分布式电源接入配电网的多目标优化控制
胡福年,葛苗苗,张访,付长亮

Multi-Objective Optimization Control of Distributed-Grid with DG
Hu Funian,Ge Miaomiao,Zhang Fang,Fu Changliang
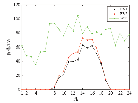
图2 PV、WT日出力曲线
Fig.2 Daily output power curve of PV and WT