and calculating burden is decreased. The simulation results show that the enhanced cosine-window interpolation FFT algorithm can control the spectral leakage efficiently and increase detection accuracy.
Keywords:
本文引用格式
李志刚, 汪涛, 何怡刚, 何威, 苏圆圆.
Li Zhigang.
1 引言
快速傅里叶变换(Fast Fourier Transform,FFT)法是电力系统谐波检测的常用方法[3]。在同步采样时,FFT算法可以高精度地检测出谐波的幅值、相位和频率等参数。但实际的电网频率不恒定,通常在工频附近存在微小波动[4],采用FFT进行谐波分析时很难做到整周期截断和同步采样[5],导致频谱泄漏,影响检测结果的精度。研究表明,时域加窗可以抑制频谱泄漏,采用性能优良的窗函数可以提高FFT算法的分析精度 [6]。国内外学者先后运用Hanning窗[7]、Blackman窗[8]等进行加窗插值FFT分析,但Hanning窗的旁瓣电平峰值很高,旁瓣特性较差,导致检测结果的精确度不足。Blackman窗的旁瓣特性优于Hanning窗,检测精度提高,但其插值修正公式复杂,导致运算量增加。
本文分析了FFT算法在非同步采样时存在的栅栏效应和频谱泄漏现象,根据不同权值的矩形窗相互叠加使旁瓣抵消的原理,在Hanning窗、Blackman窗等余弦组合窗的基础上,提出一种改进的三项升余弦窗,与Hanning窗、Hamming窗和Blackman窗相比,该窗具有更小的旁瓣电平峰值。推导该余弦窗的双谱线插值算法,得出简单实用的修正公式。仿真结果表明加窗插值FFT算法在非同步采样时,本文提出的改进余弦窗的计算精度高于Hanning窗,与Blackman窗有基本相同的精确度,但运算量大大减少。
2 FFT的频谱泄漏问题
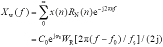
设单一频率信号x(t)以频率fs采样,得到离散的时间信号为

式中,C0、f0、φ0分别为信号的幅值、频率和初相位。
对x(n)加矩形窗截断得xw(n)=x(n)RN(n),将加窗截断序列xw(n)进行离散傅里叶变换,并忽略负频点处频谱峰线的旁瓣影响[9],得截断序列的频谱为

其中 
对式(2)进行离散抽样,得到加窗序列的频谱函数[10]为

式中,Δf = fs/N为频率分辨率;N为采样点数。
当f0为频率分辨率的整数倍,即同步采样时,同步采样频谱如图1所示,采样值为谱线峰值,此时没有频谱泄漏,X(kΔf ) = C0ejφ0/(2j),此时k为整数。同步采样可以准确计算信号的幅值、频率和相位参数。
图1
当f0为频率分辨率的非整数倍,即非同步采样时,非同步采样频谱如图2所示,由于非同步采样存在频谱泄漏,采样值不是谱线峰值,只能获得谱线峰值附近的幅值,此时k为非整数,令k = k0 + δ,0<δ<1,k0对应谱线峰值附近的最大峰值谱线的标号。
图2
非同步采样导致的频谱泄漏,可以通过加窗进行抑制,提高FFT算法的精确度。
3 改进余弦窗及其频谱特性
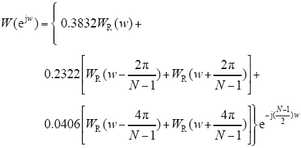
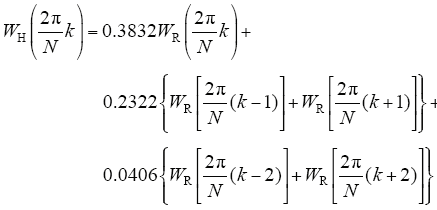
根据不同加权值的矩形窗频谱相互叠加,使旁瓣相互抵消的原理,在Hanning窗、Hamming窗和Blackman窗等升余弦窗的基础上,为了进一步抑制旁瓣,修改权值,提出一种改进的三项升余弦窗,即

进行离散傅里叶变换得

其中WR(w) = sin(wN/2)/sin(w/2)。
当N

图3
图3
改进余弦窗频谱叠加过程及结果
Fig.3
Spectrum superposition process and results of improved cosine window
图4
表1 不同窗函数旁瓣特性
Tab.1
| Hanning 窗 | Hamming 窗 | Blackman 窗 | 改进余弦 窗 | |
|---|---|---|---|---|
| 旁瓣电平峰值/dB | -31 | -42 | -58 | -62 |
| 旁瓣衰减速率/(dB/oct) | 18 | 6 | 18 | 18 |
4 基于改进余弦窗双谱线插值算法
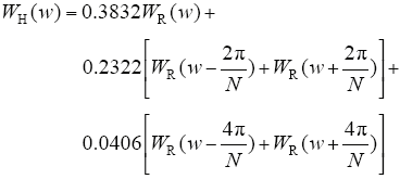
对信号x(n) = C0sin(2πnf0/fs + φ0)加改进余弦窗w(n),并进行离散傅里叶变换,得

其中,WH(f)是w(n)的频率连续的频谱函数。
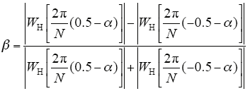
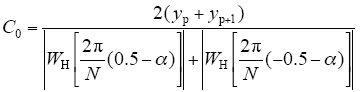
非同步采样时,f0为频率分辨率的非整数倍,此时采样值不是频谱峰线值。设频谱峰线附近采样到的最大和次最大谱线分别为第kp和kp+1条,kp≤k≤kp+1(kp+1 = kp + 1),两条谱线幅值分别为yp = |X(kpΔf)|和yp+1 = |X(kp+1Δf)|,引入参数α = k - kp - 0.5(0≤k - kp≤1),则-0.5≤α≤0.5;设β = (yp +1 - yp)/(yp +1 + yp ),由式(7)得

实际运算时,通常先求出β,由式(8)的反函数α = f- 1(β)求出α。
对kp和kp+1两条谱线幅值进行加权修正,得到幅值的修正公式为

当N

其中,g(α)是逼近多项式。
由式(7)得相位修正公式为

频率修正公式为

本文采用的改进余弦窗,进行DFT变换为

其中 
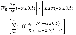
将k = -α±0.5代入式(13),|-α±0.5|≤1, 
式,得

其中,r = 0,1,2;ar为每项余弦函数的系数,a0 = 0.3832,a1 = 0.4644,a2 = 0.0812。
将式(14)代入式(8),在[-0.5, 0.5]内取一组α的值,求得β,调用polyfit(β, α, m)函数进行多项式拟合,求得α = f - 1(β)。将式(14)代入式(9),结合式(10),得出g(α)的数值,调用polyfit(α, g(α), n)函数,求得多项式g(α)的系数。
本文提出的改进余弦窗的修正公式为


实际运算时,根据获得的α值,采用文献[10]的相位修正公式,即

Blackman窗计算α的修正公式为7次,本文提出的改进余弦窗的修正公式为3次,减少了运算量,且具有较高的运算精度。
5 仿真实验分析
设电压信号为

设基波频率f0 = 50Hz,采样频率fs = 1 000Hz,采样点数N = 128,信号含有白噪声,幅值为基波幅值的0.0182%。用加改进余弦窗双谱线插值FFT算法进行谐波分析,所得波形及频谱如图5所示。
图5
根据FFT算法对大幅值波形信号能够精确检测的特性,加改进余弦窗的双插值FFT算法可以精确地检测出基波频率的频谱,获得基波信号的频率、幅值和相位等参数。用原信号减去基波信号,再进行加窗插值FFT变换,较精确的获得3次、5次、7次和9次谐波的参数,所得信号波形及频谱如图6所示。
图6
图7
Tab.2 Comparison of analysis to amplitude (单位:V)
| 基波 | 3次谐波 | 5次谐波 | 7次谐波 | 9次谐波 | 5.5次谐波 | 6.5次谐波 | |
|---|---|---|---|---|---|---|---|
| 理论值 | 220 | 12 | 7 | 3.2 | 1.8 | 0.5 | 0.2 |
| Hanning窗 | 220.009 8 | 12.022 8 | 7.004 1 | 3.200 7 | 1.799 9 | 0.499 2 | 0.198 2 |
| Blackman窗 | 220.004 0 | 12.009 5 | 7.002 5 | 3.199 8 | 1.800 0 | 0.500 0 | 0.199 4 |
| 改进余弦窗 | 220.003 5 | 12.007 8 | 7.002 1 | 3.199 9 | 1.800 0 | 0.500 0 | 0.200 0 |
Tab.3 Comparison of analysis to frequency (单位:Hz)
| 基波 | 3次谐波 | 5次谐波 | 7次谐波 | 9次谐波 | 5.5次谐波 | 6.5次谐波 | |
|---|---|---|---|---|---|---|---|
| 理论值 | 50 | 150 | 250 | 350 | 450 | 275 | 325 |
| Hanning窗 | 49.998 6 | 149.960 2 | 249.992 2 | 350.007 8 | 449.996 9 | 274.998 6 | 325.006 3 |
| Blackman窗 | 49.999 0 | 149.978 9 | 249.993 0 | 350.007 0 | 449.998 4 | 274.999 2 | 325.003 1 |
| 改进余弦窗 | 49.999 2 | 149.982 2 | 249.993 7 | 350.006 6 | 449.998 6 | 274.999 6 | 325.002 3 |
Tab.4 Comparison of analysis to phase [单位:(°)]
| 基波 | 3次谐波 | 5次谐波 | 7次谐波 | 9次谐波 | 5.5次谐波 | 6.5次谐波 | |
|---|---|---|---|---|---|---|---|
| 理论值 | 20 | 58 | 102 | 82 | 36 | 15 | 46 |
| Hanning窗 | 20.035 3 | 58.910 1 | 102.008 6 | 82.045 2 | 36.043 3 | 15.008 9 | 45.950 0 |
| Blackman窗 | 20.017 8 | 58.432 7 | 101.996 4 | 81.967 2 | 36.033 2 | 15.006 2 | 45.962 4 |
| 改进余弦窗 | 20.017 7 | 58.411 2 | 101.998 0 | 81.992 5 | 36.032 6 | 15.004 3 | 45.973 8 |
6 结束语
本文在Hanning窗、Hamming窗和Blackman窗等余弦组合窗的基础上,提出一种改进的三项升余弦窗,分析其旁瓣特性可知,该窗拥有较快的旁瓣衰减速率,旁瓣电平峰值更低,减少了频谱泄漏。利用拟合函数推导出简单有效的修正公式。仿真结果表明,进行加窗插值FFT算法时,采用改进余弦窗的双谱线插值算法的分析精度高于Hanning窗;同时拥有与Blackman窗基本相同的计算精度,但运算量大大减少。
参考文献
基于小波变换的谐波检测技术
[J].
Harmonic detection based on wavelet transform
[J].
改进加窗插值FFT动态谐波分析算法及应用
[J].为减少加窗插值FFT谐波分析算法中的频谱泄漏和栅栏效应, 本文分析了旁瓣最低与最速下降窗的频谱特性, 提出了基于4项旁瓣最低与最速下降窗的插值FFT谐波分析算法, 运用多项式拟合求出了简单实用的插值修正公式, 减少了谐波分析时的计算量。仿真结果表明, 在非同步采样和非整数周期截断条件下, 本文所提出的谐波分析方法适合于弱信号和包含2~21次谐波的电力信号的精确分析。本文还给出了算法在三相多功能谐波电能表中的应用情况, 验证了算法的有效性和准确性。
Improved windowed interpolation FFT algorithm and application for power harmonic analysis
[J].为减少加窗插值FFT谐波分析算法中的频谱泄漏和栅栏效应, 本文分析了旁瓣最低与最速下降窗的频谱特性, 提出了基于4项旁瓣最低与最速下降窗的插值FFT谐波分析算法, 运用多项式拟合求出了简单实用的插值修正公式, 减少了谐波分析时的计算量。仿真结果表明, 在非同步采样和非整数周期截断条件下, 本文所提出的谐波分析方法适合于弱信号和包含2~21次谐波的电力信号的精确分析。本文还给出了算法在三相多功能谐波电能表中的应用情况, 验证了算法的有效性和准确性。
基于加窗离散傅里叶算法的谐波分析初始相位敏感性研究
[J].
DOI:10.7500/AEPS20131014005
URL
[本文引用: 1]
分析了初始相位敏感性产生的根源及影响初始相位敏感性大小的因素,并提出减小初始相位敏感性的方法以提高加窗离散傅里叶变换(DFT)算法的稳定性。理论分析和数值结果表明:初始相位的随机性会引入谐波幅值计算误差,但并不是所有的加窗DFT算法谐波分析都需要考虑相位敏感性;频率偏差一定条件下,初始相位敏感性大小由窗函数的旁瓣峰值电平决定,旁瓣峰值电平越低,初始相位敏感性越小,旁瓣峰值电平-58 dB可以作为衡量窗函数是否需要考虑初始相位敏感性的参考值。实际工程中,可以通过增加采样长度的方法减小初始相位敏感性的影响。
Initial-phased sensitivity study on power harmonic analysis based on windowed discrete Fourier transform
[J].
DOI:10.7500/AEPS20131014005
URL
[本文引用: 1]
分析了初始相位敏感性产生的根源及影响初始相位敏感性大小的因素,并提出减小初始相位敏感性的方法以提高加窗离散傅里叶变换(DFT)算法的稳定性。理论分析和数值结果表明:初始相位的随机性会引入谐波幅值计算误差,但并不是所有的加窗DFT算法谐波分析都需要考虑相位敏感性;频率偏差一定条件下,初始相位敏感性大小由窗函数的旁瓣峰值电平决定,旁瓣峰值电平越低,初始相位敏感性越小,旁瓣峰值电平-58 dB可以作为衡量窗函数是否需要考虑初始相位敏感性的参考值。实际工程中,可以通过增加采样长度的方法减小初始相位敏感性的影响。
布莱克窗函数频域插值电力谐波计算
[J].
New calculation method of electric power harmonic in frequency domain interpolation of Blackman windows
[J].
基于Blackman窗函数的插值FFT在电网谐波信号分析中的应用
[J].
Estimation of electrical harmonic parameters by using the Interpolated FFT algorithmbased on Blackman window
[J].
一种电网谐波与间谐波分析新方法
[J].提出了一种分析电力系统谐波与间谐波的新方法。利用信号TT变换的对角线元素的频谱特性, 结合加窗插值方法, 提出了稳态谐波、间谐波参数的高精度测量算法, 解决电网中高频谐波及间谐波含量小、难以检测的问题。针对动态谐波和间谐波, 利用TT变换对角线元素谱分析, 估计信号各频率分量的频率、幅值等参数, 然后基于对S变换结果的分析和TT序列突变量的检测, 精确确定各频率分量出现的起止时刻。仿真结果说明了所提方法在稳态、动态谐波及间谐波分析中的可行性和有效性。
A novel power system harmonic and interharmonic analysis method
[J].提出了一种分析电力系统谐波与间谐波的新方法。利用信号TT变换的对角线元素的频谱特性, 结合加窗插值方法, 提出了稳态谐波、间谐波参数的高精度测量算法, 解决电网中高频谐波及间谐波含量小、难以检测的问题。针对动态谐波和间谐波, 利用TT变换对角线元素谱分析, 估计信号各频率分量的频率、幅值等参数, 然后基于对S变换结果的分析和TT序列突变量的检测, 精确确定各频率分量出现的起止时刻。仿真结果说明了所提方法在稳态、动态谐波及间谐波分析中的可行性和有效性。
电力系统间谐波和谐波分析的海宁窗插值算法
[J].间谐波和谐波对电网的危害日益严重,所以准确计算出间谐波和谐波的幅值、频率和相位等参数,对于改善电能质量具有重要意义。在分析间谐波和谐波特性的基础上,提出了海宁窗插值的间谐波和谐波算法。该方法对时域信号加海宁窗进行离散傅里叶变换,初步求取各次谐波和间谐波的各个参数,然后对各参数采用插值算法进行修正。经过仿真验证,该方法可以减小频谱泄漏和同步偏差的影响,并为谐波和间谐波信号分析提供了有效、准确的分析结果。
Hanning windowed interpolation algorithm for inter-harmonics and harmonics analysis of electric power system
[J].间谐波和谐波对电网的危害日益严重,所以准确计算出间谐波和谐波的幅值、频率和相位等参数,对于改善电能质量具有重要意义。在分析间谐波和谐波特性的基础上,提出了海宁窗插值的间谐波和谐波算法。该方法对时域信号加海宁窗进行离散傅里叶变换,初步求取各次谐波和间谐波的各个参数,然后对各参数采用插值算法进行修正。经过仿真验证,该方法可以减小频谱泄漏和同步偏差的影响,并为谐波和间谐波信号分析提供了有效、准确的分析结果。
基于插值理论的准同步算法在谐波检测中的应用研究
[J].
The study of quasi-simultaneous algoithm based on interpolation in the application of harmonic detection
[J].
Blackman-Harris窗的插值FFT谐波分析与应用
[J].
Blackman-Harris window based interpolation FFT harmonic analysis and its application
[J].
基于Nuttall窗双谱线插值FFT的电力谐波分析方法
[J].快速傅里叶变换(fast Fourier transform,FFT)因其易于嵌入式系统实现而被作为电力谐波分析的主要方法,但电力谐波分析时很难做到同步采样和整数周期截断,由此造成的频谱泄漏将影响测量结果的准确性。加窗和插值修正算法可改善基于FFT的谐波参数计算的准确度。该文讨论Nuttall窗的旁瓣特性和双谱线插值算法,提出基于Nuttall窗双谱线插值FFT的电力谐波分析方法,用曲线拟合函数求出实用的双谱线插值修正公式,大大减少了计算量。仿真结果表明,提出的谐波分析方法在非同步采样和非整数周期截断条件下,21次谐波幅值计算误差小于等于0.000 9%,初相位计算误差小于等于0.04%。
An approach for electrical harmonic analysis based on Nuttall window double-spectrum-line interpolation FFT
[J].快速傅里叶变换(fast Fourier transform,FFT)因其易于嵌入式系统实现而被作为电力谐波分析的主要方法,但电力谐波分析时很难做到同步采样和整数周期截断,由此造成的频谱泄漏将影响测量结果的准确性。加窗和插值修正算法可改善基于FFT的谐波参数计算的准确度。该文讨论Nuttall窗的旁瓣特性和双谱线插值算法,提出基于Nuttall窗双谱线插值FFT的电力谐波分析方法,用曲线拟合函数求出实用的双谱线插值修正公式,大大减少了计算量。仿真结果表明,提出的谐波分析方法在非同步采样和非整数周期截断条件下,21次谐波幅值计算误差小于等于0.000 9%,初相位计算误差小于等于0.04%。
/
| 〈 |
|
〉 |