一种基于开绕组永磁电机的故障容错型发电机系统 |
魏佳丹,何健,郑青青 |
A Novel Fault Tolerant Generation System Based on the Open-Winding PM Machine |
Wei Jiadan,He Jian,Zheng Qingqing |
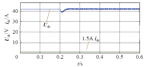
图12 输出电压和负载电流仿真波形 |
Fig.12 Simulation waveforms of the output voltage and load current |
![]() |