绕组开放式永磁发电机系统整流桥电压矢量补偿控制方法
南京航空航天大学新能源发电与电能变换重点实验室 南京 210016
Compensation Method of the Voltage Vector for the Rectifier in the Open-Winding Permanent Magnet Generation System
Jiangsu Key Lab of New Energy Generation and Power Conversion Nanjing University of Aeronautics and Astronautics Nanjing 210016 China
责任编辑: 崔文静
收稿日期: 2015-03-24 网络出版日期: 2015-07-25
| 基金资助: |
|
Received: 2015-03-24 Online: 2015-07-25
作者简介 About authors
魏佳丹 男 1981年生,博士,副教授,研究方向为永磁电机及其控制。
郑青青 女 1990年生,硕士研究生,研究方向为永磁电机及其控制。
针对绕组开放式永磁发电机结合逆变器–整流桥拓扑构成的新型发电系统中由于整流桥的存在导致的发电机绕组中存在较多谐波含量的问题,分析了系统中电机绕组电流谐波的产生原因及其组成部分,根据整流桥输入电压矢量与电流状态的对应关系,对逆变器和整流桥的电压空间矢量进行合成,提出了一种基于整流桥电压空间矢量补偿的新型控制策略,消除了整流桥的非线性影响,实现绕组开放式永磁发电机系统的高效率运行。
关键词:
Due to the existence of high current harmonics caused by the rectifier in the novel open-winding permanent magnet generation system with the inverter-rectifier topology. This paper presented the analysis of the causes and components of the current harmonics. The composition of the voltage space vector diagram of the rectifier-inverter were given based on the current state. In order to compensate the vector of the non-linear rectifier, a novel control algorithm based on the voltage vector of the rectifier was proposed to verify the high efficiency and feasibility of the proposed generation system.
Keywords:
本文引用格式
魏佳丹, 郑青青, 周波, 邓清唐.
Wei Jiadan.
1 引言
绕组开放式电机结构是将传统交流电机Y或△联结方式打开,使得每相绕组都具有各自独立的端口,并且能够分别联结各种形式的变换器,开放式绕组结构使得交流电机和变换器结合方式和控制方面灵活性大大增强;并且在电机结构方面由于各相绕组之间不再相互约束,工作的可靠性也能有所提高[1,2,3,4,5]。文献[6,7,8,9]将双逆变器结构与绕组开放式永磁电机相结合,通过合适的控制策略实现两端逆变器的功率独立控制,并在此基础上实现永磁电机高速弱磁控制,相比于单逆变器供电的星形电机系统,可以有效扩展转速范围。在此基础上,文献[10]将绕组开放式永磁电机应用于发电系统,开放式绕组两端一端联结变换器,另一端直接电网,通过变换器能够实现发电机的恒转速控制和并网功率控制,将开放式绕组电机结构特点与多种能源复合式发电系统巧妙地结合起来,有效降低了系统成本。2010年,美国威斯康辛大学–麦迪逊分校Lipo教授基于绕组开放式永磁发电机,提出一种新型直驱式永磁风力发电系统拓扑结构,开放式绕组两端与半控式桥式变换器相连,在降低机侧变流器成本的同时有效解决了桥式变换器桥臂功率管直通的问题,提高了变换器运行的可靠性,然而该系统研究的初衷在于对传统发电机级联式容错变换器拓扑进行简化,以降低其成本。并且由于半控桥式变换器固有的能量单向流的特性,该系统仅适用于风力发电等无需能量双向流动的场合[11]。
文献[12]将绕组开放式永磁电机结合逆变器–整流桥拓扑构成一种新型车载起动/发电系统,利用绕组开放式电机结构特性实现了系统宽转速范围调压运行,该逆变器—整流桥拓扑成本与半控式桥式变换器基本相同,但是可以方便采用集成的功率模块,并且逆变器侧的控制方式更加灵活,亦可采用各种调制方式,有效改善发电系统的输出性能,并且该系统中发电机和直流电源之间能够实现能量双向流动的控制。然而该系统存在的问题是发电机输出通过整流桥整流之后再供给负载供电,整流桥作为系统结构中的非线性环节,导致发电机绕组电流中存在较多谐波(6n±1,n=1,2,3…),电流波形畸变严重,一定程度上影响了发电机系统的效率。
因此本文针对基于逆变器—整流桥的绕组开放式永磁发电机系统,在对比PWM整流器拓扑的基础上,分析系统中整流桥的电压空间矢量,利用逆变器输出电压矢量的幅值和相位均可控的特点,提出一种基于整流桥电压空间矢量补偿的新型发电调压控制策略,并将其与未进行补偿的系统进行详细比较,最后通过仿真和实验验证了该新型控制策略的有效性。
2 绕组开放式永磁电机发电机系统运行特性
图1所示为本文所研究的串联型绕组开放式永磁发电系统的结构图,永磁发电机的中性点打开,发电机的绕组一端与逆变器联结形成逆变侧,另一端与整流桥联结形成整流侧,整流桥的输出经过滤波电容后供给负载,整流桥的输入则为逆变器与发电机的串联结构。控制器检测输出侧电压和发电机绕组电流,采用电压、电流双闭环控制策略,在发电机转速和负载变化的条件下,控制逆变器的工作模式及其输出电压,能够在转速、负载变化条件下实现调压控制。
图1
图1
绕组开放式永磁发电机系统结构
Fig.1
System configuration of the open-winding permanent magnet generation system
相比较传统永磁发电机结合PWM整流器或者不控整流桥构成的发电系统,工作在最高运行转速时,其直流侧负载电压VL基本与发电机线电压幅值Vline相接近,即负载侧电压值VL严格限制了永磁发电机的最高运行转速nmax,并且由于永磁发电机输出相电压幅值Vphase与转速之间存在近似线性的对应关系,则

式中,k1为发电机输出相电压幅值与转速之间的比例系数。
绕组开放式永磁发电机系统中,逆变器输出电压矢量H和发电机电压矢量Vs相合成,经过整流桥输出直流电压

当发电机转速较低时,逆变器工作在逆变模式,输出电压矢量H和发电机电压矢量Vs相叠加,稳定直流侧电压值;当发电机转速较高时,其输出线电压幅值超过直流侧电压后,逆变器可以工作在整流模式,输出电压矢量H削弱发电机输出电压矢量Vs,仍然使得整流输出电压保持恒定。
极限工作条件下,当发电机运行转速达到最大值nsmax时,逆变器输出电压矢量H与发电机输出电压矢量Vs极性完全相反,则式(2)表示为

此时对应发电机相电压矢量的幅值与最大转速的关系为

式中,nsmax为绕组开放式永磁发电机的最大运行转速。
设定系统中蓄电池电压Vdc与负载侧直流电压VL的关系为

式中,k2为蓄电池电压与负载侧电压的比值。对应逆变器在蓄电池供电条件下输出电压空间矢量H的最大值为其电压空间矢量六边形的内切圆,幅值为 

比较式(1)和式(6),可得绕组开放式永磁发电机系统最高运行转速为

当蓄电池电压与直流侧输出电压相同时,相比较于传统永磁发电机结合PWM整流器构成的发电系统,绕组开放式永磁发电系统可以将发电机的最高转速范围扩展两倍。
类似PWM整流器的控制方式,绕组开放式永磁发电机系统也可以采用id = 0控制策略,采用SVPWM调制逆变器输出电压矢量与发电机电压矢量相合成,实现对直流输出电压的解耦控制。然而,由于整流桥的存在,本系统中合成电压矢量经过整流桥输出后会在发电机绕组产生大量的高次谐波电流,导致发电机运行效率下降,上述id = 0电流控制策略无法解决该问题。因此为提高本系统中发电机的运行效率,必须对其绕组中的电流谐波加以补偿控制。
3 绕组开放式永磁电机发电机系统电压空间矢量的合成
3.1 整流桥电压空间矢量的提出
本系统中绕组开放式永磁发电机绕组一端联结逆变器,另一端联结整流桥,可以将整流桥看作逆变器的一种特殊工作状态。相较于逆变器而言,整流桥中的二极管器件并不工作于PWM斩波的工作方式,而是在某一特定的时间内,一直开通或关断,其开通或关断状态与整流桥输入侧绕组电流的状态存在一一对应的关系。当电流从发电机绕组流入整流桥时,对应整流相桥臂的上管导通,下管截止;当绕组电流从整流桥流出时,对应相的下管导通,上管截止。发电机理想条件下三相绕组电流对称,整流桥根据该绕组电流状态存在六种导通状态。借鉴三相逆变器的电压空间矢量定义,将整流桥的6个导通状态定义为一组幅值相等、相位依次相差60°的六边形电压矢量,如图2所示,图中以符号“+”、“-”标示发电机绕组电流的方向,其中“+”表示整流桥对应的该相电流流入,“-”表示整流桥对应的该相电流流出,“+--”表示发电机绕组a相绕组电流为流出方法,b、c相绕组电流均为流入方向。由此获得的整流桥a电压矢量的长度为2/3VL,其中,VL为整流桥的直流侧电压。该电压矢量的相角θL由整流桥的导通截止状态也即发电机绕组电流的状态决定,见表1,即在假设交流发电机输出三相电流正弦条件下,整流桥产生该6个电压空间矢量作用在三相绕组上。
图2
图2
不同电流状态下的整流桥电压空间矢量图
Fig.2
The voltage space vector diagram of the rectifier under different current states
表1 电流状态与整流侧矢量相位关系
Tab.1
| 绕组三相电流状态 | 对应电压矢量 | θL/(°) |
|---|---|---|
| +–– | OA | 0 |
| ++– | OB | 60 |
| –+– | OC | 120 |
| –++ | OD | 180 |
| ––+ | OE | 240 |
| +–+ | OF | 300 |
3.2 系统电压空间矢量的合成
图3所示为发电系统中逆变器的电压空间矢量图,与整流桥的电压矢量不同,逆变器的电压矢量由器件的开关状态决定,其中以“1”表示桥臂上管开通,“0”表示桥臂下管开通,图中标示出不同开关状态下逆变器对应的输出电压矢量,矢量的长度为2/3VDC,其中,VDC是逆变器直流侧蓄电池的电压值。
图3
根据图1所示的绕组开放式永磁发电系统,绕组开放式永磁发电机的绕组两端分别联结整流桥和逆变器,可将发电机等效为逆变器、整流桥的负载,即可作用在发电机绕组上的电压矢量由逆变器和整流桥的矢量共同合成,文中将其称为系统电压空间矢量,该系统电压空间矢量由图2和图3的电压矢量图叠加获得。由于整流侧电压空间矢量的构成与电流状态有关,因此系统电压空间矢量图也与电流状态有关,如图4所示。图中以O′点为中心的六边形GHIJKL为逆变器输出的电压空间矢量,以O点为中心的六边形ABCDEF为整流桥产生电压空间矢量。将整流桥矢量的中心点O分别与逆变器电压矢量的末端重合,以图4a电流状态“+--”为例,此时整流桥产生电压空间矢量为OA,对应逆变器的电压空间矢量可以是6个电压矢量中的任意一个,但是在该电流状态下,对应逆变器的电压空间矢量O′J与OA方向相反,两者同时作用在电机绕组上,可以通过逆变器的电压空间矢量O′J的控制,以抵消整流桥此时产生的电压空间矢量的影响。依次类推,在其他电流状态条件下,对应逆变器均可通过相应的电压空间矢量的调制实现对整流桥输出电压矢量的抵消。
图4
图4
不同电流状态下的系统电压空间矢量图
Fig.4
System voltage space vector diagram under different current states
4 整流桥电压空间矢量补偿控制策略
由于作用在发电机上的系统电压空间矢量由逆变器电压矢量和整流桥电压矢量合成,其中整流桥电压矢量的长度和相位由整流桥直流侧电压和发电机电流状态确定,在逆变器给定电压空间矢量中增加一组与整流桥矢量方向相反的电压空间矢量,即可在调制过程中消除该整流桥电压矢量的影响,实现整流桥电压空间矢量的补偿控制功能。
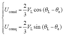
首先,根据发电机电流状态确定整流桥所产成的电压空间矢量,将其在转子磁场定向的dq坐标系进行投影分解,得到补偿矢量分量Ucomd和Ucomq如图5所示,相应的矢量补偿分量的计算式为
图5
图5
补偿矢量在dq 坐标系下的投影图
Fig.5
Projection of compensation vector at dq reference frame

将式(8)计算得到补偿矢量取反之后叠加到逆变器控制的给定电压矢量中,构成如图6所示的基于整流桥电压空间矢量补偿的发电系统控制策略。系统输出给定电压VL*与直流侧反馈电压VL相比较,偏差值经过PI调节得到q轴电流给定值iq*,d轴电流给定值id*设为0,将电流调节器的输出与整流桥电压矢量补偿值Ucomd和Ucomq叠加得到逆变器的给定电压矢量Ud*和Uq*,再通过SVPWM模块控制逆变器的输出,由此在构成系统电压、电流的双闭环控制系统的同时,实现整流桥电压矢量的补偿控制功能。
图6
图6
基于矢量补偿的发电系统控制策略
Fig.6
Control method of generation system based on the vector compensation of the rectifier
5 仿真结果分析
利用Matlab软件搭建了仿真模型,对采用整流桥电压矢量补偿前后的控制策略进行仿真,仿真参数见表2。
表2 系统仿真参数
Tab.2
| 参 数 | 数 值 |
|---|---|
| 负载电压给定值/V | 168 |
| 额定工作电流/A | 10 |
| 电机极对数 | 2 |
| 绕组内阻/Ω | 1 |
| d轴电感/ mH | 2 |
| q轴电感/ mH | 2 |
| 永磁磁链/ Wb | 0.413 8 |
| 负载大小/Ω | 37.5 |
5.1 未进行矢量补偿的控制策略仿真结果分析
图7
图7
未进行矢量补偿控制时的发电系统仿真波形
Fig.7
Simulation waveforms of generation system without the vector compensation of the rectifier
5.2 进行矢量补偿的控制策略仿真结果分析
图8
图8
基于矢量补偿的发电系统仿真波形
Fig.8
Simulation waveforms of generation system with the vector compensation of the rectifier
6 实验结果
图9
图9
绕组开放式永磁发电系统实验平台
Fig.9
Experimental platform of the open-winding permanent magnet generation system
图10
图10
补偿前后发电机的a相电压和电流
Fig.10
The experiment waveforms of voltage and current of phase A with and without the vector compensation of the rectifier
图11
图11
补偿前后绕组电流谐波分频谱
Fig.11
The spectrum waveforms of the phase current with and without the vector compensation of the rectifier
7 结论
本文针对绕组开放式永磁发电系统中由于整流桥非线性特性引起电流畸变的问题,通过综合逆变器、整流桥的矢量分析方法,将绕组开放式永磁电机作为逆变器、整流桥的负载,分析了整流桥电压空间矢量、作用在电机上的系统电压空间矢量的构成,提出了一种基于整流桥电压矢量补偿的发电控制策略,仿真和实验结果验证了控制策略的有效性。研究结果表明,由整流桥电压矢量所引起的电流谐波次数主要为5次、7次、11次、13次,通过对整流桥电压矢量进行补偿,能够有效地降低发电机绕组电流的谐波含量,提升系统发电效率。
参考文献
A dual two-level inverter scheme with common mode voltage elimination for an induction motor drive
[J].
A multilevel inverter system for an induction motor with open-end windings
[J].
Dual inverter control strategy for high speed operation of EV induction motors
[J].
Three-level inverter scheme with reduced power device count for an induction motor drive with common-mode voltage elimination
[C].
A method for supply voltage boosting in an open-ended induction machine using a dual inverter system with a floating capacitor bridge
[J].
Extension of the operating region of an IPM motor utilizing series compensation
[J].DOI:10.1109/TIA.28 URL [本文引用: 1]
Control strategies for open-end winding drives operating in the flux-weakening region
[J].
Flux-weakening operation of open-end winding drive integrating a cost-effective high-power charger
[J].DOI:10.1049/iet-est.2012.0026 URL [本文引用: 1]
Flux weakening control of an open winding machine with isolated dual inverters
[C].
Control of an open-winding machine in a grid-connected distributed generation system
[J].
Open-winding power conversion systems fed by half-controlled converters
[J].
一种绕组开路型永磁电机起动/发电系统
[J].针对永磁电机应用于车载起动/发电系统时存在的电压调节困难、适用转速范围窄、功率因数较低等问题,提出一种新型永磁车载起动/发电系统。通过引入绕组开路型永磁电机,绕组一端接整流桥形成输出直流侧,另一端接逆变桥形成控制端,构成具有宽转速范围和高效率的永磁电机起动/发电系统。分析该系统的起动、发电一体化工作原理,给出了通过逆变侧变换器实现发电机电压、电流控制的方案。仿真和实验结果表明,该新型车载起动/发电系统具有优良的发电调压控制性能,并且适应较宽的转速范围。
A novel open-winding permanent magnetic starter-generator
[J].针对永磁电机应用于车载起动/发电系统时存在的电压调节困难、适用转速范围窄、功率因数较低等问题,提出一种新型永磁车载起动/发电系统。通过引入绕组开路型永磁电机,绕组一端接整流桥形成输出直流侧,另一端接逆变桥形成控制端,构成具有宽转速范围和高效率的永磁电机起动/发电系统。分析该系统的起动、发电一体化工作原理,给出了通过逆变侧变换器实现发电机电压、电流控制的方案。仿真和实验结果表明,该新型车载起动/发电系统具有优良的发电调压控制性能,并且适应较宽的转速范围。
有源电力滤波器的改进重复控制及其优化设计
[J].
Improved repetitive control and its optimization for active power filter
[J].
一种新型的有源电力滤波器直接功率控制方法
[J].DOI:10.7667/j.issn.1674-3415.2013.04.016 URL [本文引用: 1]
A novel APF direct power control approach
[J].DOI:10.7667/j.issn.1674-3415.2013.04.016 URL [本文引用: 1]
并联型多重化三相四线有源电力滤波器综合控制策略研究
[J].DOI:10.7667/j.issn.1674-3415.2012.23.018 URL [本文引用: 1]
Integrated control strategy of three-phase four-wire shunt active power filter using multiple converters
[J].DOI:10.7667/j.issn.1674-3415.2012.23.018 URL [本文引用: 1]
24-pulse ac-dc converter for harmonic mitigation
[J].
三相电压源型PWM整流器控制方法的发展综述
[J].DOI:10.7667/j.issn.1674-3415.2012.03.028 URL [本文引用: 1]
A summary of current control methods for three-phase voltage-source PWM rectifiers
[J].DOI:10.7667/j.issn.1674-3415.2012.03.028 URL [本文引用: 1]
近正弦输入电流三相整流器的分析和参数设计
[J].研究一种低输入电流谐波的三相不控整流器。该整流器由输入电感、三相整流桥以及与整流二极管并联的电容组成,通过在交流侧加电感和在二极管上并联电容来改善网侧电流波形,提高功率因数。在分析该整流器3个工作模式的基础上,结合该电路的特性,提出一种相应的参数设计方案,给出参数的优化设计公式。利用这些公式设计了3台工作于不同模式的整流器,并通过实验进行验证和分析。结果表明该整流器与传统三相整流器相比,可显著降低输入电流的谐波含量,且在额定工作点附近可获得接近1的功率因数,从而证明了参数设计方法的正确性,可作为设计低输入电流谐波的三相不控整流器的参考依据。
Analysis and design of three-phase rectifier with near-sinusoidal input currents
[J].研究一种低输入电流谐波的三相不控整流器。该整流器由输入电感、三相整流桥以及与整流二极管并联的电容组成,通过在交流侧加电感和在二极管上并联电容来改善网侧电流波形,提高功率因数。在分析该整流器3个工作模式的基础上,结合该电路的特性,提出一种相应的参数设计方案,给出参数的优化设计公式。利用这些公式设计了3台工作于不同模式的整流器,并通过实验进行验证和分析。结果表明该整流器与传统三相整流器相比,可显著降低输入电流的谐波含量,且在额定工作点附近可获得接近1的功率因数,从而证明了参数设计方法的正确性,可作为设计低输入电流谐波的三相不控整流器的参考依据。
Continuous conduction mode operation of three-phase diode bridge rectifier with constant load voltage
[J].DOI:10.1049/ip-epa:20040684 URL [本文引用: 1]
/
| 〈 |
|
〉 |