高速永磁同步电机的电磁性能分析和计算
上海电机系统节能工程技术研究中心有限公司 上海 200063
Analysis and Calculation of Electromagnetic Performance of High Speed Permanent Magnet Synchronous Motor
Shanghai Engineering Research Center of Motor System Energy Saving Co., Ltd. Shanghai 200063 China
收稿日期: 2015-03-5 网络出版日期: 2015-10-25
| 基金资助: |
|
Received: 2015-03-5 Online: 2015-10-25
作者简介 About authors
曹翼, 男 1984年生,硕士,工程师,研究方向为永磁电机、特种电机电磁场计算和设计。
随着工业技术的快速发展,越来越多的高速机械需要高速电机作为动力设备。通过对高速永磁电机特点与关键技术的分析,在此基础上进行了一台330kW,25 000r/m高速永磁电机的电磁设计,提出了一种满足性能要求而且简单、可靠的结构。然后利用有限元仿真技术,计算了高速永磁电机的空、负载特性和电机内的电磁场,验证了这种结构的设计合理性。
关键词:
With the rapid development of industrial technology, more and more high-speed machines need high-speed motor as drive equipment. In this paper, the key technologies of high-speed permanent magnet motor are analyzed, an electromagnetic design of 330kW, 25 000r/m permanent magnet motor is carried on,a simple and reliable structure are proposed. Then, the finite element simulation technology is used to calculate the no-load and load characteristic of the motor. The result verifies the rationality of the design.
Keywords:
本文引用格式
曹翼.
Cao Yi.
1 引言
永磁电机由于其结构简单、功率密度高和无励磁损耗等优点适合用于高速电机。其设计主要特点有四个:①转子的转速高达每分钟数万转甚至十几万转,转子表面圆周速度可达100~200m/s以上,其dn(轴承平均直径与转速乘积)值可达200万以上,远远大于普通电机的指标,使电机的轴承和润滑系统选择比较困难;②如此高转速,导致电机转子表面摩擦损耗增大,转子冷却较为困难,给永磁体的持久运行带来危险;③定子绕组电流的高频率,一般在500~1 000Hz以上,因此在定子铁心材料和绕组导线的选取上设计取值范围与常规电机有较大不同,需慎重考虑;④表贴式永磁转子需采用护套保护永磁体,护套与转子之间采用过盈配合,过盈量较小时会导致护套脱落;反之过盈量较大时,其表面应力超过其可允许最大应力,会导致护套损坏;因此护套材料、尺寸及过盈量等的正确设计是永磁转子高速稳定运行的关键。上述这些特点决定了高速永磁电机的设计与传统的永磁电机设计结构有很大的不同,因此参考传统电机的设计方法和基于经典简化分析导出的计算公式很难保证高速永磁电机设计的准确性[3-6]。
本文主要针对一台330kW、25 000r/m高速永磁电机设计需求,利用有限元分析软件按照设计指标,进行了定、转子结构设计,计算了高速永磁电机空、负载特性;同时在电机冷却和转子永磁体固定等方面做了精心设计,给出了一种高性能的技术方案,主要力能指标较好地满足了设计要求,同时在结构上满足了安全、可靠且高效的工艺生产要求。
2 高速永磁电机的电气设计
2.1 定子铁心设计问题
由于转速的增高,电机在一定设计极数下,必然需提高频率。按照电机设计理论,定子铁耗可由下式估算

式中,CFe为考虑冲片冲制、叠压等因素影响时的损耗修正系数;K0为定子铁心磁通密度为B0和频率为f0时的单位质量损耗;B和f为电机运行时定子铁心实际的磁通密度和频率;GFe为铁心质量[7]。
从式(1)可以看出定子铁心中交变频率和运行磁密的增高,将带来铁心损耗大幅增加;而K0与冲片厚度有很大关系,其厚度越薄,K0越小;因此在铁心材料上必须选用厚度较薄,单位损耗较低的硅钢片材料。为了减小损耗,定子铁心齿部和轭部的磁密值也不能同常规设计一样取在饱和膝点附近,而是应在兼顾材料利用率情况下尽量取低。
从磁密云图和定子铁心损耗数据结果来看,处于比较合适的范围,既实现了铁心材料有效利用,又保证铁心损耗控制在可接受范围内。
图1
2.2 定子绕组设计问题
2.2.1 定子绕组类型
根据电机绕组理论知识可知,对于60°相带电机,三相对称绕组合成磁势中包含的相带谐波次数为μ = 6k±1,k是包括零在内的正整数。其中次数较低,幅值最大的5、7次谐波磁势对电机性能影响最大。通常消弱气隙谐波的方法是采用双层短距绕组。但是这种方法只能消去特定阶次的谐波,例如,短距比 


高速永磁电机通常采用可以显著削弱谐波的绕组结构方式来减少谐波对电机性能的影响。常用的绕组形式有正弦(△- )绕组和低谐波(同心不等匝)绕组等,这些低谐波绕组都能显著降低电机内的高次谐波,可根据实际需求进行选用。本设计方案每极每相槽数q = 3,选用了正弦(△- )绕组轮换排列的联接方式,其特点是:在第一个极距内,三角形部分比星形部分多一个槽;而在第二个极距内,星形部分比三角形部分多一个槽,其余类推。这种绕组方式不仅能增强基波磁势,获得较高的基波绕组系数,而且大大降低了5、7、11、13等高次相带谐波,使电动机出力提高[9]。
2.2.2 定子绕组线圈
对于本设计方案,由于电机极对数为2,因此电流频率达到了833.33Hz,在如此高频下,需考虑铜导线线径可能带来的的趋肤效应。根据正弦稳态电磁场理论,交变磁场在理想半无限大导体内的透入深度为

式中,ω为定子磁场的电角频率;µ和σ分别为铜导线的磁导率和电导率。
由式(2)计算,对于833.33Hz的交变磁场,其在铜导体中的透入深度约为 2.290mm,因此为了尽量消除趋肤效应,本设计方案中定子绕组采用12根直径为1.2mm 的导线并联制作。由于导体直径远小于透入深度,故趋肤效应带来的附加损耗可以忽略不计。
图2
2.3 转子磁钢设计
为确保永磁电机的相反电动势趋近正弦波形,同时使齿槽转矩幅值得到有效降低,对转子磁钢进行了优化设计。对图3中空载相反电动势波形进行傅里叶分解,其正弦波形畸变率只有1.53%。
图3
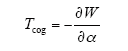
齿槽转矩是永磁电机绕组不通电时永磁体和铁心之间相互作用产生的转矩,是由于永磁体与电枢齿之间作用力的切向分量引起的,当永磁电机的定、转子存在相互运动时,在一极永磁体两侧面对应的电枢齿所构成的一小段区域内,磁导发生显著变化,引起磁场储能变化,从而产生齿槽转矩。从齿槽转矩定义来看,即为气隙磁场的储能对定转子位置角的负导数,如下式所示


式中,W为磁场储能;α为定转子相对位置角;B为气隙磁密。
计算中需做如下假设:①电枢铁心的磁导率无穷大;②不考虑安装中偏心导致的气隙长度不均匀,定转子铁心中心线一致;③永磁体材料的磁导率与空气一致。
图4
2.4 转子铁心结构设计
使用非导磁不锈钢护套能可靠保证电机在高温高速的工作条件下,永磁体不会从铁心上脱落飞溅,保证电机使用安全;而且因为其表面光滑、均匀,也减少了风摩损耗。图5为带护套转子结构图,护套和永磁体之间采用过盈配合,以抵消高速旋转时离心力产生的拉应力,并保证永磁体在转子高速旋转时始终承受适当的压应力。
图5
由于不锈钢护套材料具有导电性,因此在高频谐波磁场下也会有涡流损耗产生,进而引起转子铁心发热,所以在材料使用上尽量选用电阻率较高的不锈钢护套;同时在保证强度的情况下,减薄护套厚度,以降低涡流损耗。计算涡流损耗需先求得每个单元内电流密度,然后整个区域内所有单元叠加即可得护套内涡流损耗。单元内涡流损耗为

式中,σ为材料的电导率;J为单元内电流密度;dA为剖分单元面积。
图6
2.5 冷却结构设计
图7
电机内部风路由冷却器外鼓风机和转子压板侧的径向式叶片提供风压,为了更加有效地给定子铁心散热,在定子铁心轭部开有圆周均布的通风孔槽,在保证足够通风面积的情况下,铁心轭部所开的孔不致使轭部磁密过高。风路流经转子铁心时,即能有效冷却定子绕组端部。转子铁心处同样开有通风孔槽,和气隙、定子通风孔槽形成3个并联风路。在定子铁心两端的机座处安装有挡风板,以减少风路风阻[16]。
3 高速永磁电机有限元仿真和计算
根据技术指标,采用有限元软件对高速永磁电机进行电磁场计算。有限元分析计算是模拟电机的瞬态运动过程,可较为准确地计算电机内磁场分布、部件铁心损耗、电流和转矩参数等。本文采用1/4单元电机模型,利用周期性边界条件简化计算模型。
3.1 磁钢工作点和漏磁系数计算
有限元对永磁电机进行计算时,求得结果是求解区域内各个节点的磁位,并不能直接得到磁钢工作点和漏磁系数,而这两个参数是永磁电机“磁路法”重要计算参数。通过有限元计算结果得到这两个数值后,能更好地修正传统设计方法中这两个参数的计算结果,修改不合理的设计参数,从而实现场路结合计算。图8为有限元计算场域及求解点图。
图8
图8
有限元计算场域及求解点图
Fig.8
Finite element calculation field and solving point diagram
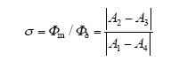
在2D场计算中,两点磁位之差就是单位长度的磁通量。根据这个概念,在磁钢的边角处和电机气隙的起点及终点处(一个磁极下)取点,采用有限元场计算器计算得到对应位置的磁位值,利用公式漏磁系数

工作点

式中,Φm为工作状态下磁钢向外磁路提供的总磁通;Φδ为气隙中的主磁通;ΦBr为磁钢工作温度下能向外提供的总磁通;A1、A2、A3、A4为图9中对应节点位置1、2、3、4的磁位值。
图9
3.2 额定负载仿真
接入外电路后,给电机电压源激励,并设置额定功角,对电机的输出电磁转矩进行了仿真计算。在额定状态下,电机转速为25 000r/mim,此时电机输出电磁转矩为132N·m,满足设计的功率输出要求。如图9所示,经计算,稳态时转矩脉动率只有2.26%,说明电机在额定状态下,具有良好的输出特性。
图10为此时三相电流波形,可以看出在转矩输出达到稳态时,电流也能达到稳态,且波形正弦度较高,仿真值与计算值较为吻合。
图10
3.3 额定负载磁场
图11
图12
经空载、负载等不同运行情况的磁场计算和参数后处理,并通过电机定转子各部件尺寸的优化,得到了较为正弦的反电动势波形,并大大降低了齿槽转矩的幅值,电机的运行性基本满足了高速永磁电机的输出设计需求。通过上述的分析和计算,得到了一个具有较高电气性能和机械性能的高速永磁电机方案。
4 结论
(1)由于高速永磁电机设计融合了多门技术,因此要研制出具有成本优势的高性能电机,电气、机械、冷却和制造等各方面都需要兼顾考虑,不断改良,从而提高生产效率和经济效益。
(2)本文从电气性能和机械结构出发,提出了一种可满足高速电机性能要求的定、转子结构方案,在满足技术指标的前提下,提高了材料的利用率;利用电磁场仿真的方法计算了电机各电气性能参数,得到了电机的输出机械特性;同时在电机冷却等方面做了精心设计,提高了电机运行可靠性,较好地满足了设计要求。
(3)运用场路结合的分析方法是解决具有气隙磁场谐波丰富、电机参数非线性和涡流损耗严重等特点的高速永磁电机电磁设计的有效手段。通过电机结构参数和电气参数的确定,理论设计和仿真结果取得了令人满意的效果,为电机下一步试制提供了依据。
参考文献
高速电机的设计特点及相关技术研究
[J].
Design features and related technologies of high speed motor
[J].
高速异步电机设计的关键技术
[J].
DOI:10.1016/j.jhazmat.2019.121930
URL
PMID:31893556
[本文引用: 2]
In this work, sludge conditioning efficiency of cerium chloride (CeCl3) in combination with organic polymers was evaluated, the floc microstructure and extracellular polymeric substances (EPS) properties under flocculation conditioning were analyzed. The interaction mechanisms between EPS and Ce(III) were systematically investigated through two-dimension correlation spectroscopy, X-ray photoelectron spectroscopy, and confocal laser scanning microscopy. In addition, the adsorption and catalytic abilities of Ce-sludge based carbon (SBC) in tetracycline (TC) removal were evaluated. The results showed that CeCl3 conditioning performed well in improving sludge dewaterability, and CeCl3 and cationic polyacrylamide showed a synergistic effect in sludge conditioning. Contents of EPS decreased as the dosage of CeCl3 increased because of charge neutralization and complexation reactions. 2D-UV-FTIR heterospectral correlation spectroscopy analysis suggested the reaction activity of EPS to Ce(III) followed the order of humic acid > protein > polysaccharide. The decrease of α-helix content improved the hydrophobicity of proteins in EPS, which was responsible for sludge dewaterability improvement in CeCl3 conditioning. Besides, the SBC was prepared with CeCl3 conditioned sludge for treating water containing TC. Ce-SBC had a dual function of adsorption and Fenton-like activity. This work provides a sludge recycling process that coupled chemical conditioning to pyrolysis carbonization to prepare functional carbon-based materials.
The key technology of high-speed asynchronous motor design
[J].
DOI:10.1016/j.jhazmat.2019.121930
URL
PMID:31893556
[本文引用: 2]
In this work, sludge conditioning efficiency of cerium chloride (CeCl3) in combination with organic polymers was evaluated, the floc microstructure and extracellular polymeric substances (EPS) properties under flocculation conditioning were analyzed. The interaction mechanisms between EPS and Ce(III) were systematically investigated through two-dimension correlation spectroscopy, X-ray photoelectron spectroscopy, and confocal laser scanning microscopy. In addition, the adsorption and catalytic abilities of Ce-sludge based carbon (SBC) in tetracycline (TC) removal were evaluated. The results showed that CeCl3 conditioning performed well in improving sludge dewaterability, and CeCl3 and cationic polyacrylamide showed a synergistic effect in sludge conditioning. Contents of EPS decreased as the dosage of CeCl3 increased because of charge neutralization and complexation reactions. 2D-UV-FTIR heterospectral correlation spectroscopy analysis suggested the reaction activity of EPS to Ce(III) followed the order of humic acid > protein > polysaccharide. The decrease of α-helix content improved the hydrophobicity of proteins in EPS, which was responsible for sludge dewaterability improvement in CeCl3 conditioning. Besides, the SBC was prepared with CeCl3 conditioned sludge for treating water containing TC. Ce-SBC had a dual function of adsorption and Fenton-like activity. This work provides a sludge recycling process that coupled chemical conditioning to pyrolysis carbonization to prepare functional carbon-based materials.
高速永磁电机转子设计与强度分析
[J].
Design and strength analysis of high speed permanent magnet motor
[J].
高速永磁无刷直流电机性能分析与设计的研究
[D].
从电机设计的角度减少高速永磁电机转子损耗
[J].
From the angle of motor design reduce high-speed permanent magnetic motor rotor loss
[J].
三相实用型正弦分布绕组的研究
[J].
Practical three-phase sinusoidal winding research
[J].
双层同心式低谐波绕组探究
[J].
Double concentric type low harmonic winding exploration
[J].
一种特殊形状永磁磁极的计算极弧系数确定
[J].
A kind of special shape permanent magnet pole arc coefficient calculation method
[J].
基于Ansoft的永磁无刷直流电动机磁场有限元分析
[J].
Permanent magnet brushless dc motor based on ansoft finite element analysis of magnetic field
[J].
Rotor natural frequency in high-speed permanent magnet synchronous motor for turbo-com-pressor application
[J].DOI:10.1109/TMAG.20 URL [本文引用: 1]
大型汽轮发电机转子风道结构对空气流量分配影响
[J].
Large steam turbine generator rotor air duct structure such as effect on air flow distribution
[J].