基于R 2LC 2的中高压多电平UPQC拓扑评估体系
中国石油大学(华东)信息与控制工程学院 青岛 266580
Assessment System for Medium-High Voltage Multilevel UPQC Topology Based on R 2LC 2
China University of Petroleum (East China) Qingdao 266580 China
责任编辑: 杨晓花
收稿日期: 2015-07-14 网络出版日期: 2015-11-25
基金资助: |
|
Editor:
Received: 2015-07-14 Online: 2015-11-25
作者简介 About authors

冯兴田 男 1978年生,博士,讲师,研究方向为电能质量分析、治理及控制。

孙添添 女 1991年生,硕士研究生,研究方向为电能质量调节装置控制分析。
构建了一种基于R 2LC 2(可靠、冗余、损耗、特性、成本)的中高压多电平统一电能质量调节器(Unified Power Quality Conditioner,UPQC)拓扑评估体系。选定多种应用于UPQC的多电平拓扑结构类型,建立多电平UPQC拓扑结构的损耗模型、故障模型、仿真模型、冗余模型和器件模型,分别用以分析并形成损耗与拓扑关系、拓扑可靠性、暂稳态特性、系统稳定性、结构与成本关系的评价指标。结合五种评价指标的相互影响关系,建立层次分析模型,定量得到五种评价指标的权重系数,构造成对比较矩阵,计算排序权向量,全面分析多种多电平UPQC拓扑结构的整体性能,实现多电平UPQC拓扑结构的综合准确评估,提供多电平UPQC变流器拓扑结构类型的选择依据。选取级联H桥、模块化多电平变流器和换桥臂多电平变流器为实际应用范例,验证了所提评估体系的可行性。
关键词:
The assessment system for medium-high voltage multilevel UPQC topology is constructed based on R 2LC 2 (reliability, redundancy, loss, cost, characteristic). After selecting some kinds of unified power quality conditioner (UPQC) topology structure, models are set up including loss model, fault model, simulation model, redundancy model and device model, to analyze and form assessment indexes including relationship between loss and topology, topology reliability, transient and steady-state characteristics, system stability, relationship between structure and cost respectively. Combining reciprocal affection among aforementioned five assessment indexes, hierarchy analysis model is established to quantitatively obtain weight coefficient of assessment indexes, construct pairwise comparison matrices, calculate sequence weight vector and completely analyze ensemble performance of many multilevel UPQC topology structure. Finally, the assessment system realizes comprehensive and accurate assessment of multilevel UPQC topology and provides selecting rules of multilevel UPQC topology types. A real application example uses cascade H bridge, modular multilevel converter (MMC) and alternate-arm multilevel converter (A 2MC) to confirm the practicability of the proposed assessment system.
Keywords:
本文引用格式
冯兴田, 孙添添, 马文忠.
Feng Xingtian.
1 引言
中高压配电网中,UPQC多采用大功率多电平的变流器拓扑结构;而大功率多电平变流器拓扑结构类型多种多样、性能特点各不相同。现有多电平UPQC拓扑分析技术只是针对多电平UPQC某一种特性或某一种结构开展。文献[3,4,5,6,7]从变流器损耗的角度分析了变流器损耗的形成原因、类型、影响因素、热模型分析、降低方法等,采用的分析方法包括基于面积等效法、曲线拟合法、调制方式分析法等。文献[4,8]分别分析了模块化多电平变流器(Modular Multilevel Converter,MMC)结构和级联H桥结构的损耗特点以及各自特点和相互对比关系。文献[9,10,11,12,13,14]则主要从可靠性方面对变流器进行了分析,包括失效机理、故障提取、冗余配置、状态监测、结温控制方式等。然而从某一项功能出发研究UPQC拓扑结构的应用情况,难以说明该多电平UPQC拓扑结构能否适用于多种不同要求的场合,给出该结构的优劣评估或者适用范围等;而且鲜有文献针对多电平UPQC的拓扑结构构建评估体系进行综合研究。
本文提出了一种基于R2LC2(可靠、冗余、损耗、特性、成本)的中高压多电平UPQC拓扑评估体系。通过建立多电平UPQC拓扑结构的损耗模型、故障模型、仿真模型、冗余模型和器件模型,分析损耗与拓扑关系、拓扑可靠性、暂稳态特性、系统稳定性、结构与成本关系的评价指标,根据各评价指标可以独立评估多电平UPQC拓扑的对应性能;同时,通过建立层次分析模型,构造成对比较矩阵,计算排序权向量,实现多电平UPQC拓扑结构的综合准确评估。最后以MMC、换桥臂多电平变流器(Alternate-Arm Multilevel Converter,A2MC)[17]和级联H桥三种实际应用的多电平UPQC结构为例,验证了基于R2LC2的评估体系的可行性。
2 拓扑评估体系
基于R2LC2的多电平UPQC拓扑结构评估体系示意图如图1所示。首先选择能够应用于UPQC的多电平变流器拓扑结构;其次建立拓扑结构的损耗模型、故障模型、仿真模型、冗余模型和器件模型,用来分析损耗与拓扑关系、拓扑可靠性、暂稳态特性、系统稳定性、结构与成本关系,并形成相应的评价指标;再建立层次分析模型,定量分析各评价指标的权重以及与拓扑结构的关系;各评价指标可以相互单独或者相互结合评估UPQC拓扑结构,最后形成基于R2LC2的多电平UPQC拓扑结构评估体系,实现多电平UPQC拓扑结构的综合评估。
图1
图1
多电平UPQC拓扑评估体系示意图
Fig.1
Diagram of assessment system for multilevel UPQC topology
2.1 R2LC2分析模型
选择m种(m为大于1的整数)应用于UPQC的多电平拓扑结构类型,建立多电平UPQC拓扑结构的损耗模型、故障模型、仿真模型、冗余模型和器件模型。五种模型都可独立用于评估UPQC的对应性能,以下内容主要针对每种模型的分析方法、影响因素、形成指标、相互关系等进行了分析。
(1)损耗模型。基于多电平UPQC拓扑结构的功率器件损耗、器件工作频率、调制方式和功率等级等因素的综合分析。多电平UPQC拓扑结构的功率损耗表述式为
式中,Pi、gi、fi、ki分别代表第i个器件的功率损耗、功率等级、工作频率、调制方式;l代表功率器件的数量。
不同的拓扑结构带来功率器件数量、工作频率和调制方式的变化。应用损耗模型形成多电平UPQC损耗与拓扑关系的评价指标h1,用以表征不同拓扑对损耗大小的影响程度。
(2)故障模型。基于曲线拟合法和故障树分析法,分析各多电平UPQC拓扑结构的可靠性和故障率。首先通过功率器件的额定工作参数分析器件的可靠性;然后形成功率子单元的安全工作区域,用以分析功率子单元的可靠性;再结合拓扑结构类型拟合出拓扑系统的可靠性曲线。将多电平UPQC拓扑结构逐级分解,形成从串并联单元、级联单元,到模块或器件的故障树模型,基于故障树分析法和容错系统应用分析多电平UPQC拓扑结构的故障率。应用故障模型形成多电平UPQC拓扑可靠性的评价指标h2,用以表征不同拓扑的可靠性等级。
(3)仿真模型。基于电力仿真软件PSIM,分析多电平UPQC拓扑结构的稳态性能和暂态特性,构建由多电平UPQC拓扑、普通负荷、敏感负荷、模拟线路阻抗等组成的典型配电网系统,设定相应的电路及系统参数,形成仿真模型;在电压暂降骤升、电压电流谐波、三相电压电流不平衡等多种情况下,设定相应的仿真参数;通过电磁仿真研究多电平UPQC在相应拓扑结构下的暂态特性和稳态工作性能,获取m种多电平UPQC拓扑结构在不同电能质量问题下的稳态性能、暂态过渡性能、补偿性能等特征描述。应用仿真模型形成多电平UPQC暂稳态特性的评价指标h3,用以表征不同拓扑处理电能质量问题能力水平的高低。
(4)冗余模型。基于蒙特卡罗模拟法等先进的数值计算方法,分析m种多电平UPQC拓扑结构的冗余度曲线。针对多电平UPQC拓扑结构,首先建立冗余度的数学模型,确定其风险分布函数;然后确定模拟次数、产生随机数,抽样代入模型,求出一个样本值;再反复抽样,产生多个冗余度样本数据;最后进行统计分析,求出冗余度的统计特征。根据冗余度统计数据,绘制多电平UPQC拓扑结构随功率等级、电压等级等变化的冗余度曲线,寻求故障率和冗余器件的平衡。应用冗余模型形成多电平UPQC系统稳定性的评价指标h4,用以表征不同拓扑的风险等级。
(5)器件模型。基于m种多电平UPQC拓扑结构的工作原理,分析多电平UPQC拓扑结构的成本需求。根据多电平UPQC拓扑结构的器件模型,推导电压等级、功率水平、功率器件容量、实现功能等相同条件下,m种多电平UPQC各自所需功率器件的数目,进而分析它们的成本需求以及对损耗模型、故障模型和冗余模型的影响。应用器件模型形成多电平UPQC结构与成本关系的评价指标h5,用以表征不同拓扑的经济性水平。
通过这五种评价指标,能够分别独立评估各种拓扑对应的性能优劣,提供定性评价多电平UPQC拓扑结构单项性能以及应用场合选择的依据。例如,通过损耗模型可以针对多种UPQC拓扑结构进行损耗大小的排序,突出UPQC拓扑结构该项性能的优劣,据此可根据损耗实际要求和水平选择合适的中高压多电平UPQC拓扑结构。
与此同时,各评价指标又有交叉影响因素存在,因而相互之间既相互独立,又相互影响。例如,功率器件的数量直接影响评价指标h1、h2、h4、h5的关系;评价指标h2、h4相互均衡;拓扑工作频率和调制方式对评价指标h1、h3影响较大等。若要综合评价各种拓扑的性能,需要根据各评价指标的相互关系,既要单项比较,又要协调统一,形成完整的中高压多电平UPQC拓扑评估体系。
2.2 层次分析模型
结合h1、h2、h3、h4、h5五种评价指标的相互影响关系,通过建立层次分析模型,可以定量得到五种评价指标的权重系数,进而分析m种多电平UPQC拓扑结构的性能排序,形成基于R2LC2的多电平UPQC拓扑评估体系。
首先建立层次结构模型:选定m种多电平UPQC拓扑结构为方案层;多电平UPQC拓扑结构的五种评价指标h1、h2、h3、h4、h5为评估指标层;多电平UPQC拓扑结构定量评估结果为目标层,建立三层分析模型,如图2所示。
图2
图2
多电平UPQC 拓扑评估体系层次结构模型
Fig.2
Hierarchy structure model of assessment system for multilevel UPQC topology
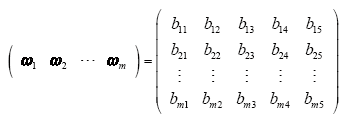
其次构造成对比较矩阵:根据五种评价指标h1、h2、h3、h4、h5对于评估多电平UPQC拓扑的相对重要程度,综合比较得出各指标之间的权重系数,构造一个5×5阶成对比较矩阵H,即
通常情况下,hij·hji = 1(i, j = 1,2,3,4,5)且hij或hji为整数;根据选定的m种多电平UPQC拓扑结构,分别对应五种评价指标h1、h2、h3、h4、h5,构造五个m×m阶成对比较矩阵,用以表征在同一评价指标下,m种拓扑相互之间受该指标影响的程度。针对评价指标h1的成对比较矩阵H1为
通常情况下,Tij·Tji = 1(i, j = 1,2,…,m)且Tij或Tji为整数;矩阵H2、H3、H4、H5类似式(3)。
成对比较矩阵表示本层所有因素针对上一层某一个因素的相对重要性的比较。在定量确定各层次各因素之间的权重时,所有因素两两相互比较,并采用相对尺度,以尽可能减少性质不同的诸因素相互比较的困难,提高准确度。成对比较矩阵的元素hij采用Santy等人提出的1~9标度方法给出,如表1所示。
表1 比较矩阵元素hij的标度方法
Tab.1
标 度 | 含 义 |
---|---|
1 | 表示两个因素相比,具有同样重要性 |
3 | 表示两个因素相比,一个因素比另一个因素稍微重要 |
5 | 表示两个因素相比,一个因素比另一个因素明显重要 |
7 | 表示两个因素相比,一个因素比另一个因素强烈重要 |
9 | 表示两个因素相比,一个因素比另一个因素极端重要 |
2,4,6,8 | 上述两相邻判断的中值 |
倒数 | 因素i与j比较的判断为hij,则因素j与i比较的判断为hji = 1/hij |
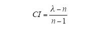
然后进行层次单排序及一致性检验:求解矩阵H的最大特征值λ及其对应的特征向量ω',进行一致性检验(用以保证各成对矩阵中选择的参数在一定的准确范围之内);一致性比率CR满足
认为矩阵H通过一致性检验,则ω'归一化后得到的权向量ω即为指标层对目标层的权重排序,且
式(4)中一致性指标CI计算式为
随机一致性指标RI通常由表2得出,n为矩阵维数。
表2 随机一致性指标参数
Tab.2
n | 1 | 2 | 3 | 4 | 5 | 6 | 7 | 8 | 9 | 10 |
---|---|---|---|---|---|---|---|---|---|---|
RI | 0 | 0 | 0.58 | 0.90 | 1.12 | 1.24 | 1.32 | 1.41 | 1.45 | 1.49 |
同理,求解矩阵H1、H2、H3、H4、H5的最大特征值及其特征向量,一致性检验通过后,求得权向量ω1、ω2、ω3、ω4、ω5,实现方案层对指标层的权重排序,即
最后进行层次总排序及一致性检验:方案层对目标层的排序权向量ωtotal计算式为
层次总排序的一致性检验为
其中,CIi和RIi分别为方案层对指标层的层次单排序一致性指标和随机一致性指标,可利用式(6)和表2数据求解。CRtotal<0.1时,通过一致性检验,ωtotal即为m种多电平UPQC拓扑结构对应的评估排序。
通过层次分析法的实现过程分析可以发现,从建立层次结构模型到给出成对比较矩阵,尽管人为主观因素对整个过程的影响很大,但通过相应的分析和计算,能够实现多种方案的优选,实现多种UPQC拓扑结构的定量评估和排序。
3 评估体系应用范例
本文选取中高压UPQC常用的MMC(拓扑T1)、A2MC(拓扑T2)、级联H桥(拓扑T3)三种(m = 3)多电平拓扑结构,应用基于R2LC2的多电平UPQC拓扑结构评估体系进行分析。
在电压等级10kV、容量1Mvar、功率器件开关频率1kHz、处理电压暂降电流谐波等相同条件下,分析三种拓扑结构的损耗模型、故障模型、仿真模型、冗余模型和器件模型,根据这些模型和上述分析方法,通过实际计算、仿真分析、理论推导等多种方式,形成单项评估指标,此处不再赘述;同时,建立图2所示的层次结构模型,再构造成对比较矩阵为
结合三种拓扑结构的五种分析模型、上述三种拓扑结构特点以及经验结果,同时针对三种拓扑结构对应五种评价指标的关系,得出式(11) 的五组成对比较矩阵,形成过程与式(10)类似。例如,矩阵H1中的元素T13表示对于损耗这一评估指标来讲,MMC结构T1比H桥结构T3稍微重要,根据表1可知,元素T13为3,T31为其倒数1/3,矩阵H1其他元素可同理得出。矩阵H2、H3、H4、H5分别代表三种拓扑结构对于可靠性、暂稳态特性、冗余、经济性的相互重要程度,各矩阵中的元素生成过程同H1,即
成对比较矩阵H的最大特征值λ及其对应的归一化特征向量ω为
则
表3 一致性检验数据表
Tab.3
i | 1 | 2 | 3 | 4 | 5 |
---|---|---|---|---|---|
ωi | (0.630, 0.218, 0.152) | (0.493, 0.311, 0.196) | (0.169, 0.443, 0.387) | (0.210, 0.550, 0.240) | (0.099, 0.364, 0.537) |
λi | 3.108 | 3.054 | 3.018 | 3.018 | 3.094 |
CIi | 0.054 | 0.027 | 0.009 | 0.009 | 0.047 |
RIi | 0.58 | 0.58 | 0.58 | 0.58 | 0.58 |
CRi | 0.093 | 0.047 | 0.016 | 0.016 | 0.081 |
应用式(8)计算方案层对目标层的排序权向量ωtotal为
应用式(9)进行层次总排序的一致性检验为
CRtotal<0.1,通过一致性检验。故ωtotal即为方案层的层次总排序,可知对于三种多电平UPQC拓扑结构的综合评估排序依次为A2MC、级联H桥、MMC。
4 结论
本文基于R2LC2(可靠、冗余、损耗、特性、成本)构建了一种中高压多电平UPQC拓扑评估体系,分别通过多电平UPQC拓扑结构的损耗模型、故障模型、仿真模型、冗余模型和器件模型,建立了损耗与拓扑关系、拓扑可靠性、暂稳态特性、系统稳定性、结构与成本关系五种评价指标,提供了多电平UPQC拓扑的定性分析依据。基于五种评价指标和多种多电平UPQC拓扑,建立层次分析模型,构造成对比较矩阵,求取矩阵最大特征值和特征向量,进行一致性检验,计算排序权向量,实现了多电平UPQC拓扑结构的定量评估。MMC、A2MC和级联H桥三种多电平UPQC结构验证了评估体系的可行性。本文的评估体系提供了一种UPQC拓扑的有效分析方法,并为多电平变流器的拓扑分析提供参考。
参考文献
Stochastic optimization model to study the operational impacts of high wind penetrations in ireland
[J].
DOI:10.1109/TPWRS.2010.2070848
URL
[本文引用: 1]
A stochastic mixed integer linear optimization scheduling model minimizing system operation costs and treating load and wind power production as stochastic inputs is presented. The schedules are updated in a rolling manner as more up-to-date information becomes available. This is a fundamental change relative to day-ahead unit commitment approaches. The need for reserves dependent on forecast horizon and share of wind power has been estimated with a statistical model combining load and wind power forecast errors with scenarios of forced outages. The model is used to study operational impacts of future high wind penetrations for the island of Ireland. Results show that at least 6000 MW of wind (34% of energy demand) can be integrated into the island of Ireland without significant curtailment and reliability problems.
Enhancing electric power quality using UPQC: a comprehensive overview
[J].
DOI:10.1109/TPEL.2011.2172001
URL
[本文引用: 1]
This paper presents a comprehensive review on the unified power quality conditioner (UPQC) to enhance the electric power quality at distribution levels. This is intended to present a broad overview on the different possible UPQC system configurations for single-phase (two-wire) and three-phase (three-wire and four-wire) networks, different compensation approaches, and recent developments in the field. It is noticed that several researchers have used different names for the UPQC based on the unique function, task, application, or topology under consideration. Therefore, an acronymic list is developed and presented to highlight the distinguishing feature offered by a particular UPQC. In all 12 acronyms are listed, namely, UPQC-D, UPQC-DG, UPQC-I, UPQC-L, UPQC-MC, UPQC-MD, UPQC-ML, UPQC-P, UPQC-Q, UPQC-R, UPQC-S, and UPQC-VA(min). More than 150 papers on the topic are rigorously studied and meticulously classified to form these acronyms and are discussed in the paper.
大功率三电平变频器损耗计算及散热分析
[J].Thermal design of the converter can be optimized if the power losses are precisely known. The device’s conduction and switching characteristics are very sensitive to the temperatures, so the influence of junction temperatures must be taken into consideration when calculating the power losses. In this paper, a practical loss calculation method is derived based on the analysis of the conduction and switching principles of the neutral point clamping three-level converters. Using thermal resistance equivalent circuit, the devices junction temperatures are acquired. An 1MVA NPC converter is tested in inverter and rectifier operating modes, and the infrared thermal imager is used to measure the devices temperatures. The error rates between measured and calculated temperatures are within 5% range and thus the validity of the loss calculation method is verified.
Losses calculation and heat dissipation snalysis of high-power three-level converters
[J].Thermal design of the converter can be optimized if the power losses are precisely known. The device’s conduction and switching characteristics are very sensitive to the temperatures, so the influence of junction temperatures must be taken into consideration when calculating the power losses. In this paper, a practical loss calculation method is derived based on the analysis of the conduction and switching principles of the neutral point clamping three-level converters. Using thermal resistance equivalent circuit, the devices junction temperatures are acquired. An 1MVA NPC converter is tested in inverter and rectifier operating modes, and the infrared thermal imager is used to measure the devices temperatures. The error rates between measured and calculated temperatures are within 5% range and thus the validity of the loss calculation method is verified.
基于面积等效法的模块化多电平换流器损耗分析
[J].The result of the research on the loss of the modular multilevel converter (MMC) based valve for HVDC power transmission is seldom reported. Due the distinctive feature of MMC topology, the methods to calculation the loss of traditional loss calculation methods for thyristors and insulate gate bipolar transistors (IGBT) cannot be directly applied to MMC valve. Combining with the switching characteristic of the distinctive semiconductor devices of the sub-module of MMC valve, the physical process of switching on/off the sub-module of MMC valve is analyzed; considering the topological structure of the converter and equivalent-area modulation algorithm, the relation among the loss of MMC valve and its valve current, and modulation algorithm voltage under typical operating condition is derived. The research result is available for reference to the loss reduction design for MMC-HVDC transmission systems.
Loss evaluation for modular multilevel converter based on equivalent-aera modulation
[J].The result of the research on the loss of the modular multilevel converter (MMC) based valve for HVDC power transmission is seldom reported. Due the distinctive feature of MMC topology, the methods to calculation the loss of traditional loss calculation methods for thyristors and insulate gate bipolar transistors (IGBT) cannot be directly applied to MMC valve. Combining with the switching characteristic of the distinctive semiconductor devices of the sub-module of MMC valve, the physical process of switching on/off the sub-module of MMC valve is analyzed; considering the topological structure of the converter and equivalent-area modulation algorithm, the relation among the loss of MMC valve and its valve current, and modulation algorithm voltage under typical operating condition is derived. The research result is available for reference to the loss reduction design for MMC-HVDC transmission systems.
大功率直驱风电系统高效率变流器设计
[J].在兆瓦级直驱风电系统中,发电机定子电压等级通常采用较低的690?V,而定子电流等级则很高,给全功率变流器的设计和制造造成了的困难,特别是效率问题比较突出。提出一种基于直驱多相永磁同步发电机和三电平混合式变流器的技术方案,用以替代传统的三相发电机和两电平变流器并联方案,具有更好的谐波性能和效率。讨论不同变流器拓扑在方案中的应用及其参数设计方法,并在谐波、效率和成本方面进行了比较。
Design of high-efficiency converters for large direct-drive wind turbines
[J].在兆瓦级直驱风电系统中,发电机定子电压等级通常采用较低的690?V,而定子电流等级则很高,给全功率变流器的设计和制造造成了的困难,特别是效率问题比较突出。提出一种基于直驱多相永磁同步发电机和三电平混合式变流器的技术方案,用以替代传统的三相发电机和两电平变流器并联方案,具有更好的谐波性能和效率。讨论不同变流器拓扑在方案中的应用及其参数设计方法,并在谐波、效率和成本方面进行了比较。
不同结构电压源换流器损耗对比分析
[J].DOI:10.7667/j.issn.1674-3415.2013.06.018 URL [本文引用: 1]
Comparative analysis of losses of voltage source converters with different structures
[J].DOI:10.7667/j.issn.1674-3415.2013.06.018 URL [本文引用: 1]
Modeling and comparison of machine and converter losses for PWM and PAM in high-speed drives
[J].
DOI:10.1109/TIA.2013.2272711
URL
[本文引用: 1]
For variable-speed drives, the interaction of the machine and the converter is becoming increasingly important, especially for high-speed applications, mainly due to the effect of the converter modulation on the machine losses. The allocation of the losses to different components of the drive system needs to be known in order to choose the ideal machine and modulation combination. In this paper, individual models are introduced for calculating the rotor, copper, and core losses of the machine as well as the inverter losses, taking the modulation type into account. These models are developed by considering two typical high-speed permanent-magnet synchronous motor topologies (slotted and slotless machines) driven by pulse-amplitude modulation (PAM) and pulsewidth modulation (PWM) converters. The models are applied to two off-the-shelf machines and a converter operating with either PAM or PWM. The test bench used to experimentally verify the models is also described, and the model results are compared to the measurements. The results show that PAM produces a higher overall efficiency for the high-speed machines considered in this paper. However, PWM can be used to move the losses from the rotor to the converter at the expense of decreasing the overall drive efficiency. The possible benefits of these results are discussed.
改进型 MMC-STATCOM 的建模及分层控制
[J].
Research on modeling and hierarchical control for an improved MMC-STATCOM
[J].
功率变流器的可靠性研究现状及展望
[J].
Status and outlook of power converter’s reliability research
[J].
模块化多电平换流器的子模块冗余配置计算方法
[J].
DOI:10.7500/AEPS201209076
URL
[本文引用: 1]
模块化多电平换流器(MMC)的子模块(SM)冗余配置问题是MMC工程应用急需解决的难点之一。文中对MMC及其SM结构进行了阐述,分析了SM和MMC的可靠性,提出了一种有效的MMC的SM冗余配置计算方法,并提供了SM的2个工程冗余参考值。当MMC的SM冗余配置数量在这2个冗余参考值之间时,冗余SM的增加能够使MMC的可靠性更快增加,在此基础上定义了冗余和可靠性指标,用其可以衡量不同MMC的冗余SM的可靠性效率。最后,通过工程实例计算证明了所提出的MMC的SM冗余配置计算方法和所定义指标的合理性和有效性。
A method for calculation sub-module redundancy configulations in modular multilevel converter
[J].
DOI:10.7500/AEPS201209076
URL
[本文引用: 1]
模块化多电平换流器(MMC)的子模块(SM)冗余配置问题是MMC工程应用急需解决的难点之一。文中对MMC及其SM结构进行了阐述,分析了SM和MMC的可靠性,提出了一种有效的MMC的SM冗余配置计算方法,并提供了SM的2个工程冗余参考值。当MMC的SM冗余配置数量在这2个冗余参考值之间时,冗余SM的增加能够使MMC的可靠性更快增加,在此基础上定义了冗余和可靠性指标,用其可以衡量不同MMC的冗余SM的可靠性效率。最后,通过工程实例计算证明了所提出的MMC的SM冗余配置计算方法和所定义指标的合理性和有效性。
基于器件的结温变化评估风机中参数差异对网侧变流器可靠性的影响
[J].风电变流器的可靠运行是风能转换系统中的重要关注对象。然而现有文献评估器件结温对变流器可靠性的影响时,却没有重视结温波动的影响,以致往往高估了风电变流器的可靠性。该文基于永磁同步风力发电机工作的恶劣环境,分别从切入运行风速、额定风速、切除停机风速、开关频率及功率因数的变化,造成变流器中器件结温幅值及其波动差别的角度出发,利用Coffin-Manson器件可靠性评估模型,评估网侧变流器可靠性的差异。以1 MW风机结合实际风速数据为例进行分析论证,结果验证了理论分析的正确性。统计数据结果表明,额定风速及开关频率的变化对变流器可靠性的影响比较大。为了实现变流器的高可靠运行,风机宜在低风速切入运行,尽可能高的风速切除停机。
Effects of different parameters on reliability of grid-side converters based on varied junction temperature of devices in wind turbines
[J].风电变流器的可靠运行是风能转换系统中的重要关注对象。然而现有文献评估器件结温对变流器可靠性的影响时,却没有重视结温波动的影响,以致往往高估了风电变流器的可靠性。该文基于永磁同步风力发电机工作的恶劣环境,分别从切入运行风速、额定风速、切除停机风速、开关频率及功率因数的变化,造成变流器中器件结温幅值及其波动差别的角度出发,利用Coffin-Manson器件可靠性评估模型,评估网侧变流器可靠性的差异。以1 MW风机结合实际风速数据为例进行分析论证,结果验证了理论分析的正确性。统计数据结果表明,额定风速及开关频率的变化对变流器可靠性的影响比较大。为了实现变流器的高可靠运行,风机宜在低风速切入运行,尽可能高的风速切除停机。
一种基于矢量控制的变流器故障诊断方法
[J].Oriented to a converter under vector control, a model of its fault diagnosis with the three-phase current signals as characteristic parameters is established. The output current signals, from which noise is further reduced with wavelet analysis theory, are also used in the statistic calculation for characteristic fault vector with FFT transform. The characteristic fault vector acts as input to neutral network. Through the training of neutral network, the network parameters can be decided and the analysis of fault data will be finished, which lead to a successful fault diagnosis. The fault diagnosis model, as well as its application into converters with SVPWM scheme, is proven to be workable with experiments.
An approach to converter faults diagnosis based on vector control
[J].Oriented to a converter under vector control, a model of its fault diagnosis with the three-phase current signals as characteristic parameters is established. The output current signals, from which noise is further reduced with wavelet analysis theory, are also used in the statistic calculation for characteristic fault vector with FFT transform. The characteristic fault vector acts as input to neutral network. Through the training of neutral network, the network parameters can be decided and the analysis of fault data will be finished, which lead to a successful fault diagnosis. The fault diagnosis model, as well as its application into converters with SVPWM scheme, is proven to be workable with experiments.
Improving power converter reliability: online monitoring of high-power IGBT modules
[J].DOI:10.1109/MIE.2014.2311829 URL [本文引用: 1]
Analysis, design and control of a unified power-quality conditioner based on a current-source topology
[J].
DOI:10.1109/TPWRD.2012.2199524
URL
[本文引用: 1]
This paper presents a three-phase unified power-quality conditioner based on current source converters (CSC-UPQC), including the design guidelines of the key components, an appropriate control scheme, and a selection procedure of the dc current level. Particularly, the ridethrough capability criterion is used to define a minimum dc current level so that the CSC-UPQC achieves the same characteristics as a UPQC based on voltage-source converters in terms of voltage disturbance compensation in the point of common coupling (PCC) and load power factor compensation. A 1.17 MVA load fed from a 3.3 kV system is used to show the proposed design procedure, and a laboratory prototype is implemented to show the system compensating sags and swells using low switching frequency in the CSC and maintaining a unitary displacement power factor in the PCC.
Control and design of a current source united power quality conditioner with fault current limiting ability
[J].
DOI:10.1049/iet-pel.2012.0297
URL
[本文引用: 1]
This study proposes control and design methods for a current source united power-quality conditioner (CS-UPQC). Unipolar modulation and parameter design methods are proposed for the series CS converter. The proposed modulation method doubles the equivalent switching frequency, which makes it possible to reduce the filter size and improve the control dynamics. Modified repetitive control schemes are presented for the voltage and current compensation strategies, which provide large open-loop control gains at the integral multiple of the fundamental frequency and guarantee good harmonics compensation performance. A fault current limiting scheme is also presented, which limits the fault current effectively by utilising the large DC link inductor of the CS-UPQC. Simulation results in Matlab/Simulink are presented to clarify the theory and feasibility of the proposed approaches.
A 2MC VSC-HVDC 系统可靠性分析与冗余度优化研究
[J].
Reliability model analysis and redundancy design of A 2MC VSC-HVDC power transmission system
[J].
Design of emergency demand response program using analytic hierarchy process
[J].
DOI:10.1109/TSG.2012.2188653
URL
[本文引用: 1]
This paper presents an innovative approach to formulate a customer-oriented demand response (DR) program in the electricity market using the analytic hierarchy process (AHP). AHP could represent the mutual importance degrees of load reduction criteria from the various viewpoints of load-holders. Thus, the proposed DR program (DRP) could provide the reasonable decision-support process for load-holders, because the participation or nonparticipation is determined by the incentive payments corresponding to the specific load reduction conditions. The proposed DRP has the objective to maintain the system reliability at the emergency period, and it is designed as an incentive-based program (IBP) considering the real-time and by-directional operation. The modified IEEE 24-bus system for the case study is used to demonstrate the usefulness and applicability of the proposed approach, and the load profiles with the proposed DRP and the required incentive payments are obtained. The results show not only the enhancement to the system reliability but also the economic benefits within Pareto-improvement.
Multiple criteria assessment of substation conditions by pair-wise comparison of analytic hierarchy process
[J].DOI:10.1109/TPWRD.2010.2048437 URL [本文引用: 1]
多电平变换器拓扑关系及新型拓扑
[J].Multilevel converter has been found widely application in high power drive system. In this paper, the development of the multilevel converter is reviewed, and the relationship between different topologies are analyzed, and then the rules which should be obeyed are summarized when the different topologies are deduced from the generalized topology. Based on this, two novel topologies are presented, and the operating concept and control algorithm are studied. Simulation results show the feasibility of the proposed topologies.
Multilevel converter topologies and two novel topologies
[J].Multilevel converter has been found widely application in high power drive system. In this paper, the development of the multilevel converter is reviewed, and the relationship between different topologies are analyzed, and then the rules which should be obeyed are summarized when the different topologies are deduced from the generalized topology. Based on this, two novel topologies are presented, and the operating concept and control algorithm are studied. Simulation results show the feasibility of the proposed topologies.
/
〈 |
|
〉 |
