VFTO仿真中GIS隔离开关电弧模型的研究
华东交通大学电气工程学院 南昌 330013
Research of Gas Insulated Substation Switching Arc Model in the Simulation of Very Fast Transient Over-Voltage
East China Jiaotong University of Electrical Engineering Nanchang 330013 China
责任编辑: 郭丽军
收稿日期: 2014-12-25 网络出版日期: 2015-06-25
Received: 2014-12-25 Online: 2015-06-25
作者简介 About authors
刘德东 男 1988年生,硕士研究生,从事电力系统暂态计算与分析研究。
何人望 男 1963年生,博士,主要研究电力系统继电保护。
气体绝缘变电站(GIS)中快速暂态过电压(VFTO)严重影响相关设备的安全运行和绝缘强度设计,在仿真计算中,用合理的电弧模型得到较为准确的VFTO波形就显得尤为重要。本文提出虚拟电感电弧模型,结合某1 000kV GIS变电站,通过与其他电弧模型对比,对GIS内部关键设备处的VFTO做了详细的研究,并研究了仿真步长对VFTO的影响。结果表明,虚拟电感模型是考虑弧道电感特性的电弧电阻模型的继续,相比于时变电阻模型和定值电阻电弧模型,考虑了弧道电感特性,并且解决了考虑弧道电感特性的电弧电阻模型中动态电感难以搭建并且影响系统稳定性的问题,在VFTO的研究中,适合在考虑电弧电感特性时使用。
关键词:
The very fast transient over-voltage (VFTO) in gas insulated substation (GIS) seriously affect the safe operation of the related equipment and the designing of insulating strength. So in the simulation calculation, accurate VFTO waveform under the reasonable arc model is particularly important. In this paper, virtual inductance arc model is put forward, combining with some 1 000kV GIS substation and comparing with other arc model, and detailed VFTO research of internal key equipment of GIS is made, and the influence of simulation step on VFTO is made. Result shows that virtual inductance arc model is continued of arc resistance model considering arc inductance characteristic, and it takes into account the inductance characteristics of arc compared with time-varying resistance model and the fixed value resistance model of the arc. Dynamic inductance is difficult to set up and affect the system stability in arc resistance model considering arc inductance characteristic, but virtual inductance arc model can solve the problem, so virtual inductance arc model is suitable for use when considering inductance characteristic of arc in the study of VFTO.
Keywords:
本文引用格式
刘德东, 何人望, 黄戡, 詹骥文.
Liu Dedong.
1 引言
2 GIS设备的暂态电路模型
某1 000kV特高压变电站,高压配电装置采用GIS,出线端布置并联电抗器和线路终端设备。
1 000kV高压侧采用双母线分段接线,每段母线各安装避雷器。电气主接线图如图1所示。
图1
2.1 隔离开关的电弧模型
如上述,目前在VFTO的计算中,常用的两种隔离开关的电弧模型是定值电阻模型和时变电阻模型。其中时变电阻模型是将电弧等效为一个时变电阻的形式,即电弧电阻用指数函数近似为

式中,R0 = 1012Ω;T = 1ns;Ra = 0.5Ω。
分段电弧模型中不考虑电流过零后弧隙上的恢复电压,熄弧过程中电弧电阻R是以指数曲线上升,表示为

式中,T = 1ns;Ra0为电弧熄弧临界点弧道电阻;Ra = 0.5Ω。
时变电阻模型在仿真中的模型搭建如图2所示。
图2
图2中,MODEL ARC自定义电弧电阻;R(t)为实时电弧电阻。
2.2 虚拟电感电弧模型
定值电阻模型、时变电阻模型都是纯电阻电弧模型,没有考虑电弧电感特性的阻尼作用,而VFTO频率很高,电弧电感阻尼作用对VFTO的影响较大,文献[5]在定值电阻模型和时变电阻模型的基础上,利用等效阻抗的思想,提出了考虑弧道电感特性的电弧电阻模型,用变化的电感追踪时变的电弧电阻,其阻抗模型为

式中,R为定值电阻;L为电感;X为电抗。由欧拉公式可转换为

对比式(1)〜式(3)可知,式(1)与式(2)可看成只有实部的阻抗式,并且三式均是以指数形式变化。通过不断改变式(3)中L的值,进而改变电抗X值,理论上可以追踪到式(1)与式(2)中预击穿和熄弧阶段电弧电阻的变化趋势。考虑到时变电感会影响系统的稳定性,该模型在仿真中的实现是取某一时刻的静态电感值来实现的,并没有完成动态电感的具体实现,故本文不针对此模型进行对比研究。
本文提出的虚拟电感电弧模型,是在考虑弧道电感特性的电弧电阻模型基础上推导而来,是为了解决考虑弧道电感特性的电弧电阻模型中动态电感难以搭建并且影响系统稳定性的问题,其等效阻抗为

式中,R为定值电阻,取0.5Ω;L(t)为时变电感;ω为角速度。
将式(5)变化为

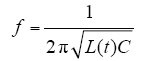
由角速度、频率的关系得

将杂散电感考虑进虚拟时变电感[6]

式中,f为频率;C为充电电容。
由式(6)~式(8)可推出

对比式(1)和式(9),利用等效阻抗思想可得到虚拟时变电感L(t)

2.3 虚拟电感电弧模型的模型搭建
图3
等值电流源为

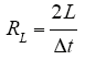
L的等值电阻RL为

由式(12)得到虚拟电感电弧模型的等值电阻为

鉴于以上分析,本文提出的虚拟电感电弧电阻模型按图4搭建的方法实现。
图4
图4中,MODEL ARC为自定义等效电阻,MODEL ARC1为自定义等值电流源,U1、U2为电弧电阻两端电压、MODEL ARC1的输入;R(t)为实时电弧电阻,MODEL ARC输出。MODEL ARC的电弧电阻输出也是MODEL ARC1的输入。
2.4 GIS其他设备的计算模型
计算中电压采用标幺值,基准取系统最高运行相电压峰值,即

3 VFTO的计算与分析
隔离开关操作时触头间隙会发生多次重燃,每次重燃都可能引起VFTO。幅值较大的VFTO在触头间距较大时产生,但两次幅值较大的重燃之间几乎无重叠,上次重燃只决定了下次重燃时空载母线的残压。因此,本文只考虑1次电弧过程中产生的VFTO,不考虑多次重燃[14]。
图5
图5
两种电弧模型下变压器处的VFTO
Fig.5
The VFTO of transformer under two kinds of arc model
由图5可以看出,虚拟电感电弧模型与时变电弧模型下变压器处VFTO曲线吻合得较好,曲线在极值点处略微不同,其中虚拟电感电弧模型下的极值点略高。
GIS设备绝缘主要受VFTO高幅值特性的影响,表1列出了虚拟电感电弧模型下与其他电弧模型在GIS关键设备处VFTO的极值的对比。
表1 GIS各关键设备处VFTO的极值
Tab. 1
| 节点位置 | VFTO幅值(pu) | ||
|---|---|---|---|
| 定值电阻模型 | 时变电阻模型 | 虚拟电感模型 | |
| 变压器 | 1.069 8 | 1.149 7 | 1.150 2 |
| 变压器QS | 2.085 1 | 2.034 5 | 1.983 4 |
| 操作QS | 1.675 3 | 1.708 8 | 1.708 8 |
| 母线端部 | 2.423 1 | 2.639 0 | 2.519 3 |
由表1可以看出,虚拟电感电弧模型与时变电阻电弧模型在GIS内部关键设备处VFTO的极值水平持平,其中时变电阻电弧模型在个别点略微高于虚拟电感电弧模型。定值电阻模型下GIS内部关键设备处VFTO的极值总体偏小。
分析了虚拟电感电弧模型与时变电阻电弧模型下操作隔离开关处的VFTO波形的频谱分布,如图6所示。
图6
图6
两种电弧模型下操作隔离开关处的VFTO 频谱分析图
Fig.6
VFTO Spectrum analysis diagram of isolatingswitch under different arc model
可以看出,两种模型振荡频率基本相同,主要有1MHz左右的基本振荡、10~40MHz左右的高频振荡、60~80MHz和90~100MHz的特高频振荡组成。
表2 不同步长下VFTO的极值
Tab. 2
| 步长/ns | 节点位置 | ||
|---|---|---|---|
| 变压器 | 操作QS | 母线端部 | |
| 0.5 | 1.152 | 1.769 | 2.642 |
| 1 | 1.150 | 1.709 | 2.519 |
| 1.5 | 1.146 | 1.699 | 2.496 |
| 2.0 | 1.141 | 1.724 | 2.364 |
| 2.5 | 1.135 | 1.750 | 2.343 |
图7
由图7分析可知,虚拟电感电弧模型受仿真步长的影响明显,随着仿真步长的增大,变压器和母线端部处VFTO的极值有规律地逐渐变小,而操作隔离开关处的VFTO随着仿真步长的增大呈先减小后增大的不规律现象,这是由操作速度等操作因素的影响造成的。
4 结语
本文提出了虚拟电感电弧模型,并结合某1 000kV GIS变电站,与其他电弧模型进行对比,对GIS内部的VFTO进行了详细计算,结果表明:
(1)虚拟电感电弧模型下得到的变压器处的VFTO波形和时变电阻模型下得到的VFTO波形基本吻合。
(2)虚拟电感电弧模型与时变电阻电弧模型在GIS内部关键设备处VFTO的极值水平持平,其中时变电阻电弧模型在个别点略微高于虚拟电感电弧模型。定值电阻模型下GIS内部关键设备处VFTO的极值总体偏小。
(3)虚拟电感电弧模型与时变电阻电弧模型两种模型振荡频率基本相同,主要有1MHz左右的基本振荡、10~40MHz左右的高频振荡、60~80MHz和90~100MHz的特高频振荡组成。
(4)虚拟电感电弧模型受仿真步长的影响明显,随着仿真步长的增大,变压器和母线端部处VFTO的极值有规律地逐渐变小,而操作隔离开关处的VFTO随着仿真步长的增大呈现先减小而后增大的不规律现象,这是由操作速度等其他操作因素的影响造成的。
综合以上结论,结果表明:虚拟电感模型是考虑弧道电感特性的电弧电阻模型的继续,相比于时变电阻模型和定值电阻电弧模型,考虑了弧道电感特性,并且解决了考虑弧道电感特性的电弧电阻模型中动态电感难以搭建并且影响系统稳定性的问题,在VFTO的计算和分析中,适合在考虑电弧电感特性时使用。
参考文献
VFTO仿真中GIS隔离开关电弧模型的研究进展
[J].
The research progress of isolating switch arc model in GIS simulation of VFTO
[J].
Influence of switching conditions on the VFTO magnitudes in a GIS
[J].DOI:10.1109/61.956734 URL [本文引用: 1]
1000 kV GIS变电所VFTO特性研究
[J].
VFTO characteristic research of 1000 kV GIS substation
[J].
考虑弧道电感特性的电弧电阻模型下VFTO的研究
[J].
The VFTO research under the arc resistance model caring about inductance characteristics
[J].
短空气间隙弧阻模型的研究
[J].
Study of arc resistance model for short air gap
[J].
750 kV GIS中运行方式对快速暂态过电压的影响
[J].
Influence of operation modes to very fast transient voltage in 750kV GIS
[J].
1 100kV GIS 隔离开关分合容性小电流试验中的暂态电压测量
[J].
Transient voltage measurement in switching small capacitive current test of 1100 kV GIS disconnector
[J].
限制GIS中隔离开关操作引起的过电压的研究
[J].
Study on suppression of switching overvoltage caused by operation of disconnector in GIS
[J].
GIS中隔离开关电弧模型对快速暂态过电压的影响
[J].
The influence of isolating switch arc in the GIS model to fast transient overvoltage
[J].
分段电弧模型VFTO的计算与分析
[J].In computational process of very fast transient over-voltage, it is essential to find the exact model of the SF6-gas insulated substation. The arcing model of disconnector is particularly important. In the paper, the segmental arcing model, based on the distributed parameter theory and the physical process of arc, is proposed in comparison with the common arcing model in the nowadays. Moreover combined with a 550kV station and utilized the Fortran language and Matlab program, the VFTO is simulated in detail under the condition of varied arcing models. It is indicated that the physical process of arc is modeled precisely by the segmental arcing model. And it is useful during the calculation of VFTO.
Calculation of VFTO on the condition of segmental arcing model
[J].In computational process of very fast transient over-voltage, it is essential to find the exact model of the SF6-gas insulated substation. The arcing model of disconnector is particularly important. In the paper, the segmental arcing model, based on the distributed parameter theory and the physical process of arc, is proposed in comparison with the common arcing model in the nowadays. Moreover combined with a 550kV station and utilized the Fortran language and Matlab program, the VFTO is simulated in detail under the condition of varied arcing models. It is indicated that the physical process of arc is modeled precisely by the segmental arcing model. And it is useful during the calculation of VFTO.
Modeling and analysis guidelines for very fast transients
[J].
GIS 开关电弧建模及其对 VFTO 波形的影响
[J].Study on the effect of switching arc on very fast transient overvoltage (VFTO) in gas insulated substation (GIS) is important to determination of the voltage at ends of the GIS busbar and verification of the VFTO withstand level of GIS and the related equipments. The modeling of switching arc for VFTO analyses is studied in this paper. The arc is represented as a time-variant resistance and modelled as an equivalent voltage source. The method is valid for arc modeling under various conditions, and produces remarkable simplification. Solutions of the node voltage at the ends of the GIS busbar are analytic or quasi-analytic in frequency-domain and have an increased accuracy. Based on the hyperbola type resistance model, the effect of the switching arc on VFTO waveform is analyzed in details. The method can be applied to the simulation of switching arc effect on VFTO in GIS with a complex structure.
Modeling of GIS switching arc and its effect on VFTO waveforms
[J].Study on the effect of switching arc on very fast transient overvoltage (VFTO) in gas insulated substation (GIS) is important to determination of the voltage at ends of the GIS busbar and verification of the VFTO withstand level of GIS and the related equipments. The modeling of switching arc for VFTO analyses is studied in this paper. The arc is represented as a time-variant resistance and modelled as an equivalent voltage source. The method is valid for arc modeling under various conditions, and produces remarkable simplification. Solutions of the node voltage at the ends of the GIS busbar are analytic or quasi-analytic in frequency-domain and have an increased accuracy. Based on the hyperbola type resistance model, the effect of the switching arc on VFTO waveform is analyzed in details. The method can be applied to the simulation of switching arc effect on VFTO in GIS with a complex structure.
GIS中快速暂态过电压的计算及其影响因素分析
[J].
The analysis of GIS fast transient over-voltage calculation and its influencing factors
[J].
1000kV紧凑型输电线路的电气参数及电磁暂态分析
[J].Electrical parameters, power frequency overvoltages, secondary-arc currents, switching surges and so on of inverse triangle arranged 1 000 kV compact transmission lines are analyzed and compared with those of conventional types of transmission lines. Comparison results show that the compact transmission lines possess higher natural power and their electrical parameters are balanced better. To meet the demand on restricting power frequency overvoltage and secondary-arc current, it is necessary for compact transmission line to possess higher capacity of high voltage shunt reactor and larger reactance value of grounding reactor connected to the neutral. It is found in the research that the neutral voltage of high voltage shunt reactor for 1 000 kV compact transmission lines is high, and in the calculation example of this paper it exceeds corresponding withstand voltage level in ultra high voltage (UHV) pilot project. For this reason, it is recommended to properly enhance the insulation level of the neutral of high voltage shunt reactor for 1 000 kV compact transmission lines. Besides, in view of that the phase spacings of compact transmission lines are obviously less than those of conventional transmission lines, so it is necessary to check the inter-phase insulation level. If necessary, the four-star connection of metal oxide arresters (MOA) could be adopted to restrict the inter-phase switching surge of compact transmission lines.
Analysis on electrical parameters and eletromagnetic transient of 1000kV compact transmission line
[J].Electrical parameters, power frequency overvoltages, secondary-arc currents, switching surges and so on of inverse triangle arranged 1 000 kV compact transmission lines are analyzed and compared with those of conventional types of transmission lines. Comparison results show that the compact transmission lines possess higher natural power and their electrical parameters are balanced better. To meet the demand on restricting power frequency overvoltage and secondary-arc current, it is necessary for compact transmission line to possess higher capacity of high voltage shunt reactor and larger reactance value of grounding reactor connected to the neutral. It is found in the research that the neutral voltage of high voltage shunt reactor for 1 000 kV compact transmission lines is high, and in the calculation example of this paper it exceeds corresponding withstand voltage level in ultra high voltage (UHV) pilot project. For this reason, it is recommended to properly enhance the insulation level of the neutral of high voltage shunt reactor for 1 000 kV compact transmission lines. Besides, in view of that the phase spacings of compact transmission lines are obviously less than those of conventional transmission lines, so it is necessary to check the inter-phase insulation level. If necessary, the four-star connection of metal oxide arresters (MOA) could be adopted to restrict the inter-phase switching surge of compact transmission lines.
考虑GIS外壳传输特性的VFTO计算模型
[J].The exact transient circuit model of gas insulated switchgear (GIS) can directly affect the accuracy of very fast transient overvoltage (VFTO) results in case of calculation. Taking a 1 100 kV GIS substation in China as example, a model symbolizing the transmitting characteristics of GIS enclosure is formed on the basis of theory of multi-conductor transmission lines and phase-model transformation method. By combining above model with the internal transient circuit model of GIS, the VFTO produced by operation of disconnector is calculated and analyzed in details such as the maximum value, spectrum characteristics and rising rate of VFTO on the principal devices inside GIS. Besides, the effect of residual voltage on unoperated phase bus on VFTO of operated phase is also discussed. The calculation and research results could be used as reference for electrical design of GIS and those electric devices connected with it.
Calculation model of VFTO considering transmitting character- ristics of GIS enclosure
[J].The exact transient circuit model of gas insulated switchgear (GIS) can directly affect the accuracy of very fast transient overvoltage (VFTO) results in case of calculation. Taking a 1 100 kV GIS substation in China as example, a model symbolizing the transmitting characteristics of GIS enclosure is formed on the basis of theory of multi-conductor transmission lines and phase-model transformation method. By combining above model with the internal transient circuit model of GIS, the VFTO produced by operation of disconnector is calculated and analyzed in details such as the maximum value, spectrum characteristics and rising rate of VFTO on the principal devices inside GIS. Besides, the effect of residual voltage on unoperated phase bus on VFTO of operated phase is also discussed. The calculation and research results could be used as reference for electrical design of GIS and those electric devices connected with it.
/
| 〈 |
|
〉 |