基于模糊优化多目标进化算法的配电网故障定位
国网三门峡供电公司 三门峡 472000
Fault Location of Distribution Network Based on Fuzzy Multi-objective Evolutionary Algorithm
Sanmenxia Power Supply Company Sanmenxia 472000 China
责任编辑: 郭丽军
收稿日期: 2015-03-17 网络出版日期: 2015-05-25
Received: 2015-03-17 Online: 2015-05-25
作者简介 About authors
郭 琰 女 1990年生,助理工程师,从事配电网运行分析与调度工作。
刘淼淼 男 1986年生,硕士,工程师,从事电网运行的分析和控制工作。
提出了一种基于模糊优化多目标进化算法(FMOEA)的配电网故障定位新方法。FMOEA对基于排序选择的传统多目标进化算法进行改良,有效避免了其种群早熟的问题,在排序结果中引入模糊优选决策因子,得到本代个体的最终适应度值,之后再经过复制、交叉、变异和迭代等过程,直到满足终止条件得到最终的Pareto解集;最后对适用于故障定位的最优解集处理办法进行了探讨与分析,以便从最优解集中筛选出符合故障情况的唯一解。算例仿真测试针对不同的配电网系统结构,分别模拟系统单点、多点故障,以及信息完备与部分信息畸变的情况,结果表明该算法可以实现配电网故障的有效定位,通过对比遗传算法,验证了该方法寻找全局最优Pareto解集的有效性及良好的收敛性能。
关键词:
A new method of fault section location and isolation in distribution network based on fuzzy multi-objective evolutionary algorithm (FMOEA) is presented. The traditional multi-objective evolutionary algorithm based on ranking selection is improved by FMOEA to avoid its premature problem effectively. FMOEA introduces fuzzy optimization decision factor in ranking results to obtain the generation of the individual values. In the process of copy, crossover, mutation and iteration, we can get the final Pareto solution set satisfied by the termination conditions. The optimal solution set approach for fault location is provided for detecting the only proper one from the multi-objective solution set. Based on the different system structure of distribution network single-point and multi-point faults are simulated in two conditions: with and without partial information distortion. Finally the simulation results show that the FMOEA can realize the goal of fault location and the comparison results with genetic algorithm show that the FMOEA has the capacity of effectively finding out the distributed Pareto optimal solution. In addition, the algorithm has performed very well in its efficiency of convergency.
Keywords:
本文引用格式
郭琰, 刘淼淼, 张萌, 杨琰冲, 陈江涛, 赵晓晨.
Guo Yan.
1 引言
国内配电网络规模的快速发展,其网络构架及运行环境趋于复杂,线路发生故障的概率也随之增加。近些年来,配电网自动化的快速发展,馈线终端单元(Feeder Terminal Unit,FTU)等智能装置大量应用,当配电网系统发生故障时,往往会产生海量的报警信息,从而给调度运行人员快速处理故障增加了难度。因此,研究对上传的数据信号进行快速分析处理并对配电网进行快速故障定位,对于隔离故障、恢复供电、提高供配电系统可靠性以及保证用户的供电质量等有着重要意义。
近些年来国内外学者提出了多种的配电网故障定位分析算法。文献[1,2,3]阐述了配电网故障定位的矩阵算法,方法是先形成网络描述矩阵和故障信息矩阵,然后生成判别矩阵,最后根据判别矩阵的元素来判定故障发生的区段,矩阵算法原理直观简单,计算判别速度快,但是当FTU上传的信息因受干扰而发生畸变时,判别结果不准确,容易出现故障的漏判和误判,容错性不高;文献[4]立足于模式识别的角度,利用训练好的人工神经网络来进行故障区段的在线识别,该算法具有较高的容错性。遗传算法(Genetic Algorithm,GA)因其良好的全局优化性能和鲁棒性广泛应用于电力系统优化中,文献[5]将遗传算法首次引入配电网的故障定位分析研究中,并且建立了相关的数学模型,该模型不仅能进行全局寻优求解,而且可以纠正采集得到实时信息中的畸变,对于网络拓扑的多变式也适用。文献[6]通过引入故障诊断理论中著名的“最小集”概念,构造了新的评价函数,建立了一种新的更适合于配电网的数学模型,仿真分析结果表明该算法不仅可以较好地避免误判,准确定位,而且具有较强的容错性。文献[7,8,9]在文献[6]中建立的评价函数的基础上,尝试利用其他的进化类算法结合具体算例进行仿真分析,结果表明这些算法各有优缺点。人工智能算法虽然具有较好的容错性,但是需要建立相对复杂的模型,并且定位分析的效率不是很高。由此可见,如何建立合理的配电网故障诊断数学模型以及选取与之协调的优化算法成为配网故障定位分析的关键。文献[5]建立的模型为单目标优化问题,该模型考虑因素不完善,在进行配电网故障定位时,即使定位信息不发生畸变或者不全,分析结果也可能出现误判的情况。文献[6,7,8,9]通过引入“最小集”的概念,将原有的单目标优化问题扩展为多目标优化问题,并将此多目标的优化问题通过加权方式转换为单目标优化问题,然后利用进化类算法进行求解,因此一次只能得到一种权值下的最优解,同时由于多目标优化问题的目标函数和约束可能是非线性、不可微或者不连续的,传统的进化类算法往往效率较低,并且对于权值的变化比较敏感。
本文建立基于多目标配电网故障定位模型,然后采用模糊优化进化算法对模型进行优化分析计算,对配电网故障的区段进行精确快速定位。
2 多目标配电网故障定位的多目标模型
2.1 多目标配电网故障定位模型
诊断配电网中发生故障的区段需要找到一个能反映FTU上传信息的合理化解释,即可以表现为由实际的故障设备状态所推导出的测控点状态和实际上传的测控点状态相差为最小值[10]。根据这一原理
可以构造评价函数 
图1所示为一段简单的辐射型配电线路,QF为进线断路器,S1~S5为分段开关。断路器和各个分段开关单元均安装有FTU。
图1

式中,Ij*为各个开关设备的期望状态值;x(i)表示其后续线路区段的状态,区段发生故障时x(i) = 1,正常时x(i) = 0。
由此可以得到对应于图1所示简单配电线路的评价函数

如图1所示,假定配电网线路区段5发生故障,则IQF、IS1、IS2、IS3和IS4值均为1,此时若要使f1值最小,需要I*QF、I*S1、I*S2、I*S3和I*S4值均为1。此时根据式(2)可判断线路区段5上面发生故障,但是区段1、2、3、4的状态无法确定而容易引起误判,此时可以根据故障诊断理论中的“最小集”概念,构造出另一个评价函数 

2.2 讨论和分析
表1 不同权值对应的优化结果
Tab.1
| 序 号 | 权 值 | 设备状态 | 定位结果 |
|---|---|---|---|
| 1 | 0.8 | 10000 | 区段1 |
| 2 | 1.0 | 00000或10000 | 无故障或区段1 |
| 3 | 3.0 | 00000 | 无故障 |
由表1可以看出,加权法处理多目标问题时,得出的故障定位结果对权值的大小比较敏感,可能会导致故障定位结果不准确或是不确定。本文结合以往算法的特点,采用基于Pareto最优意义的模糊优化多目标进化算法对配电网故障进行定位,避免加权法的不足,以实现对故障区段的准确辨识和定位。
3 基于模糊优化多目标进化算法的配电网故障定位
3.1 基于Pareto最优意义的多目标优化
多目标优化不同于单目标问题优化的其中一点就是多目标优化的解不是唯一的,往往都存在一个最优解集合。多目标问题中各目标之间通过决策变量相互制约,对其中一个目标性能的优化往往会以降低其他指标为代价,即各个子目标之间有可能是相互冲突的,再加上各个目标量纲的不一致,因此对于多目标问题解的优劣性很难客观评价。基于Pareto最优意义的多目标进化算法的出现,很好地解决了上述的难题。Pareto最优解的定义可以表述为式(4)所示的多目标问题,X代表问题的解空间,当X中不存在另一个解w使得fi(w)≤fi(x)(i = 1,2,…,n)时,称x∈X是该问题的一个Pareto非劣解[10]。

式中,x为解向量;F为目标函数向量。
3.2 基于模糊优化的多目标进化算法
求取Pareto优化解集的方法中,由于排序选择法仅仅度量了个体之间的排列次序,并未度量各个个体的分散程度,所以它难以得到分布较均匀的Pareto最优解。故采用相对隶属度的模糊优选模型,可使各个体(方案)之间的相对优属度有更大的分散性,易于作出决策与选择。这里采用以下策略产生修正适应度值:
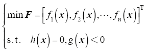
(1)首先,依照适应度值由大至小排序,最大排序值的个体取位置pos = 1,利用式(5)对个体排序值进行插值处理,使适应度值F1分布于[0,2]间。

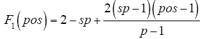
式中,P为种群中个体的数目。sp∈[1,2]称为选择压力。进一步,对于排序相同的s个个体,插值后的适应度值取其均值

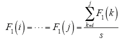
(2)选择附加模糊优选决策因子。假设有m个目标n个个体的第t代种群,针对最大或最小优化的情况,根据越大越优目标的相对优属度公式rij = 



分别为取大、取小符; 



得到个体j的模糊优选决策因子为

最后取F = F1 + F2为最终的修正适应度值。
以下对上述策略进行分析,在得到多个非占优个体的情况下,尽管适应度值的分布趋势仍与排序结果一致,但在相同级别的个体之间,由于修正因子的加入而产生变化。在多目标寻优问题中采用模糊相对隶属度,则不必考虑目标的变化范围,只要找到本种群中的最大及最小值便能够构成合理的相对优选模型。
4 最优解集的处理方法
对于多目标进化算法最终形成的是Pareto最优解集,里面可能包含多个解,要筛选出符合实际需要的最优解,需要对最优解集中的解进行排序,进而获得满足应用指标的解。对于实际研究的配电网故障定位问题来说,当故障实际发生时,各个馈线区段在同一个时刻的状态只能是唯一的,也就是说用优化算法得出的解也应该只存在一个。
本文中综合考虑了两个目标函数,以图1所示的简单辐射型配电线路图为例,假设将区段1~5按照顺序进行0、1编码(该区段内无故障时为0,反之为1),当区段5内发生故障时,优化解(0,0,0,0,1)使得目标函数f1 = 0,f2 = 1。虽然此时,也存在当区段1~4一个或多个为1时f1 = 0的情况,但是此时的目标函数f2均大于1,所以这些解将会被忽略,而保留最优解(0,0,0,0,1)。
通过上述对于编码方式的确定,多目标配电网故障定位模型的建立,模糊优化多目标进化算法关键理论的分析和Pareto最优解集的处理办法,可以形成基于模糊优化的多目标配电网故障定位的算法流程如图2所示。
图2
5 算例分析
本文中Pareto优化算法程序参数设置如下:群体规模:100,最大迭代次数:100,设连续迭代5代最优解集不变时迭代截止,交叉概率:0.8,变异概率:0.05。
5.1 算例1
表2 开关电流越限信息
Tab.2
| 越限信息 | IQF1 | IS1 | IS2 | IS3 | IS4 |
|---|---|---|---|---|---|
| 1 | 1 | 0 | 0 | 0 | 0 |
| 2 | 1 | 1 | 0 | 1 | 1 |
对于简单的辐射馈线型线路,模糊优化多目标进化算法可实现故障区段的快速准确定位,且具有较高的容错性。
5.2 算例2
图3
图3
三电源开环运行配电网系统图
Fig.3
An open-loop operating distribution network with three power sources
表4 FMOEA有效性仿真结果
Tab.4
| 故障区段 | 各个FTU 上传信息 | 信息畸变 | 馈线区段 实际状态 | 平均迭代 次数 |
|---|---|---|---|---|
| 4 | 111100 000000 | 无 | 000100 000000 | 3.2 |
| 4 | 101100 000000 | S2漏报 | 000100 000000 | 3.5 |
| 7、12 | 000011 101111 | 无 | 000000 100001 | 4.8 |
| 7、12 | 001011 110111 | S3误报 | 000000 100001 | 4.3 |
由表4的仿真测试结果可以看出,模糊优化多目标进化算法经平均不超过5次迭代即可实现配电网故障区段的准确定位,效率高、容错性好。
5.3 算例3
为了进一步验证模糊优化多目标进化算法的优越性,将模糊优化多目标进化算法与应用较多的遗传算法进行比较分析,在Matlab环境下编制基于模糊优化多目标进化算法及遗传算法的配电网故障区段定位程序,进行相同的算法仿真参数设置,还以图3所示的配电网系统图为例,对两种算法的故障区段定位效果进行对比分析。
表5 FMOEA、GA性能仿真对比结果
Tab.5
| 故障 区段 | 信息 畸变 | 收敛条件 | 正确次数(程序 共运行20次) | |
|---|---|---|---|---|
| FMOEA | GA | |||
| 4 | 无 | 10次迭代 | 19 | 14 |
| 10次迭代或3次最优解无变化 | 19 | 8 | ||
| 4 | 有 (S2) | 10次迭代 | 19 | 16 |
| 10次迭代或3次最优解无变化 | 18 | 6 | ||
| 7、12 | 无 | 10次迭代 | 19 | 3 |
| 10次迭代或3次最优解无变化 | 18 | 1 | ||
| 7、12 | 有 (S3) | 10次迭代 | 18 | 2 |
| 10次迭代或3次最优解无变化 | 18 | 1 | ||
此外为了检验模糊优化多目标进化算法对于复杂结构配电网故障区段定位的性能,以图4所示的IEEE 33节点配电系统为例,还是以模糊优化多目标进化算法与遗传算法在相同的仿真参数设置情况下的故障定位性能进行对比分析。
图4
由表6中的分析结果可以看出:对于配电网规模较大、节点区段数较多的情况,要实现配电网故障区段的准确定位遗传算法基本上无能为力,而模糊优化多目标进化算法依然能够快速准确定位,保持良好的容错性,优越性更加凸显。
表6 FMOEA、GA性能仿真对比结果
Tab.6
| 故障区段 | 信息畸变 | 正确次数(程序共运行30次) | |
|---|---|---|---|
| FMOEA | GA | ||
| 21 | 无 | 29 | 1 |
| 21 | 有(S8) | 28 | 0 |
| 14、30 | 无 | 28 | 1 |
| 14、30 | 有(S2) | 27 | 0 |
6 结论
本文将模糊优化多目标进化算法引入配电网故障定位分析研究中,构建了配电网故障定位的多目标优化模型,介绍了基于Pareto最优理论的模糊优化多目标进化算法的概念以及用于配电网故障区段定位的方法与步骤,阐述了对最优解集的处理办法,最终实现了对配电网故障区段的准确快速定位。算例仿真分析结果表明本文方法能够对单电源、多电源及复杂配电网系统中发生的单点及多点故障进行准确快速定位,容错性能好,与遗传算法相比具有收敛速度快、寻优能力强的优点。
参考文献
配电网故障区段判断和隔离的统一矩阵算法
[J].
A unified matrix algorithm for fault section detection and isolation in distribution system
[J].
配电网故障定位的通用矩阵算法
[J].
General matrix algorithm for distribution system fault locating
[J].
配电网故障定位的改进通用矩阵算法
[J].
Study on improved matrix algorithm for fault location in power distribution network
[J].
配网中自动故障定位系统的研究
[J].
Study of automatic fault location system in the distribution network
[J].
基于遗传算法的配电网故障定位和隔离
[J].
Fault section diagnosis and isolation of distribution networks based on genetic algorithm
[J].
配电网故障区间定位的高级遗传算法
[J].
A refined genetic algorithm for the fault sections location
[J].
基于Pareto协同进化算法的多个FACTS元件协调控制
[J].
Coordinative control of multiple FACTS controllers based on Pareto co-evolution algorithm
[J].
基于模糊混合进化算法的多个FACTS元件协调控制
[J].
Multi-FACTS coordinated control based on fuzzy hybrid evolutionary algorithm
[J].
基于多目标优化的电力系统阻尼控制及Hoof分岔控制
[J].
Power system damping control and hoof bifurcation control based on multi-objective optimization
[J].
多目标配电网故障定位的Pareto进化算法
[J].
Pareto evolutionary algorithm for multi-objective fault location of distribution network
[J].
基于自适应遗传退火算法的配电网故障定位研究
[J].
Fault location of distribution networks based on adaptive genetic annealing algorithm
[J].
基于免疫算法的配电网故障定位方法研究
[J].DOI:10.7667/j.issn.1674-3415.2014.01.011 URL [本文引用: 1]
Fault location of distribution network based on immune algorithm
[J].DOI:10.7667/j.issn.1674-3415.2014.01.011 URL [本文引用: 1]
/
| 〈 |
|
〉 |