基于电流预测的微网下垂控制策略研究
李博,杨俊友,王海鑫

Research on Droop Control Strategy of Microgrid Based on Current Prediction
Li Bo,Yang Junyou,Wang Haixin
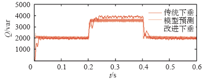
图12 DG2输出无功功率
Fig.12 DG2 output reactive power