航空固态功率控制器电弧故障检测方法研究
西北工业大学自动化学院 西安 710072
A Review of Arc Fault Detection Methods for Aviation Solid State Power Controller
Northwestern Polytechnical University Xi’an 710072 China
责任编辑: 崔文静
收稿日期: 2015-07-24 网络出版日期: 2015-11-25
基金资助: |
|
Editor:
Received: 2015-07-24 Online: 2015-11-25
作者简介 About authors

吉瑞萍, 女 1991年生,硕士研究生,研究方向为航空电线阻抗特性分析、航空固态功率控制器电弧检测特性研究。

李伟林, 男 1983年生,博士,副教授,研究方向为固态功率控制器研究、故障检测与诊断方法研究、直流独立电力系统分析,控制保护方法研究等。
固态功率控制器(SSPC)是由半导体器件构成的智能开关装置,用于接通和断开电路,并实现电路保护。由于其具有功耗低、可靠性高等优点,在现代飞机电气系统中得到广泛的应用。与此同时,电弧故障已被证明是威胁航空电气设备正常运行的因素之一,而且极有可能引发严重的灾难。本文对具有电弧检测功能的SSPC的结构进行了说明,对航空电弧的分类、特性、仿真及试验方法进行了介绍,并对故障电弧检测方法做出总结,最后指出目前航空SSPC电弧故障检测技术面临的问题。
关键词:
Solid state power controller (SSPC) is the intelligent switch constituted by the semiconductor device and is used to turn on and off the circuit, as well as protecting the circuit. Because of its low power consumption and high reliability, SSPC is getting widely used in modern aircraft electrical system. At the same time, arc fault has proved to be one of the factors threatening the normal operation of aviation electrical equipment, and is likely to cause serious disaster. In this paper, the structure of SSPC with arc fault detection (AFD) function has been described, and the classification, characteristics, simulation and test methods of aviation arc are introduced. After summarizing the AFD methods, we conclude the present problems AFD technology facing for aviation SSPC.
Keywords:
本文引用格式
吉瑞萍, 李伟林, 张晓斌, 董延军.
Ji Ruiping.
1 引言
2 固态功率控制器
固态功率控制器是由半导体器件构成的智能开关装置[8],分为直流SSPC和交流SSPC两种。
图1
115V交流SSPC和28V直流SSPC的功能需求基本相同,不同的是交流SSPC需要实现零电压开通和零电流关断;而且交流SSPC在驱动电路、过电流快速保护电路和信号调理电路等设计方面较直流SSPC更加复杂。图2为交流SSPC零电压开通测试的波形图,上方信号为MOS管的驱动电压信号,下方为电源电压的采样波形,驱动信号在电压过零点时刻由低变高,回路开通。
图2
图3
3 航空故障电弧的分类及特性
3.1 电弧分类
按照航空故障电弧产生的机理,可以把电弧分为好弧和坏弧两种。好弧通常是指插拔电器时产生的电弧,这类电弧的发生是随机的,且持续时间很短,不会影响配电系统输电线路与用电设备的正常运行。坏弧也称为故障电弧,是通常情况下会对配电系统造成危害的电弧,这类电弧可能会造成严重的后果,是需要尽量避免的。
对于故障电弧,根据其发生位置的不同又可以分为两类:串联故障电弧和并联故障电弧。串联电弧通常是由电气设备的松动连接或接触不良造成的,一般发生在插头或串联设备连接处,化学氧化腐蚀、损坏的电缆绝缘层以及内部金属导体的断裂都可能造成串联电弧故障。并联故障电弧发生在相线与中性线或相线与相线之间,形成原因是两条输电线之间短路,实际上是一种短路电弧。在飞机配电系统中,该种类型的电弧主要由捆扎的输电线缆的绝缘损坏造成,发生在两电缆之间或单根电缆与飞机机身之间。
由于串联电弧本身具有一定的阻抗,发生串联电弧时,电弧电流通常小于正常工作情况下的负载电流,达不到传统开关器件的动作要求,因此是本文研究的重点。
3.2 电弧特性
图4
(1)电弧的电流和电压伴有高频噪声。
(2)故障电弧上有电压降。
(3)电弧电流上升率通常大于正常电流。在每半个周期中,电流过零前电弧熄灭,电流过零后再次点燃,建立了基本平衡,零电流段每个半周期一次,这些区域被称为零休区间。
由于航空电气系统的特殊性,航空故障电弧也具有不同于普通低压电弧的独特特征,主要表现在以下方面[10]:
(1)航空电缆的绝缘性能对比同等规格的地面电缆,绝缘性能更好,因此航空故障电弧的持续时间更短,电弧事件更加难以捕捉。
(2)与地面低压电弧的发生环境相比,航空配电系统的电气环境更为复杂,配电空间更狭小,电磁干扰更大,故障电弧波形更为复杂。
(3)电弧频率为航空电源频率400Hz,不同于电力系统中的工频50Hz或60Hz。
对于航空直流电弧,最基本、最明显的特征是它的非平稳性,这可以从时域和频域两个方面探讨。时域集中表现为电流波形有闪络、抖动明显、幅值变换明显、不平稳及局部的电流中断等;频域方面,由于电弧电流的非线性,电弧电流中必然存在大量谐波,如图5所示。
图5
4 故障电弧仿真和试验
4.1 故障电弧建模与仿真
早在20世纪30年代,电弧模型的理论研究已经开始,其中最为著名的电弧模型是由Cassie和Mayr提出的。
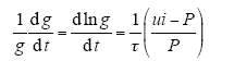
Cassie电弧模型假定在大部分时间里,电弧电压为常数。模型方程式
式中,τ为Cassie方程中定义的电弧时间常数;g为电弧电导;u为电弧电压;Uc为电弧电压常量。
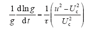
Mayr模型是基于热平衡、热惯性和热游离三个基本原理推导出来的,模型的方程式
式中,g为电弧电导;τ为电弧时间常数;u为电弧电压;i为电弧电流;P为耗散功率。
有研究表明,Cassie方程对低电阻大电流情况较为适合,而对于高电阻状态电弧的计算,Mayr方程是较合适的[11]。对于航空串联电弧故障,电弧电流受负载限制,故障电弧电阻处于高阻态,因此,选用Mayr电弧模型来对航空故障电弧进行仿真。
在Mayr电弧模型基础上,以Matlab软件为平台,利用Simulink库相关模块搭建交流故障电弧仿真电路图如图6所示。
图6
仿真所得电压电流波形如图7所示。
图7
由上图可以看出,发生电弧后,电弧处存在电压降,电弧电流波形发生畸变,幅值小于正常电流幅值,而且在过零点处出现“平肩”现象,之后电弧电流的上升率较大。以上特征均与理论结果相符。对直流电弧进行仿真分析也可获得与图4类似的结果,此处不再进行详细介绍。
4.2 故障电弧的产生
图8
交流电弧发生与采集电路原理图如图9所示。电路由交流中频电源、接触器、电弧发生装置、电流传感器、HBM数据记录仪以及负载组成。
图9
图10所示为实验室条件下测得的交流电弧电流波形,可以看出在本次实验中共发生了4次电弧事件(以数字形式标注)。直流电弧波形的获取方向与此相同。
图10
5 故障电弧检测现状
图11
5.1 时域检测方法
图12
5.2 频域检测方法
频域检测方法通过分析电压电流谐波含量实现,最常用的是傅里叶变换。一个典型的故障电弧电流与正常电流的FFT分析结果如图13所示,可以看出故障电弧电流直流分量与谐波含量明显高于正常电流,且基波含量有所下降。
图13
5.3 时–频域检测方法
图14
图14
电弧电流db3 小波3 层分解结果
Fig.14
Decomposition result of arc current with db3 three-layer wavelet
对以上3种故障电弧检测方法做一总结,各自的优缺点见下表。航空电弧检测需要同时兼顾检测速度与检测效率,采用多种检测方法结合的手段是SSPC电弧检测技术发展的必然趋势。
表1 故障电弧检测方法比较
Tab1
检测方法 | 优点 | 缺点 |
---|---|---|
时域 | 检测速度快, 硬件实现简单 | 反映的故障信息有限, 容易产生漏判 |
频域 | 算法成熟 | 对非正弦波形检测效率低 |
时-频域 | 检测效率高 | 算法复杂,硬件实现困难 |
6 结论
固态功率控制器的电弧检测技术对于航空电气系统的安全运行具有重大意义。本文对航空故障电弧的产生、分类及特性进行了介绍,对适应于航空电气系统的故障电弧检测方法进行了总结。尽管这些检测方法取得了一定的成果,电弧的在线检测技术仍处在初步阶段;能否有效地对故障电弧实施预警,即在电弧发生之前实现故障电弧检测,也是故障电弧检测的一个新课题。此外,先进信息融合理论的应用对于航空固态功率控制器电弧检测技术的发展也必将成为机遇与挑战。
参考文献
Modeling methods for solid state power controllers(SSPC)
[C].
More about arc-fault circuit interrupters
[C].
Aircraft electrical system monitoring with arc fault circuit protection and automatic fault location[R]
Principle of arc fault detection for solid state power controller
[C].
Arc fault detection for DC solid state power controllers
[C].
Simulation of AC arc faults in aircraft electrical networks
[C].
AS5692 ARC fault circuit breaker (AFCB) aircraft trip-free single phase 115VAC 400Hz constant frequency
[S].
A survey on arc fault detection and wire fault location for aircraft wiring systems[R]
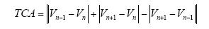
Time domain solution of fault distance estimation and arcing faults detection on overhead lines
[J].DOI:10.1109/61.736683 URL [本文引用: 1]
Arc fault detection in ac electric power systems: U. S. Patent 6, 522, 509
[P].
Arc fault detection scheme for 42-V automotive DC networks using current shunt
[J].DOI:10.1109/TPEL.2006.872385 URL [本文引用: 1]
-5-15
Broken conductors protection system using carrier communication
[J].DOI:10.1109/61.852979 URL [本文引用: 1]
Apparatus and method for real time determination of arc fault energy, location and type: U. S. Patent 7,068,045
[P].
A method for the detection of series arc faults in DC aircraft power networks
[C].
DC-arc models and incident-energy calculations
[J].DOI:10.1109/TIA.2010.2057497 URL [本文引用: 1]
A low-cost arc fault detector for aerospace applications
[C].
Arc fault detection through model reference estimation[R]
一种基于高频电流频谱分析的故障电弧检测方法
[J].
A method of fault arc detec-tion based on spectral analysis of high-frequency cur-rent
[J].
航空交流故障电弧特性的研究
[J].
Research on arc fault charac-teristic for AC power system in aircraft
[J].
U L 1699, Arc-Fault Circuit Interrupters
[S].
A novel fault-detection technique of high-impedance arcing faults in transmission lines using the wavelet transform
[J].DOI:10.1109/TPWRD.2002.803780 URL [本文引用: 1]
High impedance fault detection based on wavelet transform and statistical pattern recognition
[J].DOI:10.1109/TPWRD.2005.852367 URL [本文引用: 2]
High-impedance fault detection in distribution networks with use of wavelet-based algorithm
[J].DOI:10.1109/TPWRD.2006.874581 URL [本文引用: 1]
High-impedance fault detection using discrete wavelet transform and frequency range and RMS conversion
[J].DOI:10.1109/TPWRD.2004.837836 URL [本文引用: 1]
Arc fault signal detection-Fourier transformation vs. wavelet decomposition techniques using synthesized data
[C].
基于多特征融合的交流系统串联电弧故障诊断
[J].
Multi-feature fusion based diagnosis of series arc faults in AC system
[J].
一种基于小波变换能量与神经网络结合的串联型故障电弧辨识方法
[J].
Series arc fault identification method based on energy produced by wavelet transformation and neural network
[J].
/
〈 |
|
〉 |
