直接功率控制中的矢量表理论和实验研究
北方工业大学电力电子与电气传动北京市工程研究中心 北京 100144
Switching Table Theory and Experimental Study of Direct Power Control
North China University of Technology Beijing 100144 China
责任编辑: 崔文静
收稿日期: 2015-03-24 网络出版日期: 2015-06-25
Received: 2015-03-24 Online: 2015-06-25
作者简介 About authors
张永昌 男 1982年生,博士,研究员,研究方向为模型预测控制在电力电子与电机控制中的应用。
彭玉宾 男 1990年生,硕士研究生,研究方向为三电平变换器模型预测控制。
基于矢量表的直接功率控制由于其结构简单、动态响应快、参数鲁棒性好和无需电流内环整定等优点而得到了国内外学者的广泛关注。开关矢量表的建立是直接功率控制中的核心研究内容,目前文献中已经出现了各种各样的矢量表,但在扇区划分和矢量选择上并不统一,对矢量表建立的内部机理也阐述的比较模糊。因此,有必要对矢量表的建立机理进行详细的分析,研究众多矢量表方案的联系和区别并对它们各自的性能进行比较。本文采用数学推导和几何图示的方法对直接功率控制中矢量表建立的机理进行了详细研究,分析得出了六种可行的矢量表,其中三种已经在现有文献中有报道,而另外三种尚未见诸文献。本文以六种矢量表中两种矢量表为例进行了仿真和实验研究,二者均可实现有功和无功的解耦控制,而且具有相似的动态响应,但稳态性能有所差异。仿真和实验结果验证了本文的矢量表建立理论的有效性。
关键词:
Direct power control (DPC) is attracting wide attention throughout the world due to its merits of simple structure, quick dynamic response, strong robustness against parameter variations and no need of inner current loop tuning work. The establishment of switching table is the key aspect of DPC and so far there are various switching tables in the literature. However, they differ in the sector division and vector selection and the explanation of switching table establishment is not clear. Hence, it is necessary to give a detailed study of the establishment of switching table and compare the performance of various switching tables. This paper gives a detailed analysis on the mechanism of switching table using mathematical derivation and geometry illustration. Six feasible switching tables are obtained, of which three have been reported in the literature while other three are not. This paper studies two of the six switching tables using simulations and experimental tests. Both methods can achieve decoupled control of active power and reactive power, quick dynamic responses while they are different in steady state performance. The presented simulation and experimental results validate the effectiveness of the theory of switching table establishment.
Keywords:
本文引用格式
张永昌, 彭玉宾, 曲昌琦.
Zhang Yongchang.
1 引言
电压型PWM(pulse width modulation)整流器由于其电流谐波畸变率低、可控功率因数和能量双向流动等特点,在各种电能转换和传输领域得到了广泛应用[1,2,3]。随着PWM 整流器应用的不断深入,其性能要求越来越高,这就对PWM 整流器的控制技术提出了更高的要求,相应地,越来越多的控制方法被提出来用以对PWM整流器进行控制。近年来不断有新的控制方法被提出,包括滑模控制[4,5]、模糊控制[6,7]和模型预测控制[8,9]等。其中滑模控制可以增强系统的鲁棒性,模糊控制适用于一些参数未知的系统,而模型预测控制具有原理简单、动态性能优异等优点。这些方法虽然提高了系统性能,但一般计算量较大,限制了其在实际中的应用。
随着瞬时功率理论的发展,1998年Toshihiko Noguchi提出了直接功率控制(Direct Power Control,DPC)[12],引起了广泛关注。与VOC不同,DPC不需要电流的旋转变换,通过开关表直接选择合适的电压矢量对有功和无功进行直接控制,从而具有算法简单、动态响应速度快等优点[13,14,15,16]。DPC中开关矢量表是核心内容,它对控制效果的影响也最为显著。早期文献[12]中的开关矢量表在稳态时有较大功率脉动,为此后续有众多学者对开关矢量表进行了深入研究并提出了其他新型矢量表[17,18,19],但这些矢量表在扇区划分和矢量选择上并不统一。目前较少有文献对矢量表的建立机理进行细致地分析,大都只是进行定性的近似处理。另外现有矢量表之间的联系和区别以及不同矢量表的性能比较尚缺乏深入细致地研究。
为此,本文在详细分析不同电压矢量对有功功率和无功功率影响的基础上,用数学推导结合几何图示的方法对扇区划分和矢量选取进行了详细研究,分析得到了六种矢量表。其中有三种矢量表已经被报道,而另外三种矢量表尚未见诸文献。本文以其中两种矢量表为例进行了仿真和实验对比研究,结果表明二者都可以取得良好的动态性能和有功/无功功率的有效解耦,但稳态性能有所不同。仿真和实验结果证明本文所提出的矢量表建立理论是正确有效的,从而为进一步优化DPC中的矢量表提供了理论依据。
2 PWM整流器数学模型
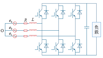
图1是三相电压型PWM整流器的主电路,其中ea、eb和ec为网侧三相交流电压,L和R分别为三相交流电抗器的电感和等效电阻。
图1
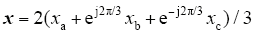
引入三相/二相坐标变换[20],即

式中,x为变换后的复矢量;xa,xb,xc为三相abc坐标下的物理量,可以得到PWM整流器在静止αβ坐标上的数学模型为[20]

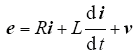
式中,e、i和v分别为网侧电压矢量、网侧电流矢量和整流器交流侧输出电压矢量。
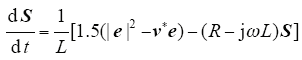
根据瞬时功率理论[21],网侧复功率S可以表示为

式中,*表示共轭。对式(3)分解可得瞬时有功p和瞬时无功q分别为

假设三相电网电压平衡且正弦,即e = |e|ejωt,则有de/dt=jωe。对式(3)进行微分并结合式(2)可以得到复功率的导数为

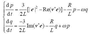
分解式(5)为实部和虚部,可得

式(6)为分析不同电压矢量对有功和无功的影响提供了依据。
3 矢量表机理分析
3.1 矢量选择
到目前为止,已经出现了若干种矢量表,但大部分文献并没有对矢量表的建立进行详细的推导。另外,也少有文献来分析和对比不同矢量表之间的联系和区别。为此,本文用数学推导和几何图示的方法对直接功率控制中矢量表建立机理进行了详细分析,下面进行具体阐述。
直接功率控制策略需要根据有功和无功的误差以及电网电压矢量的位置来选择出能减小功率误差的最佳矢量。不同于早期文献采用的12扇区,本文利用6个空间电压有效矢量(V1~V6)将12扇区简化为6个扇区(θ1~θ6),如图2所示。
图2
根据电网电压矢量在αβ坐标系中的分量eα、eβ来确定其相位θ(θ = arctan(eβ/eα)),当0<θ≤π/3时,则空间电压矢量位于扇区θ1中,其余扇区θn依此类推,具体表达式如式(7)所示。需要指出的是,上述扇区划分是基于理想平衡电网条件所得,不考虑电网畸变等因素。

假设p = 1 000W,q = 0var,|e| = 122V,L = 10mH,R = 0.3Ω(与仿真和实验参数一致),由式(6)可以得出有功功率和无功功率变化率为0的条件为


由于电感电阻很小,在式(8)和式(9)计算中可以忽略。假设电网电压落在第一扇区(0~60°),根据式(8)可得,满足有功功率变化率为0的电压矢量落在直线AB上,如图3所示。在AB左面有功功率的变化率大于0,在AB右面有功功率的变化率小于0。同样分析无功功率变化率可得满足无功功率变化率为0的电压矢量落在直线CD上,在CD上侧无功功率的变化率大于0,在CD下侧无功功率的变化率小于0。
图3
图3
第一扇区不同电压矢量的有功/ 无功变化率
Fig.3
Active/reactive power slopes of various voltage vectors in the first sector
表1 第一扇区电压矢量选择表
Tab. 1
| Δp | Δq | 扇区1 |
|---|---|---|
| 增加 | 增加 | V0V7V3V4 |
| 增加 | 减少 | V5V6 |
| 减少 | 增加 | V2 |
| 减少 | 减少 | V1 |
表2 第k扇区电压矢量选择表
Tab. 2
| Δp | Δq | 扇区k |
|---|---|---|
| 增加 | 增加 | V0 V7Vk+2Vk+3 |
| 增加 | 减少 | Vk-2Vk-1 |
| 减少 | 增加 | Vk+1 |
| 减少 | 减少 | Vk |
以上分析是由dp/dt = 0和dq/dt = 0两条直线来将对应不同功率变化的复矢量平面划分成4个区域,并且以第一扇区为例进行了具体阐述。下面从另一个角度来分析不同电压矢量对功率变化的影响。
不失一般性,仍假设PWM整流器工作在稳态运行点p = 1 000 W,q = 0var,母线电压Udc = 300V,电网电压矢量e = |e|ejωt在复平面空间以电网角频率匀速旋转,不同的整流器电压矢量可以表示为 
图4
图4
所有扇区不同电压矢量的有功/ 无功变化率
Fig.4
Slopes of active/reactive power for various rectifier voltage vectors in all sectors
3.2 不同矢量表性能的理论分析
从2.1节得出了六种不同的矢量表,这六种矢量表的性能有多大区别是值得探讨的一个问题,下面首先从理论的角度对这几种矢量表的性能优劣进行简要的分析。
由图4可知,零电压矢量V0,7产生的有功功率和无功功率变化率相对其他非零矢量要小,因此在需要增加有功和无功时选用零矢量应该能够取得更好的稳态效果,也就是说第一种矢量表和第六种矢量表的控制效果要比其他的矢量表控制效果好。进一步对第一种矢量表和第六种矢量表的矢量选择进行分析,以第一扇区为例,第一种矢量表和第六种矢量表的不同在于有功功率变化率增加而无功功率变化率减小的情况下选取电压矢量不同。第一种矢量表选取的电压矢量为V6,而第六种矢量表选取的电压矢量为V5。仔细观察图4画圈处可以发现V5不完全满足使无功减小的条件,在60°附近它使得无功功率变化率由负变为正,而V6在整个第一扇区都满足有功和无功的变化要求。因此可以认为第一种矢量表应该优于第六种矢量表。下面通过具体仿真和实验来对本文的理论分析进行验证。
4 仿真和实验结果
4.1 仿真结果
图5
表9 系统的主要参数
Tab. 9
| 系统参数 | 数值 |
|---|---|
| 交流侧线电压有效值/V | 150 |
| 频率/Hz | 50 |
| 交流侧电感/mH | 10 |
| 直流母线电容/μF | 840 |
| 母线电压/V | 300 |
| 采样频率/kHz | 20 |
在Matlab/Simulink环境中对这六种不同的矢量表进行了相关的仿真,仿真参数与实验参数一致。由于中间四种矢量表的效果相差不大以及篇幅有限,仿真和实验结果不一一给出,本文只给出了第一种矢量表和第六种矢量表控制下的结果。图6是第一种矢量表控制下的仿真结果,从上到下所示曲线依次为:有功和无功、直流侧母线电压、电网相电压和相电流。在0.05s时系统从空载突加1kW负载,从图中可以看出,负载突变使得母线电压稍有跌落,相应的有功功率也快速提高与负载功率平衡。在此过程中无功功率始终为0,保持单位功率因数,这从电网电压和电流的同相位也可以直观看出。图7为第六种矢量表的仿真结果,与图6的动态性能基本一致,但有功功率的脉动相对较大,无功脉动没有明显差异。进一步对系统带1kW负载时的稳态电流进行了频谱和THD分析,如图8和图9所示。可以看出第一种矢量表的THD比第六种矢量表要小,具体的量化稳态性能指标见表10。虽然稳态性能有所差异,但两种矢量都实现了有功和无功的解耦控制,而且动态性能相似,验证了第二部分理论分析的正确性。
图6
图6
基于第一种矢量表的DPC 突加1kW 负载仿真结果
Fig.6
Simulation results of DPC based on the first switching-table when 1 kW load is applied
图7
图7
基于第六种矢量表的DPC 突加1kW 负载仿真结果
Fig.7
Simulation results of DPC based on the sixth switching-table when 1 kW load is applied
图8
图8
基于第一种矢量表DPC 的网侧电流频谱(仿真)
Fig.8
Simulated harmonic spectrum of grid side current for DPC based on the first switching-table
图9
图9
基于第六种矢量表DPC 的网侧电流频谱(仿真)
Fig.9
Simulated harmonic spectrum of grid side current for DPC based on the sixth switching-table-based DPC
表10 两种矢量表稳态性能的仿真结果对比
Tab. 10
| 第一种矢量表 | 第六种矢量表 | |
|---|---|---|
| THD(%) | 5.74 | 6.46 |
| Pripple/W | 178.39 | 186.26 |
| Qripple/var | 20.38 | 22.77 |
4.2 实验结果
图10
图10
基于第一种矢量表DPC 的稳态波形
Fig.10
Steady response based on the first switching-tablebased DPC
图11
图11
基于第六种矢量表DPC 的稳态波形
Fig.11
Steady response based on the sixth switching-tablebased DPC
图12
图12
基于第一种矢量表DPC 的网侧电流频谱
Fig.12
Harmonic spectrum of grid side current for DPC based on the first switching-table
图13
图13
基于第六种矢量表DPC 的网侧电流谐波频谱
Fig.13
Harmonic spectrum of grid side current for DPC based on the first switching-table
表11 两种矢量表稳态性能的实验结果对比
Tab. 11
| 第一种矢量表 | 第六种矢量表 | |
|---|---|---|
| THD(%) | 7.20 | 7.55 |
| Pripple/W | 44.02 | 66.88 |
| Qripple/var | 44.28 | 46.54 |
图14
图14
基于第一种矢量表DPC 的突加载响应
Fig.14
Responses to stepped increase in load for DPC based on the first switching-table
图15
图15
基于第六种矢量表DPC 的突加载响应
Fig.15
Responses to stepped increase in load for DPC based on the sixth switching-table
前面实验波形均在直流母线电压闭环的条件下得到,为了避免母线电压外环PI系数的影响,图16和17给出了电压外环开环,即仅有功率闭环时的实验波形。测试条件为有功给定从600W阶跃到1 000W,无功给定控制为零。可以看出,有功功率能够快速跟踪指令值,且实现了有功和无功的解耦控制,二者动态性能十分类似,但第一种矢量表的有功功率脉动更小,电流波形也更为正弦和平滑。
图16
图16
基于第一种矢量表DPC 的有功功率阶跃响应
Fig.16
Responses to stepped increase in active power reference for DPC based the first switching-table
图17
图17
基于第六种矢量表DPC 的有功功率阶跃响应
Fig.17
Responses to stepped increase in active power reference for DPC based on the sixth switching-table
4.3 结果分析
在2.2节的理论分析中发现,第六种矢量表选取的电压矢量在有功增加无功减少时不能完全满足要求,因此得出第一种矢量表要优于第六种矢量表的结论。本节的仿真和实验结果都表明矢量表一的稳态性能更好,从而验证了之前理论分析的正确性。另外,尽管两种矢量表存在稳态性能差异,但都能实现有功和无功的解耦控制,而且具有相似的快速动态响应,表明本文提出的矢量表建立理论是正确有效的。
5 结论
直接功率控制是一种结构简单、动态响应快的控制方法,适用于三相电压型PWM 整流器的控制。开关矢量表是直接功率控制中的核心内容,直接影响着系统的整体性能。
本文基于三相电压型PWM 整流器的瞬时功率模型,采用数学推导和几何图示的方法对矢量表的建立进行了详细的分析,得出了六种有效的矢量表,其中三种尚未被现有文献所报道。在理论分析各种矢量表的性能优劣的基础上,本文以第一种矢量表和第六种矢量表为例进行了仿真和实验对比,结果表明二者都可以实现有功和无功的解耦控制,具有相似的动态响应,但第一种矢量表的电流谐波和功率脉动更小。仿真和实验结果与理论分析一致,验证了本文所提出的矢量表建立理论的正确性和有效性。
参考文献
PWM整流器功率脉动最小化方法的研究
[J].传统的单矢量直接功率控制在每个控制周期只发一个电压矢量,存在功率脉动大和开关频率不固定等缺点。在分析脉宽调制(pulse width modulation,PWM)整流器预测功率模型的基础上,提出一种基于二矢量的新型直接功率控制策略,即在一个控制周期内同时施加一个非零矢量和一个零矢量。按照单个控制周期内有功和无功的脉动有效值最小为原则,通过数学推导解析求得该非零矢量的最优作用时间。该方法可在维持传统单矢量直接功率控制动态性能的基础上显著改善系统的稳态性能,且简单容易实现,其有效性通过仿真和实验结果得到了证实。
Studies on power ripple minimization of PWM rectifiers
[J].传统的单矢量直接功率控制在每个控制周期只发一个电压矢量,存在功率脉动大和开关频率不固定等缺点。在分析脉宽调制(pulse width modulation,PWM)整流器预测功率模型的基础上,提出一种基于二矢量的新型直接功率控制策略,即在一个控制周期内同时施加一个非零矢量和一个零矢量。按照单个控制周期内有功和无功的脉动有效值最小为原则,通过数学推导解析求得该非零矢量的最优作用时间。该方法可在维持传统单矢量直接功率控制动态性能的基础上显著改善系统的稳态性能,且简单容易实现,其有效性通过仿真和实验结果得到了证实。
A review of three-phase improved power quality AC-DC converters
[J].DOI:10.1109/TIE.2004.825341 URL [本文引用: 1]
PWM regenerative rectifiers: state of the art
[J].DOI:10.1109/TIE.2004.841149 URL [本文引用: 1]
Sliding-mode control of boost-type unity-power-factor PWM rectifiers
[J].DOI:10.1109/41.767067 URL [本文引用: 1]
Real-time implementation of grey fuzzy terminal sliding mode control for PWM DC-AC converters
[J].DOI:10.1049/iet-pel:20070295 URL [本文引用: 1]
模糊控制在三相PWM整流器无差拍控制中的应用
[J].无差拍电流控制为了补偿控制延时,需要对参考电流进行超前预测,由于参考变化的不确定性,单一的预测算法在不同参考变化情况下可能产生较大的电流超调或者相位滞后。本文通过对三种常用预测算法进行比较分析,得出预测参数与电流超调和相位滞后之间的关系,以此提出一种基于模糊控制的预测算法。该算法针对不同的参考电流变化选择合适的预测参数,折衷考虑电流超调和相位滞后的影响,限制电流超调最大值,优化相位滞后。最后,结合TMS320F2812 数字信号处理器(digital signal processor,DSP)控制平台在三相电压型脉宽调制(pulse width modulation,PWM)整流器上进行实验,验证了理论分析的正确性。
Application of fuzzy control theory to deadbeat control scheme in three-phase pulse width modulation rectifier
[J].无差拍电流控制为了补偿控制延时,需要对参考电流进行超前预测,由于参考变化的不确定性,单一的预测算法在不同参考变化情况下可能产生较大的电流超调或者相位滞后。本文通过对三种常用预测算法进行比较分析,得出预测参数与电流超调和相位滞后之间的关系,以此提出一种基于模糊控制的预测算法。该算法针对不同的参考电流变化选择合适的预测参数,折衷考虑电流超调和相位滞后的影响,限制电流超调最大值,优化相位滞后。最后,结合TMS320F2812 数字信号处理器(digital signal processor,DSP)控制平台在三相电压型脉宽调制(pulse width modulation,PWM)整流器上进行实验,验证了理论分析的正确性。
Fuzzy-logic-based switching state selection for direct power control of three-phase PWM rectifier
[J].DOI:10.1109/TIE.2009.2014746 URL [本文引用: 1]
Model predictive controla simple and powerful method to control power converters
[C].
Model predictive direct power control of a PWM rectifier with duty cycle optimization
[J].
DOI:10.1109/TPEL.2013.2243846
URL
[本文引用: 1]
This paper proposes an improved model predictive direct power control (MPDPC) for a pulse width modulation (PWM) rectifier by using a duty cycle control. The conventional MPDPC achieves good steady-state performance and quick dynamic response by selecting the best voltage vector, which minimizes the errors between the reference power and the real power. However, due to the limited number of voltage vectors in a two-level converter, the sampling frequency has to be high to achieve satisfactory performance. This paper introduces the concept of a duty cycle control in the MPDPC by allocating a fraction of control period for a nonzero voltage vector and the rest time for a zero vector. The nonzero vector is selected by evaluating the effects of each nonzero vector and its duration is obtained based on the principle of power errors minimization. Simulation and experimental results prove that, compared to the conventional MPDPC, the proposed MPDPC with duty cycle achieves further steady-state performance improvement without affecting the dynamic response at a small cost of control complexity increase.
A new mathematical model and control of a three-phase AC-DC voltage source converter
[J].DOI:10.1109/TPEL.63 URL [本文引用: 1]
Voltage oriented control of a single-phase lvdc distribution network inverter
[C].
Direct power control of PWM converter without power-source voltage sensors
[J].DOI:10.1109/28.673716 URL [本文引用: 2]
三电平PWM整流器直接功率控制
[J].
Direct power control for three-level PWM rectifier
[J].
Table-based direct power control: a critical review for microgrid applications
[J].DOI:10.1109/TPEL.2010.2087039 URL [本文引用: 1]
三相电压型 PWM 整流器直接功率控制调制机制
[J].根据三相电压型脉宽调制(pulse width modulation,PWM)整流器的瞬时功率数学模型,在矢量空间中分别研究每个开关矢量对瞬时功率的不同影响,给出相应的作用图,并由此将整个空间重新划分为18个非固定扇区,提出一种新的具有通用性的开关矢量表,在此过程中探究直接功率(direct power control,DPC)控制的调制机制。这种新的开关矢量表不仅可以克服传统开关表对无功功率控制上的缺陷,获得更好的稳态和动态控制效果,而且可以对其他开关表的不足进行一定的解释。文中通过不同开关表的控制系统对比仿真与实验,验证了各项结论的正确性和实用性。
DPC modulation mechanism of three-phase voltage source PWM rectifiers
[J].根据三相电压型脉宽调制(pulse width modulation,PWM)整流器的瞬时功率数学模型,在矢量空间中分别研究每个开关矢量对瞬时功率的不同影响,给出相应的作用图,并由此将整个空间重新划分为18个非固定扇区,提出一种新的具有通用性的开关矢量表,在此过程中探究直接功率(direct power control,DPC)控制的调制机制。这种新的开关矢量表不仅可以克服传统开关表对无功功率控制上的缺陷,获得更好的稳态和动态控制效果,而且可以对其他开关表的不足进行一定的解释。文中通过不同开关表的控制系统对比仿真与实验,验证了各项结论的正确性和实用性。
Performance improvement of direct power control of PWM rectifier with simple calculation
[J].
DOI:10.1109/TPEL.2012.2222050
URL
[本文引用: 1]
Conventional switching-table-based direct power control (STDPC) presents irregular power ripples and variable switching frequency, due to the use of predefined switching table and hysteresis comparators. This paper proposes an improved DPC for three-phase pulsewidth modulation (PWM) rectifier with simple calculation. The concept of duty cycle control is introduced in DPC to allocate only a fraction of control period to the voltage vector selected from conventional switching table in DPC, while a null vector is applied for the rest of time. The main advantages of the proposed duty cycle control are twofold. On one hand, it is independent of rectifier parameter such as line-side inductance, hence strong robustness against inductance variations is obtained. On the other hand, the principle to obtain the duty cycle is very simple and easy to implement. Compared to conventional DPC, significant power ripple reduction and more sinusoidal grid current can be observed in the improved DPC. The presented simulation results and laboratory tests validate the effectiveness of the proposed method.
Improved switching table for direct power control of three-phase PWM rectifier
[C].
Analysis and design of new switching table for direct power control of three-phase PWM rectifier
[C].
Dsp-based direct power control of a VSC with voltage angle estimation
[C].
Direct power control of an AFE using predictive control
[J].DOI:10.1109/TPEL.2008.2002065 URL [本文引用: 2]
Instantaneous reactive power compensators comprising switching devices without energy storage components
[J].
/
| 〈 |
|
〉 |