考虑分布式电源影响的电网运行安全风险评估方法概述
1.
2.
3.
A Review on Risk Based Assessment Method for Power System Operation Considering the Influence of Distributed Generation
1.
2.
3.
收稿日期: 2016-08-3 网络出版日期: 2016-11-25
Received: 2016-08-3 Online: 2016-11-25
作者简介 About authors

王龙宇 男 1988年生,工程师,主要从事电力系统继电保护、自动化方面的工作。

王丙东 男 1988年生,工程师,主要从事变压器运行维护工作。
为了有效应对能源危机与环境污染问题,基于清洁能源的分布式发电正在大规模接入电网。由于分布式发电,如风电与光伏发电,出力水平主要依赖高度不确定性的自然条件,传统的电网运行安全风险评估方法需要充分考虑分布式电源的影响。主要介绍了考虑分布式发电影响的电力系统运行安全风险评估方法,包括系统状态选择方法、电网设备故障模型、分布式发电出力模型、常用风险指标以及负荷模型等。能够降低分布式发电的不确定性给系统造成的影响,有效提高分布式发电入网比例。
关键词:
In order to solve energy crisis and environment pollution, the clean energy based distributed generation is access into power system with large scale. However, the output of distributed generation mainly depends on uncertain weather conditions and it is necessary to take its uncertainty into traditional power system operation risk assessment. In this paper a review on risk based assessment method for power system operation considering the influence of distributed generation is offered. It includes state selecting method, component fault model, distributed generation output model, common risk indices and load model. The proposed method could reduce the effect from distributed generation uncertainty and enhance its penetration proportion into power system in valid.
Keywords:
本文引用格式
王龙宇, 王丙东, 蔡蕾, 李振动, 吴炜.
Wang Longyu.
1 引言
由于电网中长期规划时间跨度较长,针对规划的风险评估方法中系统设备故障概率都是采用历史统计数据,但对于电网运行风险评估,设备故障需要考虑一些实时因素的影响,文献[4,5]提出了针对电网运行风险评估的两种设备故障概率模型,分别考虑到了天气因素、设备老化因素以及设备维修因素。准确评估不确定因素给电网造成的影响,即风险后果,是准确计算系统风险水平的关键因素。风险后果评估方法大体上可以分为两类:第一种称为直接法,即直接根据系统的电气量进行风险后果计算,例如,根据线路过载或者电压越限,这种方法相对简单,不需要对系统进行详细分析,只需提供潮流计算结果;第二种称为间接法,即当系统出现安全越限时,通过预先制定的控制策略或者调节方法对系统进行再调节,用控制或者调节代价来等效评估系统安全越限的严重程度。文献[9]提出一种最优控制模型,应用发电机再调度和负荷削减来评估风险后果严重程度,文献[10]则应用SPS(Special Protection Strategy)对电网暂态风险后果进行评估。
能源需求在不断增加,而化石能源日趋枯竭,核能的发展受到一定的限制,能源问题愈来愈成为世界各国面临的一个严峻挑战。分布式发电(Distributed Generation,DG)技术是未来世界能源技术发展的重要方向[11,12]。分布式发电主要包括风机[13,14]、光伏[15,16]、微燃机[17]以及燃料电池[18]。其中微燃机与燃料电池的能量来源稳定,可以人为控制,而风机与光伏发电的能量来源则高度依赖于自然环境中的风能与太阳能,无法进行人为干预,这就给整个电网带来了新的不确定因素。文献[19]重点分析了风机与光伏发电的特点,给出了风机与光伏发电在电网风险评估中的概率模型,文献[20]重点分析了风机与光伏对电力系统小扰动稳定的影响,文献[21,22]重点分析了配电网中的分布式发电与输电网可靠性的影响。
本文主要介绍了考虑分布式发电影响的电网风险评估方法,包括系统状态选择方法、电网设备故障模型、分布式发电出力模型、常用风险指标以及负荷模型等。
2 电网运行风险评估常用模型
2.1 电网设备故障模型
图1
图2
元件的平均不可用率U表达式为
式中,λ为失效率(次数/年);μ为修复率(次数/年);MTTR为平均修复时间(h);MTTF为失效前平均时间(h);f为平均失效频率(次数/年)。
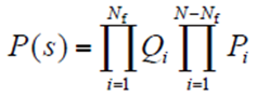
2.2 状态枚举法
如果系统元件数量不是很多,通常采用状态枚举法,该方法的基本思想是数学中的排列组合原理,每个系统状态的概率P(s)为
式中,N为系统元件总数量;Nf和N - Nf分别是状态s中失效元件和未失效元件的数量;Qi为元件失效概率;Pi为元件运行概率。
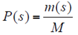
2.3 蒙特卡洛方法
当系统元件数量较多时,采用2.2节中的状态枚举法会造成计算量过于庞大,此时可采用蒙特卡罗模拟法,该方法的基本原理是通过随机抽样来统计估算结果。当抽样数量足够大时,系统状态s的抽样频率近似等于状态概率,即
式中,M是抽样数;m(s)是在抽样中系统状态s出现的次数。
假定元件只存在运行和停运两种状态,且相互独立,则可用一个在[0,1]区间的均匀分布来模拟元件存在状态。令si代表元件i的状态,则对元件i产生一个在[0,1]区间均匀分布的随机数Ri,则有
具有N个元件的系统状态由矢量s表示为
3 分布式发电出力概率模型
随着分布式发电大规模接入电网,传统的电网运行风险评估必须考虑到其影响。由于分布式发电主要来源于随机性较大的风能和太阳能,这与传统发电依靠确定性的煤、水或者天然气有所不同,因此准确给出分布式发电的出力模型是重点。
3.1 风力发电概率模型
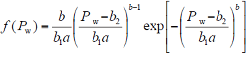
通过对多个风场的实际数据进行统计分析,得出一定区域内的风速分布遵循双参数威布尔分布(Two-Parameter Weibull Distribution)。在文献[12]中,双参数威布尔分布概率密度函数为
式中,b是一定区域内的威布尔分布的形状因数;a是一定区域内的比例因子;v是风机安装位置的风速。
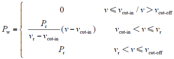
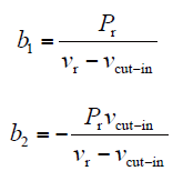
风机输出功率随风速变化而变化,为一个随机变量,忽略轻微的非线性,风机输出功率与风速可表示为
式中,Pw是输出功率(kW或MW);Pr是风力发电机组的额定功率;vcut-in和vcut-off分别是切入风速和切出风速;vr代表额定风速。
风机有功功率输出的概率密度函数可表示为
其中
风速即使在一段时间内不遵循双参数威布尔分布,但在现有的先进风电功率预测技术下,时间步长为2min或10min的风力功率预测是可以实现的。
3.2 光伏发电模型
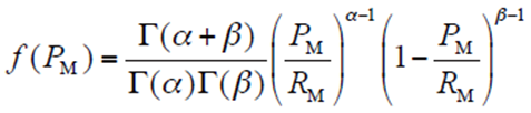
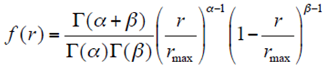
太阳能电池是光伏发电系统的基础与核心,它的输出功率与光照强度密切相关,由于光照具有随机性,其输出功率也是随机的。据统计,在一定的时间段内太阳光照强度可近似Beta分布[13],其概率密度函数为
式中,r和rmax分别为实际光强和最大光强(W/m2);α、β为Beta分布的形状参数;Γ是Gamma函数。
给定一个太阳能电池方阵,总共有M个电池组件,每个组件的电池和光电转换效率分别为Am和ηm(m = 1,2,…,M),该太阳能电池方阵的总输出功率为
式中,A和η分别为太阳能电池方阵总面积和总光电转换效率。
已知光强的概率密度函数,通过式(9)可以得到太阳能电池方阵输出功率的概率密度函数也是Beta分布,即
其中RM为方阵最大输出功率,其值为
3.3 分布式发电离散概率模型
在本文的研究过程中,采用一个较为简单的离散概率出力模型来确定DG的有功功率输出。
气象条件的概率密度函数f (w),可以通过对历史数据统计分析获得。如图3所示,其中w为风速或光强度,wmin、wmax为w的上限和下限。区间[wmin,wmax]可以被分为几个子区间。则该天气状况参数w位于第k个子区间[wk-1,wk]的概率pk的计算公式为
电机输出功率g(w)和天气状况参数w之间存在一定的关系,这依赖于DG的自身设计特性。当参数w位于第k子区间[wk-1,wk],DG的平均输出功率计算公式为
图3
4 电网风险指标
电力系统的根本任务就是保持负荷的连续可靠供应,因此常用负荷削减量来衡量故障给系统造成的严重程度。
4.1 负荷削减最优模型
最优潮流模型的目标函数是负荷削减总量最小,最优解就是各条母线上的最小负荷削减量。
(1)基于交流潮流的最优潮流模型。基于交流潮流的发输电系统风险评估最优潮流模型可描述为
式中,Pi、Qi分别是母线i的注入有功和注入无功;V、δ分别是母线电压的相角值和相角矢量值;Vi是V的元素;PDi和QDi分别是母线i上的有功和无功负荷;Ci是母线i的负荷削减变量;
(2)基于直流潮流的最优潮流模型。在发输电系统风险评估中,可能会有数千个系统状态需要求解最优潮流,为了减小计算量,常常利用基于直流潮流的最优潮流模型,其数学表达式为
式中,T(S)是停运状态的有功潮流矢量;PG和PD分别是发电输出和负荷功率矢量;A(S)是停运状态S的有功潮流和注入功率间的关系矩阵;C是负荷削减矢量;PGi、PDi、Ci和Tk(S)分别是PG、PD、C和T(S)的元素;
与基于交流潮流的最优潮流模型相比,此线性化的最优负荷削减模型略去了全部与无功功率相关的量,编程求解变得容易并且计算速度快,这在需要反复进行优化调整的可靠性评估和电网规划中是非常突出的优点。
4.2 常用风险指标
电力系统风险评估常用风险指标如下:
(1)电力不足时间期望值(Loss of Load Ex-pectation,LOLE)。计算公式为
式中,Li是第i级负荷水平;Pi是第i级负荷水平的概率;NL是负荷水平分级数,由实际负荷数据确定;Gj是第j级发电容量;Pj是第j级发电容量的概率;NG是发电容量分级表中的发电容量分级数;T是负荷持续曲线总长度。
(2)电量不足期望(Loss of Energy Expectation,LOEE)。计算公式为
(3)期望缺供电量(Expected Energy not Supp-lied,EENSf)。计算公式为
式中,Pf(s)是仅考虑元件计划停运事件的系统状态s的概率;Cf(s)是状态s的负荷削减量(MW);Ti是第i个负荷水平的时间长度(h);Fi是多级负荷模型中第i个负荷水平下系统全部失效状态的集合。
(4)负荷削减概率(Probability of Load Curtail-ments,PLCf)。计算公式为
式中,T是负荷曲线的时间期间全长(h),通常为一年。
(5)期望负荷削减频率(Expected Frequency of Load Curtailments,EFLCf)。计算公式为
式中,λfj是第j个元件离开状态s的转移率;mf(s)在不考虑降额状态时即为系统元件总数。
(6)负荷削减平均持续时间(Average Duration of Load Curtailments,ADLCf)。计算公式为
(7)严重程度指标(Severity Index,SIf)。计算公式为
式中,一个系统分相当于在峰荷时全系统停电1min。系统程度级别越高,说明系统承受故障的能力越差,即可靠性水平越低。
5 风险评估中的负荷模型
电网运行风险评估中处理负荷不确定的方法通常有三种。
(1)负荷恒定模型。即假定负荷水平在风险评估的期间内保持恒定不变,这种情况主要适用于不考虑或者近似忽略负荷的不确定性对系统造成的风险影响。
(2)负荷多级模型。负荷多级模型的基础是先得到风险评估时间跨度内的原始负荷曲线,然后采用图4所示的多级模型来表示原始负荷曲线。给定负荷水平分级后,即可将各个负荷点分配到最接近的一个级别,从而得到一个离散负荷概率分布,见下表。表中,Lk是第k级负荷水平;n是负荷水平分级数,T是负荷曲线的时间总长度;Tk是第k级负荷水平的时间长度。
图4
Tab.
负荷水平 | 概率 |
---|---|
L1 | P1 = T1/T |
L2 | P2 = T2/T |
… | … |
Lk | Pk = Tk/T |
… | … |
Ln | Pn = Tn/T |
通常采用聚类技术建立多级水平负荷模型。假设负荷持续曲线按对峰荷的百分数分成NL级负荷水平;相当于将8 760个负荷点编组成为NL个聚类,每级负荷水平是每个负荷曲线中某一聚类的那些负荷点的均值。
此时负荷的不确定性处理方法与2.1节介绍的电网设备故障模型相同,采用状态枚举法或蒙特卡洛方法来处理,为了提高运算速度,此时负荷不确定性处理方法与电网设备故障处理方法保持一致。
(3)负荷概率模型。负荷概率模型的基础是假定负荷水平在风险评估的时间跨度内遵循正态分布[23],这样可以求出负荷的数学期望和方差,而最后计算出来的电力系统风险指标也是随机变量。也可以根据负荷的概率分布模型先求出其概率密度函数,然后采用3.3节处理分布式发电出力的方法求解出负荷的离散概率模型,然后再采用状态枚举法或蒙特卡洛方法来处理。
6 结束语
电力系统风险的根源在于其行为的概率特征,假设表征电网行为的所有参数在未来任何时刻都是确定的,则该电网不存在风险。由于分布式发电大量接入电网,同时分布式发电高度依赖于不确定的自然环境,这就给电网带来了新的风险因素。风险是对不确定因素发生的结果的严重性及其概率的度量,通常采用概率与后果相乘的表达形式。本文主要介绍了考虑分布式发电影响的电力系统风险评估方法,包括系统状态选择方法、电力系统设备故障状态模型、风险后果评估方法和常用的风险指标,同时也给出了风险评估方法中常用的负荷模型。
参考文献
基于风险理论的电力系统元件风险评估
[J].
Risk assessment of power system components based on the risk theory
[J].
电力系统可靠性评估中的分层均匀抽样法
[J].
Stratified uniform sampling method for power system reliability evaluation
[J].
电力系统运行风险评估中元件时变停运模型分析
[J].
Analysis of a time-varying power component outage model for operation risk assessment
[J].
一种适用于运行风险评估的元件修复时间概率分布
[J].
A novel probability distribution of component repair time for operation risk assessment
[J].
Assessment and classification of line overload risk in power systems considering different types of severity functions
[J].
Risk based voltage security assessment
[J].
电网可靠性的蒙特卡洛仿真研究
[J].
Research of monte carlo simulation for power system reliability assessment
[J].
PAS-
Risk assessment for special protection systems
[J].
基于改进下垂控制的微电网运行控制研究
[J].
Research of operation control of micro-grid based on improved droop control
[J].
微网中混储/柴协调运行策略研究
[J].
Research on optimal coordinated operation for microgrid with hybrid energy storage and diesel generator
[J].
双馈式风机控制器参数整定的实用方法
[J].
A practical method on doubly-fed induction generator controller parameter determination
[J].
基于动态励磁电流的双馈风机组控制策略
[J].
A control strategy of doubly-fed induction generator based on dynamic process of excitation current
[J].
小功率光伏并网逆变器控制策略的研究
[J].
Study on control scheme based on low-power photovoltaic grid-connected inverter
[J].
基于模型识别光伏接入配电网线路纵联保护研究
[J].
Photovoltaic access to distribution network line pilot protection based on model identification
[J].
微型燃气轮机发电系统的建模与仿真
[J].
Modeling and simulation of the microturbine generation system
[J].
A simplified dynamic model of grid-connected fuel-cell generators
[J].
Hierarchical risk assessment of transmission network considering the influence of micro-grid
[J].
Hierarchical risk assessment of transmission system considering the influ-ence of active distribution network
[J].
/
〈 |
|
〉 |
