基于半桥变换器与次序耦合变压器的超级电容均压
辽宁工程技术大学电气与控制工程学院 葫芦岛 125105
Voltage Balancing for Supercapacitor Based on a Half-Bridge Inverter and Sequence Coupling Transformer
Liaoning Technical University Electrical Control Engineering Institute Huludao 125105 China
责任编辑: 郭丽军
收稿日期: 2015-01-19 网络出版日期: 2015-06-25
Received: 2015-01-19 Online: 2015-06-25
作者简介 About authors
李洪珠 男 1974年生,副教授,博士研究生。主要从事电力电子和电力系统领域的研究。
孙佳月 女 1990年生,硕士研究生,主要从事电力电子磁集成技术研究。
针对于超级电容串联储能系统中单体电压不均衡的问题,本文介绍了一种基于半桥变换器和首尾次序耦合变压器的均压电路。利用次序耦合绕组可以减小因变压器单元漏感误差而引起的超级电容单体电压不均衡。该电路结构简单,还可以均衡超级电容器的电压,恒定开关频率和占空比,不需要反馈控制环节。通过分析半桥变换器每个工作模态,建立了输出电压方程,推导了串联超级电容电压均衡方程。根据电路特性,分析了变压器匝比设计方程及实现软开关变压器原边漏感要求。仿真及实验结果表明此均压电路具有均压速度快且均压效果好的特点。
关键词:
According to the problem that cell voltage imbalance of series connected super capacitor in energy storage system, this paper presented a voltage-balance circuit for super capacitors in a half-bridge inverter based on the sequence coupling array integrated magnetic method.Sequence coupling method was used in secondary winding of converter to achieve voltage balance of monomer, which can reduced voltage unbalance caused by leakage error in transformer. The circuit topology is simple, and can automatically balance super capacitor voltage ,feedback control can be eliminated when the system is operated with a fixed switching frequency and duty ratio. By analyzing the each working mode of half-bridge converter, established the output voltage equations,and the super capacitor voltage balance equation. According to the circuit characteristics, analyzes the design equation of the transformer turns ratio,and the leakage inductance of the transformer primary to achieve soft switch。The simulation and experimental results show that this equalizing circuit has both speed and pressure equalizing good features.
Keywords:
本文引用格式
李洪珠, 孙佳月, 马文涛, 程江涛.
Li Hongzhu.
1 引言
微网是由分布式电源、分布式储能和能量管理模块构成负荷的供电系统,与负荷一起组成一个独立的可控系统,解决了大电网与分布式电源之间的矛盾。储能系统是调节微电源性能,保证负荷供电质量,抑制系统振荡的重要环节,因此储能技术在微网中具有十分重要的作用。超级电容器[1,2,3]作为一种新型的储能器件,具有法拉级甚至数千法拉的容量,作为介于传统静态电容和电池之间的新型储能元件,超级电容器具有功率密度高,充放电速度快,使用温度宽,循环寿命长的优点,因此被广泛用于微网储能系统中。但超级电容器单体电压较低,必须将多个超级电容器串联起来满足电压的需求。超级电容容量偏差、漏电流以及等效串联电阻的不同,都会使超级电容在充电时出现过充电现象,影响电容器使用寿命,因此超级电容在串联应用时必须考虑均压问题。
本文介绍了一种基于半桥变换器和首尾次序耦合变压器的均压电路,利用变压器单元二次绕组首尾相接实现超级电容能量转移。此均压电路明显地减少了电路的复杂性,且均压过程不需要反馈控制环节。通过仿真分析和实验,验证了该新型电压均衡电路的可行性和有效性。
2 均压电路模型及其原理分析
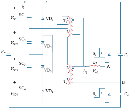
2.1 电路拓扑结构
图1
图2
2.2 工作原理分析
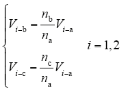
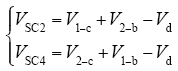
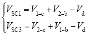
半桥变换器的开关S1和S2以接近50% 的占空比互补导通,超级电容器的端电压分别为VSC1、VSC2、VSC3和VSC4,二极管压降为 Vd,由图2可得变压器一次绕组电压为

变压器二次绕组的端电压为

图3
图4
模态1(t0~t1)(图4a):开关S1导通,变压器漏感Lp中的电流iLp上升,分为两种情况:
(1)当超级电容器单体电压小于变压器二次电压时,二极管VD2和VD4导通,流过二极管VD2和VD4的电流iVD2和iVD4上升,此时

(2)当超级电容器的单体电压大于变压器二次电压时,超级电容器所对应的二极管不导通,超级电容器将能量回馈给电源。
模态2(t1~t2)(图4b):开关S1关断,变压器漏感Lp中的电流iLp经过开关S2中的反并联二极管续流,S2ZVS导通,且二极管VD2和VD4持续导通,电流iLp下降,流过二极管VD2和VD4的电流iVD2、iVD4下降。
模态3(t2~t3)(图4c):在t3时刻,变压器漏感Lp中的电流iLp下降到0,电流iLp开始反向上升,也分为两种情况:
(1)当超级电容器单体电压小于变压器二次电压时,二极管VD1和VD3导通,流过二极管VD1和VD3的电流iVD1、iVD3增长,此时

(2)当超级电容器的单体电压大于变压器二次电压时,同模态1(2)的情况。
模态4(t3~t0)(图4d):开关S2关断,变压器漏感Lp中的电流iLp经过开关S1中的反并联二极管续流,S1ZVS导通,且二极管VD1和VD3持续导通,变压器漏感Lp中的电流iLp反向下降,流过二极管VD1和VD3的电流iVD1和iVD3下降。当电流iLp下降到0时,开始下一个周期。由式(2)~式(4)得

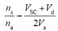
设变压器的匝比为na : nb : nc,其中nb = nc = ns,由式(1)和式(5)可得,各超级电容端电压表达式为

2.3 参数的设计
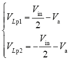
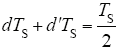
半桥变换器在前后两个半周期内的工作原理相同,这里只对t0~t2阶段进行分析。假设半桥变换器无损耗,在模态1和模态2中,变压器漏感Lp上的电压分别为VLp1和VLp2,则有

稳定情况下,根据伏秒特性,有式(8)成立。

TS1、TS2的关系为

由式(7)~式(9)可得

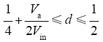
设开关管的占空比为d,则

若要实现开关的ZVS导通,需要满足

把式(10)和式(11)代入式(12)得

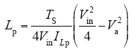
变压器漏感Lp为

结合式(8)和式(10)得

一般,半桥变换器中的变压器一次电压Va满足关系

根据式(6)可得变压器的匝比为

3 仿真与实验
表1 超级电容参数
Tab.1
| 参 数 | 名 称 | |||
|---|---|---|---|---|
| SC1 | SC2 | SC3 | SC4 | |
| 额定电压/V | 2.7 | 2.7 | 2.7 | 2.7 |
| 容量/F | 29 | 29.5 | 30 | 31 |
| ESR/mΩ | 100 | 110 | 115 | 105 |
| 初始电压/V | 1.3 | 1 | 0.6 | 1.6 |
图5
图6
实验采用的超级电容器为锦州凯美公司生产的HP-2R7-J307UY,单体容量为30F,额定电压为2.7V,开关管为MOSFET IRF540,二极管采用MBR20100CT。工作频率和占空比分别为20kHz和0.48,Vin设置为10.8V。 图7为实验测得的波形图,实验结果与理论分析以及仿真相一致,两个开关S1和S2均可以实现ZVS导通,二极管VD1(VD3)和VD2(VD4)交替导通,实现超级电容器的均压。
图7
4 结论
超级电容器因其容量,等效串联内阻等不同,在串联使用时会导致单体电压不均衡,影响超级电容器的使用寿命和可靠性,本文介绍了一种基于半桥变换器和首尾次序耦合变压器的均压电路,变压器一次绕组并联,二次绕组首尾相接,能够实现超级电容器的自主电压均衡,通过分析均压的原理,得到了适用于此电路的占空比以及变压器的匝比,仿真和实验结果验证了该电路具有良好的均压特性。
参考文献
串联电容器动态电压均衡技术研究
[J].介绍一种基于DC-DC变换器的新型串联电容器组电压均衡电路。该电压均衡电路从超级电容器组汲取能量,并且将这部分能量传递至电压最低的超级电容器单元,最终实现所有超级电容器组单元的电压均衡。与现有的电压均衡策略相比,提出的电压均衡电路能够实现超级电容器组单元的自动均压,不需要庞大的电压检测电路和复杂的控制电路,而且功率变换器实现了零电压零电流开关,可实现高效率和小体积。还给出新型电压均衡电路的参数设计方法,分析其工作特性。实验结果证明了该均衡电路的优良的动态和稳态均压性能。
Dynamic voltage equalization technique for series connected ultra-capacitors
[J].介绍一种基于DC-DC变换器的新型串联电容器组电压均衡电路。该电压均衡电路从超级电容器组汲取能量,并且将这部分能量传递至电压最低的超级电容器单元,最终实现所有超级电容器组单元的电压均衡。与现有的电压均衡策略相比,提出的电压均衡电路能够实现超级电容器组单元的自动均压,不需要庞大的电压检测电路和复杂的控制电路,而且功率变换器实现了零电压零电流开关,可实现高效率和小体积。还给出新型电压均衡电路的参数设计方法,分析其工作特性。实验结果证明了该均衡电路的优良的动态和稳态均压性能。
Interactive charging performance of a series connected battery with shunting equalizers
[C].
基于FPGA的超级电容器均衡充电电路设计与实现
[J].
Charging equalization circuit design and implement for ultra-capacitors based on FPGA
[J].
超级电容器串联技术的研究
[J].
DOI:10.1186/1475-925X-9-46
URL
PMID:20819212
[本文引用: 1]
The results of an in vivo study on the "ratio method" used in electronic foramen locators (EFL) are presented. EFLs are becoming widely used in the determination of the working length (WL) during the root canal treatment. The WL is the distance from a coronal reference point to the point at which canal preparation and filling should terminate. The "ratio method" was assessed by many clinicians with the aim of determining its ability to locate the apical foramen (AF). Nevertheless, in vivo studies to assess the method itself and to explain why the "ratio method" is able to locate the apical foramen and is unable to determine intermediate distances were not published so far.
Study on the technique of supercapacitors connected in series
[J].
DOI:10.1186/1475-925X-9-46
URL
PMID:20819212
[本文引用: 1]
The results of an in vivo study on the "ratio method" used in electronic foramen locators (EFL) are presented. EFLs are becoming widely used in the determination of the working length (WL) during the root canal treatment. The WL is the distance from a coronal reference point to the point at which canal preparation and filling should terminate. The "ratio method" was assessed by many clinicians with the aim of determining its ability to locate the apical foramen (AF). Nevertheless, in vivo studies to assess the method itself and to explain why the "ratio method" is able to locate the apical foramen and is unable to determine intermediate distances were not published so far.
一种新颖的串联超级电容器组的电压均衡方法
[J].
A novel voltage balancing method for series connected supercapacitor strings
[J].
超级电容器电力储能系统的电压均衡策略
[J].A model for supercapacitor voltage balancing strategy is introduced, on this basis the authors propose a novel supercapacitor voltage balancing method, namely flying capacitor voltage balancing method, which can efficiently transfer the energy in the capacitor with the highest voltage into that with the lowest voltage, the balancing speed of the proposed method is fast. Firstly, the working principle and process of the proposed method is analyzed in detail, then the rules to choose parameters of flying capacitor is given. Finally, simulation analysis and experiment of the module composed of three supercapacitor connected in series are performed. Results show that the flying capacitor voltage balancing method is practicable and possesses high value for supercapacitor energy storage system.
Voltage balancing strategy for supercapacitor power storage system
[J].A model for supercapacitor voltage balancing strategy is introduced, on this basis the authors propose a novel supercapacitor voltage balancing method, namely flying capacitor voltage balancing method, which can efficiently transfer the energy in the capacitor with the highest voltage into that with the lowest voltage, the balancing speed of the proposed method is fast. Firstly, the working principle and process of the proposed method is analyzed in detail, then the rules to choose parameters of flying capacitor is given. Finally, simulation analysis and experiment of the module composed of three supercapacitor connected in series are performed. Results show that the flying capacitor voltage balancing method is practicable and possesses high value for supercapacitor energy storage system.
纯电动汽车动力锂电池均衡充电的研究
[J].
Charge equalization of li-ion battery for electric vehicles
[J].
锂电池组均衡充电与管理系统设计
[D].
/
| 〈 |
|
〉 |